Номер 2.16, страница 103 - гдз по алгебре 8 класс учебник Арефьева, Пирютко

Алгебра, 8 класс Учебник, авторы: Арефьева Ирина Глебовна, Пирютко Ольга Николаевна, издательство Адукацыя i выхаванне, Минск, 2024, бирюзового цвета

Авторы: Арефьева И. Г., Пирютко О. Н.

Тип: Учебник

Издательство: Адукацыя i выхаванне

Год издания: 2024 - 2026

Цвет обложки: бирюзовый с графиком

ISBN: ISBN 978-985-03-4081-8

Допущено Министерством образования Республики Беларусь

Популярные ГДЗ в 8 классе

Глава 2. Квадратные уравнения. Параграф 7. Квадратные уравнения. Решение неполных квадратных уравнений - номер 2.16, страница 103.

№2.16 (с. 103)
Условие. №2.16 (с. 103)
скриншот условия
Алгебра, 8 класс Учебник, авторы: Арефьева Ирина Глебовна, Пирютко Ольга Николаевна, издательство Адукацыя i выхаванне, Минск, 2024, бирюзового цвета, страница 103, номер 2.16, Условие

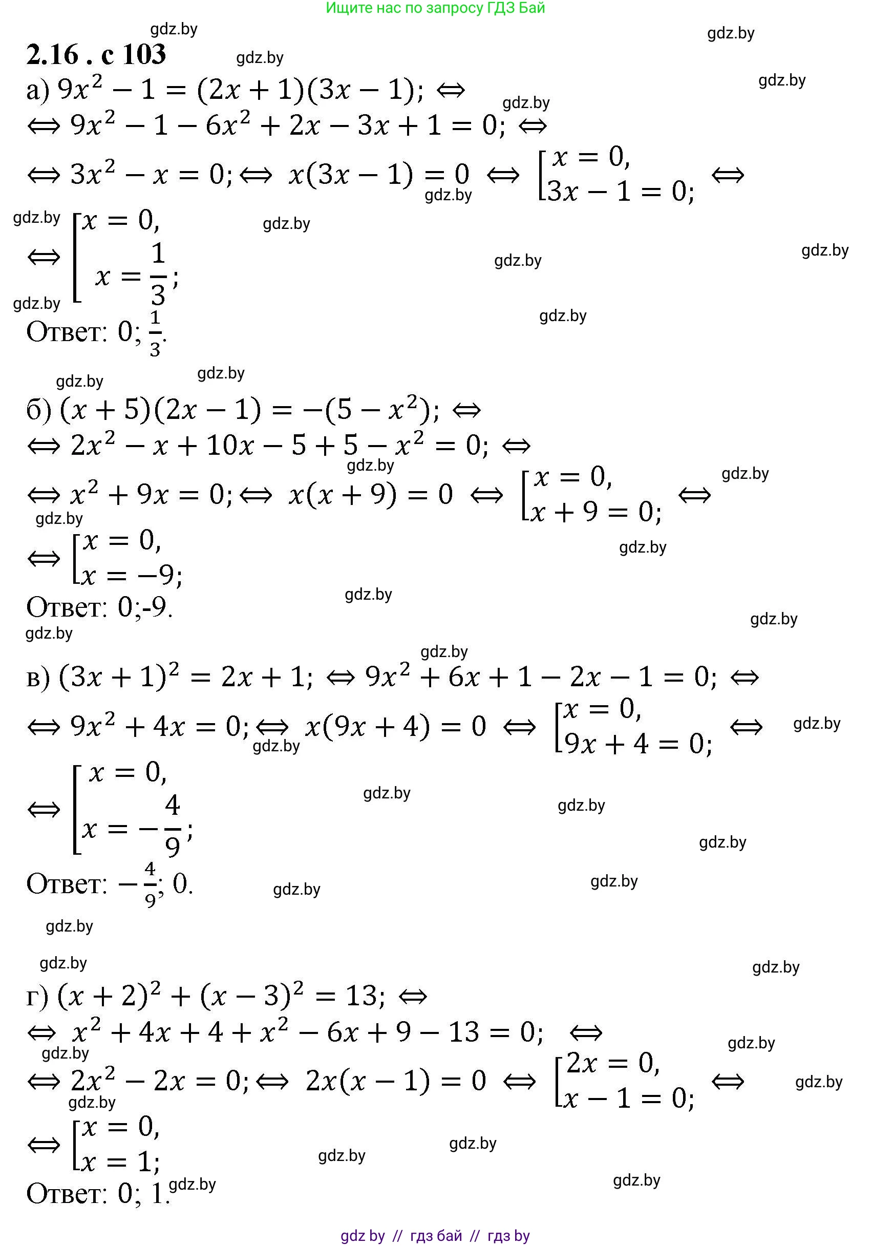
2.16. Найдите значение переменной, при котором:

а) значение двучлена $9x^2 - 1$ равно значению произведения $(2x + 1)(3x - 1)$;

б) значения выражений $(x + 5)(2x - 1)$ и $5 - x^2$ противоположны;

в) значение квадрата двучлена $(3x + 1)^2$ равно значению суммы $2x + 1$;

г) сумма квадратов двучленов $(x + 2)^2$ и $(x - 3)^2$ равна 13.

