Номер 2.45, страница 111 - гдз по алгебре 8 класс учебник Арефьева, Пирютко

Алгебра, 8 класс Учебник, авторы: Арефьева Ирина Глебовна, Пирютко Ольга Николаевна, издательство Адукацыя i выхаванне, Минск, 2024, бирюзового цвета

Авторы: Арефьева И. Г., Пирютко О. Н.

Тип: Учебник

Издательство: Адукацыя i выхаванне

Год издания: 2024 - 2026

Цвет обложки: бирюзовый с графиком

ISBN: ISBN 978-985-03-4081-8

Допущено Министерством образования Республики Беларусь

Популярные ГДЗ в 8 классе

Глава 2. Квадратные уравнения. Параграф 8. Формулы корней квадратного уравнения - номер 2.45, страница 111.

№2.45 (с. 111)
Условие. №2.45 (с. 111)
скриншот условия
Алгебра, 8 класс Учебник, авторы: Арефьева Ирина Глебовна, Пирютко Ольга Николаевна, издательство Адукацыя i выхаванне, Минск, 2024, бирюзового цвета, страница 111, номер 2.45, Условие

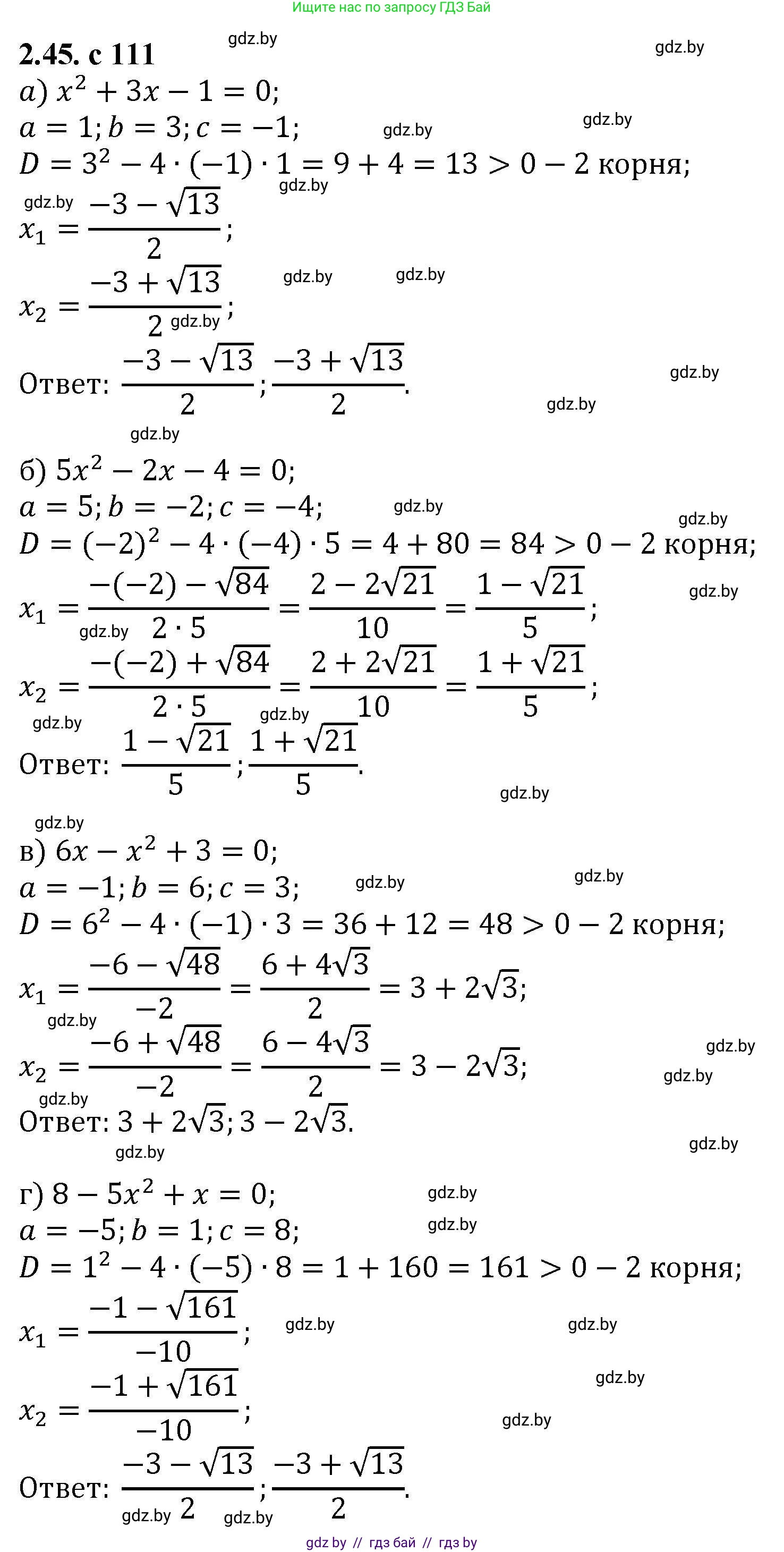
2.45. Найдите корни уравнения:

