Номер 1.361, страница 89 - гдз по алгебре 8 класс учебник Арефьева, Пирютко

Алгебра, 8 класс Учебник, авторы: Арефьева Ирина Глебовна, Пирютко Ольга Николаевна, издательство Адукацыя i выхаванне, Минск, 2024, бирюзового цвета

Авторы: Арефьева И. Г., Пирютко О. Н.

Тип: Учебник

Издательство: Адукацыя i выхаванне

Год издания: 2024 - 2026

Цвет обложки: бирюзовый с графиком

ISBN: ISBN 978-985-03-4081-8

Допущено Министерством образования Республики Беларусь

Популярные ГДЗ в 8 классе

Глава 1. Квадратные корни и их свойства. Действительные числа. Параграф 6. Системы и совокупности линейных неравенств с одной переменной. Решение двойных неравенств - номер 1.361, страница 89.

№1.361 (с. 89)
Условие. №1.361 (с. 89)
скриншот условия
Алгебра, 8 класс Учебник, авторы: Арефьева Ирина Глебовна, Пирютко Ольга Николаевна, издательство Адукацыя i выхаванне, Минск, 2024, бирюзового цвета, страница 89, номер 1.361, Условие

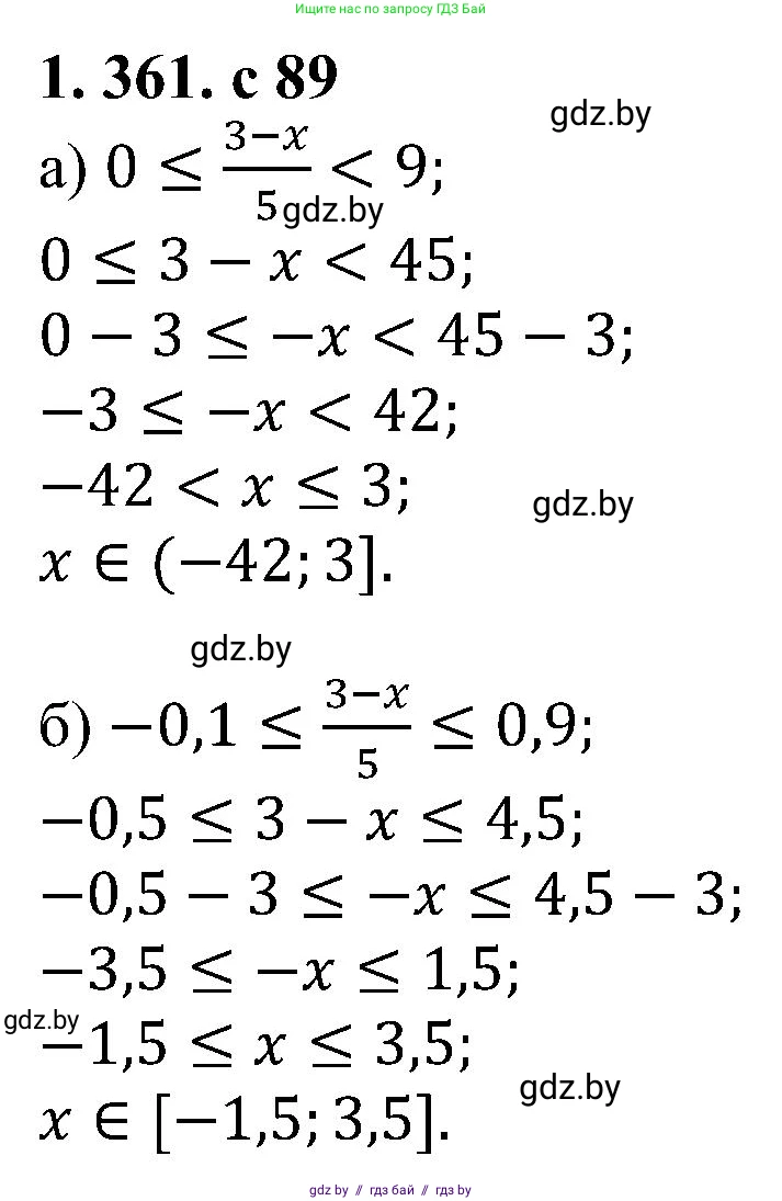
1.361. Найдите значения переменной, при которых значение дроби $ \frac{3-x}{5} $ принадлежит промежутку:

a) $[0; 9);$

б) $[-0,1; 0,9].$

Решение. №1.361 (с. 89)
Алгебра, 8 класс Учебник, авторы: Арефьева Ирина Глебовна, Пирютко Ольга Николаевна, издательство Адукацыя i выхаванне, Минск, 2024, бирюзового цвета, страница 89, номер 1.361, Решение
Решение 2. №1.361 (с. 89)

Чтобы найти значения переменной $x$, при которых значение дроби $\frac{3-x}{5}$ принадлежит заданному промежутку, необходимо решить соответствующее двойное неравенство для каждого случая.