Решение. №2.16 (с. 103)
Алгебра, 8 класс Учебник, авторы: Арефьева Ирина Глебовна, Пирютко Ольга Николаевна, издательство Адукацыя i выхаванне, Минск, 2024, бирюзового цвета, страница 103, номер 2.16, Решение
Решение 2. №2.16 (с. 103)

а) Для нахождения значения переменной приравняем данные выражения:

$9x^2 - 1 = (2x + 1)(3x - 1)$

Раскроем скобки в правой части уравнения, умножив каждый член первого двучлена на каждый член второго:

$9x^2 - 1 = 2x \cdot 3x + 2x \cdot (-1) + 1 \cdot 3x + 1 \cdot (-1)$

$9x^2 - 1 = 6x^2 - 2x + 3x - 1$

Приведем подобные слагаемые в правой части:

$9x^2 - 1 = 6x^2 + x - 1$

Перенесем все члены уравнения в левую часть, чтобы получить уравнение, равное нулю:

$9x^2 - 6x^2 - x - 1 + 1 = 0$

$3x^2 - x = 0$

Вынесем общий множитель $x$ за скобки:

$x(3x - 1) = 0$

Произведение равно нулю, если хотя бы один из множителей равен нулю. Отсюда получаем два возможных значения для $x$:

$x_1 = 0$

или

$3x - 1 = 0 \implies 3x = 1 \implies x_2 = \frac{1}{3}$

Ответ: $x=0$; $x=\frac{1}{3}$.

б) Если значения выражений противоположны, их сумма равна нулю. Составим и решим уравнение:

$(x + 5)(2x - 1) + (5 - x^2) = 0$

Раскроем скобки в первом произведении:

$(x \cdot 2x + x \cdot (-1) + 5 \cdot 2x + 5 \cdot (-1)) + 5 - x^2 = 0$

$2x^2 - x + 10x - 5 + 5 - x^2 = 0$

Приведем подобные слагаемые:

$(2x^2 - x^2) + (-x + 10x) + (-5 + 5) = 0$

$x^2 + 9x = 0$

Вынесем общий множитель $x$ за скобки:

$x(x + 9) = 0$

Находим корни уравнения:

$x_1 = 0$

или

$x + 9 = 0 \implies x_2 = -9$

Ответ: $x=0$; $x=-9$.

в) Приравняем значение квадрата двучлена к значению суммы, как указано в условии:

$(3x + 1)^2 = 2x + 1$

Раскроем квадрат суммы в левой части по формуле $(a+b)^2 = a^2 + 2ab + b^2$:

$(3x)^2 + 2 \cdot 3x \cdot 1 + 1^2 = 2x + 1$

$9x^2 + 6x + 1 = 2x + 1$

Перенесем все члены в левую часть уравнения:

$9x^2 + 6x + 1 - 2x - 1 = 0$

Приведем подобные слагаемые:

$9x^2 + 4x = 0$

Вынесем общий множитель $x$ за скобки:

$x(9x + 4) = 0$

Находим корни уравнения:

$x_1 = 0$

или

$9x + 4 = 0 \implies 9x = -4 \implies x_2 = -\frac{4}{9}$

Ответ: $x=0$; $x=-\frac{4}{9}$.

г) Составим уравнение, исходя из того, что сумма квадратов двучленов равна 13:

$(x + 2)^2 + (x - 3)^2 = 13$

Раскроем скобки, используя формулы квадрата суммы и квадрата разности:

$(x^2 + 2 \cdot x \cdot 2 + 2^2) + (x^2 - 2 \cdot x \cdot 3 + 3^2) = 13$

$(x^2 + 4x + 4) + (x^2 - 6x + 9) = 13$

Уберем скобки и приведем подобные слагаемые:

$x^2 + 4x + 4 + x^2 - 6x + 9 = 13$

$(x^2 + x^2) + (4x - 6x) + (4 + 9) = 13$

$2x^2 - 2x + 13 = 13$

Вычтем 13 из обеих частей уравнения:

$2x^2 - 2x = 0$

Вынесем общий множитель $2x$ за скобки:

$2x(x - 1) = 0$

Находим корни уравнения:

$2x = 0 \implies x_1 = 0$

или

$x - 1 = 0 \implies x_2 = 1$

Ответ: $x=0$; $x=1$.

Помогло решение? Оставьте отзыв в комментариях ниже.

Присоединяйтесь к Телеграм-группе @gdz_by_belarus

Присоединиться

Мы подготовили для вас ответ c подробным объяснением домашего задания по алгебре за 8 класс, для упражнения номер 2.16 расположенного на странице 103 к учебнику 2024 года издания для учащихся школ и гимназий.

Теперь на нашем сайте ГДЗ.ТОП вы всегда легко и бесплатно найдёте условие с правильным ответом на вопрос «Как решить ДЗ» и «Как сделать» задание по алгебре к упражнению №2.16 (с. 103), авторов: Арефьева (Ирина Глебовна), Пирютко (Ольга Николаевна), учебного пособия издательства Адукацыя i выхаванне.