а) $x^2 + 3x - 1 = 0;$

б) $5x^2 - 2x - 4 = 0;$

в) $6x - x^2 + 3 = 0;$

г) $8 - 5x^2 + x = 0.$

Решение. №2.45 (с. 111)
Алгебра, 8 класс Учебник, авторы: Арефьева Ирина Глебовна, Пирютко Ольга Николаевна, издательство Адукацыя i выхаванне, Минск, 2024, бирюзового цвета, страница 111, номер 2.45, Решение
Решение 2. №2.45 (с. 111)

а) Для решения уравнения $x^2 + 3x - 1 = 0$ воспользуемся формулой корней квадратного уравнения. Коэффициенты уравнения: $a=1, b=3, c=-1$.

Вычислим дискриминант $D$ по формуле $D = b^2 - 4ac$:

$D = 3^2 - 4 \cdot 1 \cdot (-1) = 9 + 4 = 13$.

Так как $D > 0$, уравнение имеет два различных действительных корня. Найдем их по формуле $x_{1,2} = \frac{-b \pm \sqrt{D}}{2a}$:

$x_{1,2} = \frac{-3 \pm \sqrt{13}}{2 \cdot 1} = \frac{-3 \pm \sqrt{13}}{2}$.

Ответ: $\frac{-3 \pm \sqrt{13}}{2}$.

б) Дано уравнение $5x^2 - 2x - 4 = 0$. Коэффициенты: $a=5, b=-2, c=-4$.

Поскольку коэффициент $b$ — четное число, удобно использовать формулу для $D_1$ (или $D/4$), где $k = \frac{b}{2} = \frac{-2}{2} = -1$.

Вычислим $D_1 = k^2 - ac$:

$D_1 = (-1)^2 - 5 \cdot (-4) = 1 + 20 = 21$.

Так как $D_1 > 0$, корни уравнения находим по формуле $x_{1,2} = \frac{-k \pm \sqrt{D_1}}{a}$:

$x_{1,2} = \frac{-(-1) \pm \sqrt{21}}{5} = \frac{1 \pm \sqrt{21}}{5}$.

Ответ: $\frac{1 \pm \sqrt{21}}{5}$.

в) Сначала приведем уравнение $6x - x^2 + 3 = 0$ к стандартному виду $ax^2+bx+c=0$. Для этого поменяем знаки у всех членов уравнения, умножив их на -1, и расставим их в правильном порядке:

$x^2 - 6x - 3 = 0$.

Коэффициенты: $a=1, b=-6, c=-3$. Коэффициент $b$ — четный, поэтому воспользуемся формулой с $k = \frac{b}{2} = \frac{-6}{2} = -3$.

Вычислим $D_1 = k^2 - ac$:

$D_1 = (-3)^2 - 1 \cdot (-3) = 9 + 3 = 12$.

Найдем корни по формуле $x_{1,2} = \frac{-k \pm \sqrt{D_1}}{a}$:

$x_{1,2} = \frac{-(-3) \pm \sqrt{12}}{1} = 3 \pm \sqrt{4 \cdot 3} = 3 \pm 2\sqrt{3}$.

Ответ: $3 \pm 2\sqrt{3}$.

г) Приведем уравнение $8 - 5x^2 + x = 0$ к стандартному виду, умножив на -1 и упорядочив члены:

$5x^2 - x - 8 = 0$.

Коэффициенты: $a=5, b=-1, c=-8$.

Вычислим дискриминант $D$ по формуле $D = b^2 - 4ac$:

$D = (-1)^2 - 4 \cdot 5 \cdot (-8) = 1 + 160 = 161$.

Поскольку $D > 0$, найдем два корня по формуле $x_{1,2} = \frac{-b \pm \sqrt{D}}{2a}$:

$x_{1,2} = \frac{-(-1) \pm \sqrt{161}}{2 \cdot 5} = \frac{1 \pm \sqrt{161}}{10}$.

Ответ: $\frac{1 \pm \sqrt{161}}{10}$.

Помогло решение? Оставьте отзыв в комментариях ниже.

Присоединяйтесь к Телеграм-группе @gdz_by_belarus

Присоединиться

Мы подготовили для вас ответ c подробным объяснением домашего задания по алгебре за 8 класс, для упражнения номер 2.45 расположенного на странице 111 к учебнику 2024 года издания для учащихся школ и гимназий.

Теперь на нашем сайте ГДЗ.ТОП вы всегда легко и бесплатно найдёте условие с правильным ответом на вопрос «Как решить ДЗ» и «Как сделать» задание по алгебре к упражнению №2.45 (с. 111), авторов: Арефьева (Ирина Глебовна), Пирютко (Ольга Николаевна), учебного пособия издательства Адукацыя i выхаванне.