а) Значение дроби принадлежит промежутку $[0; 9)$. Это означает, что оно больше или равно 0 и строго меньше 9. Составим и решим двойное неравенство: $$ 0 \le \frac{3-x}{5} < 9 $$ 1. Умножим все части неравенства на 5. Так как 5 > 0, знаки неравенства не меняются: $$ 0 \cdot 5 \le ( \frac{3-x}{5} ) \cdot 5 < 9 \cdot 5 $$ $$ 0 \le 3-x < 45 $$ 2. Вычтем 3 из всех частей неравенства: $$ 0 - 3 \le 3 - x - 3 < 45 - 3 $$ $$ -3 \le -x < 42 $$ 3. Умножим все части неравенства на -1. При умножении на отрицательное число знаки неравенства меняются на противоположные: $$ (-3) \cdot (-1) \ge (-x) \cdot (-1) > 42 \cdot (-1) $$ $$ 3 \ge x > -42 $$ Запишем неравенство в привычном виде, от меньшего числа к большему: $$ -42 < x \le 3 $$ Следовательно, переменная $x$ принадлежит промежутку $(-42; 3]$.
Ответ: $x \in (-42; 3]$.

б) Значение дроби принадлежит промежутку $[-0.1; 0.9]$. Это означает, что оно больше или равно -0.1 и меньше или равно 0.9. Составим и решим двойное неравенство: $$ -0.1 \le \frac{3-x}{5} \le 0.9 $$ 1. Умножим все части неравенства на 5: $$ -0.1 \cdot 5 \le ( \frac{3-x}{5} ) \cdot 5 \le 0.9 \cdot 5 $$ $$ -0.5 \le 3-x \le 4.5 $$ 2. Вычтем 3 из всех частей неравенства: $$ -0.5 - 3 \le 3 - x - 3 \le 4.5 - 3 $$ $$ -3.5 \le -x \le 1.5 $$ 3. Умножим все части неравенства на -1 и сменим знаки неравенства на противоположные: $$ (-3.5) \cdot (-1) \ge (-x) \cdot (-1) \ge 1.5 \cdot (-1) $$ $$ 3.5 \ge x \ge -1.5 $$ Запишем неравенство в стандартном виде: $$ -1.5 \le x \le 3.5 $$ Это означает, что $x$ принадлежит отрезку $[-1.5; 3.5]$.
Представим концы отрезка в виде смешанных чисел. Для этого сначала переведем десятичные дроби в неправильные, а затем выделим из них целую часть: $$ -1.5 = -\frac{15}{10} = -\frac{3}{2} = -1\frac{1}{2} $$ $$ 3.5 = \frac{35}{10} = \frac{7}{2} = 3\frac{1}{2} $$ Таким образом, искомый промежуток для $x$ есть $[-1\frac{1}{2}; 3\frac{1}{2}]$.
Ответ: $x \in [-1\frac{1}{2}; 3\frac{1}{2}]$.

Помогло решение? Оставьте отзыв в комментариях ниже.

Присоединяйтесь к Телеграм-группе @gdz_by_belarus

Присоединиться

Мы подготовили для вас ответ c подробным объяснением домашего задания по алгебре за 8 класс, для упражнения номер 1.361 расположенного на странице 89 к учебнику 2024 года издания для учащихся школ и гимназий.

Теперь на нашем сайте ГДЗ.ТОП вы всегда легко и бесплатно найдёте условие с правильным ответом на вопрос «Как решить ДЗ» и «Как сделать» задание по алгебре к упражнению №1.361 (с. 89), авторов: Арефьева (Ирина Глебовна), Пирютко (Ольга Николаевна), учебного пособия издательства Адукацыя i выхаванне.