Номер 1.335, страница 85 - гдз по алгебре 8 класс учебник Арефьева, Пирютко

Алгебра, 8 класс Учебник, авторы: Арефьева Ирина Глебовна, Пирютко Ольга Николаевна, издательство Адукацыя i выхаванне, Минск, 2024, бирюзового цвета

Авторы: Арефьева И. Г., Пирютко О. Н.

Тип: Учебник

Издательство: Адукацыя i выхаванне

Год издания: 2024 - 2026

Цвет обложки: бирюзовый с графиком

ISBN: ISBN 978-985-03-4081-8

Допущено Министерством образования Республики Беларусь

Популярные ГДЗ в 8 классе

Глава 1. Квадратные корни и их свойства. Действительные числа. Параграф 6. Системы и совокупности линейных неравенств с одной переменной. Решение двойных неравенств - номер 1.335, страница 85.

№1.335 (с. 85)
Условие. №1.335 (с. 85)
скриншот условия
Алгебра, 8 класс Учебник, авторы: Арефьева Ирина Глебовна, Пирютко Ольга Николаевна, издательство Адукацыя i выхаванне, Минск, 2024, бирюзового цвета, страница 85, номер 1.335, Условие

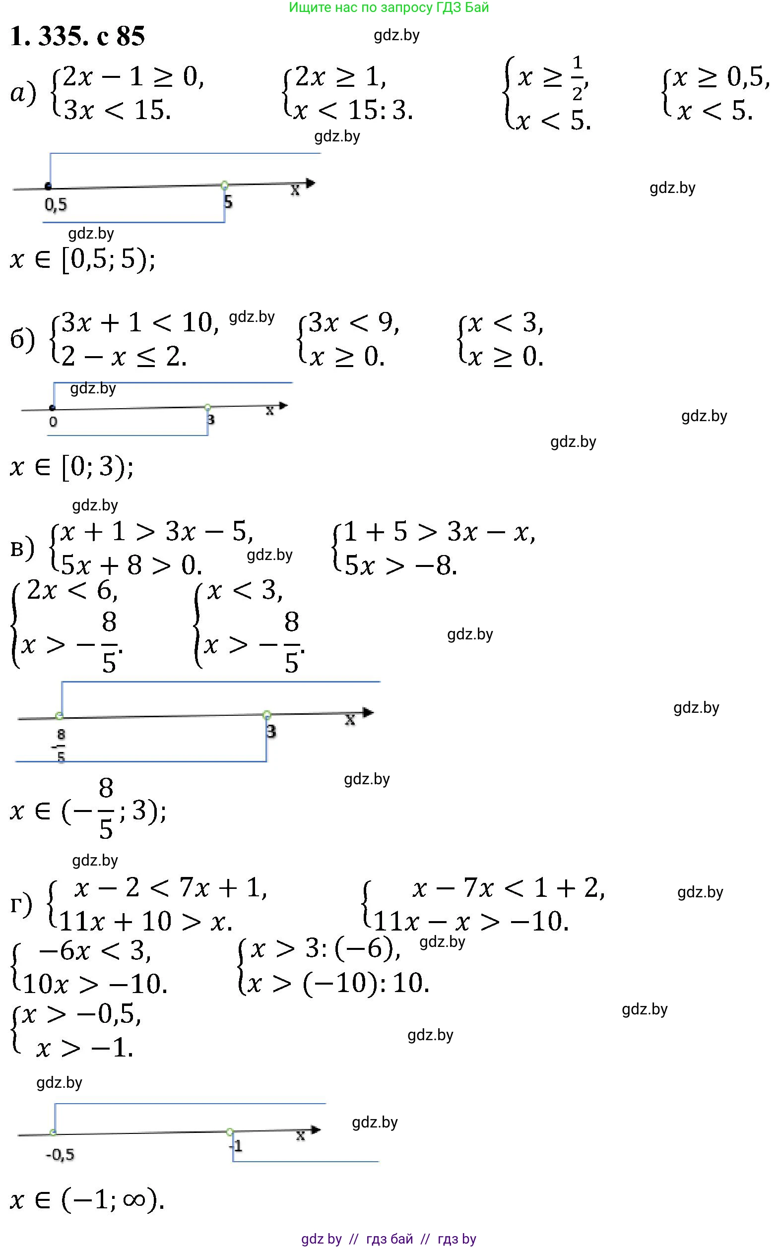
1.335. Решите систему неравенств:

a) $\begin{cases} 2x - 1 \ge 0, \\ 3x < 15; \end{cases}$

б) $\begin{cases} 3x + 1 < 10, \\ 2 - x \le 2; \end{cases}$

в) $\begin{cases} x + 1 > 3x - 5, \\ 5x + 8 > 0; \end{cases}$

г) $\begin{cases} x - 2 < 7x + 1, \\ 11x + 10 > x. \end{cases}$

Решение. №1.335 (с. 85)
Алгебра, 8 класс Учебник, авторы: Арефьева Ирина Глебовна, Пирютко Ольга Николаевна, издательство Адукацыя i выхаванне, Минск, 2024, бирюзового цвета, страница 85, номер 1.335, Решение
Решение 2. №1.335 (с. 85)

а) Решим каждое неравенство системы по отдельности:

1) $2x - 1 \ge 0$

Перенесем -1 в правую часть:

$2x \ge 1$

Разделим обе части на 2:

$x \ge \frac{1}{2}$

2) $3x < 15$

Разделим обе части на 3:

$x < \frac{15}{3}$

$x < 5$

Теперь найдем пересечение полученных решений. Нам нужны значения $x$, которые одновременно больше или равны $\frac{1}{2}$ и меньше $5$. Это можно записать в виде двойного неравенства $\frac{1}{2} \le x < 5$ или в виде промежутка.

Ответ: $[\frac{1}{2}, 5)$

б) Решим каждое неравенство системы по отдельности:

1) $3x + 1 < 10$

Перенесем 1 в правую часть:

$3x < 10 - 1$

$3x < 9$

Разделим обе части на 3:

$x < 3$

2) $2 - x \le 2$

Перенесем 2 в правую часть:

$-x \le 2 - 2$

$-x \le 0$

Умножим обе части на -1, изменив знак неравенства на противоположный:

$x \ge 0$

Найдем пересечение решений: $x$ должен быть одновременно меньше $3$ и больше или равен $0$. Это соответствует двойному неравенству $0 \le x < 3$ или промежутку.

Ответ: $[0, 3)$

в) Решим каждое неравенство системы по отдельности:

1) $x + 1 > 3x - 5$

Сгруппируем слагаемые с $x$ в одной части, а свободные члены — в другой:

$1 + 5 > 3x - x$

$6 > 2x$

Разделим обе части на 2:

$3 > x$, что эквивалентно $x < 3$

2) $5x + 8 > 0$

Перенесем 8 в правую часть:

$5x > -8$

Разделим обе части на 5:

$x > -\frac{8}{5}$

Найдем пересечение решений: $x$ должен быть одновременно меньше $3$ и больше $-\frac{8}{5}$. Это можно записать в виде двойного неравенства $-\frac{8}{5} < x < 3$.

Представим неправильную дробь $-\frac{8}{5}$ в виде смешанного числа: $-\frac{8}{5} = -1\frac{3}{5}$.

Ответ: $(- \mathbf{1}\frac{3}{5}, 3)$

г) Решим каждое неравенство системы по отдельности:

1) $x - 2 < 7x + 1$

Сгруппируем слагаемые с $x$ в одной части, а свободные члены — в другой:

$-2 - 1 < 7x - x$

$-3 < 6x$

Разделим обе части на 6:

$-\frac{3}{6} < x$

Сократим дробь:

$x > -\frac{1}{2}$

2) $11x + 10 > x$

Сгруппируем слагаемые с $x$:

$11x - x > -10$

$10x > -10$

Разделим обе части на 10:

$x > -1$

Найдем пересечение решений. Нам нужны значения $x$, которые одновременно больше $-\frac{1}{2}$ и больше $-1$. Так как любое число, большее $-\frac{1}{2}$, автоматически является и большим, чем $-1$, то общее решение — это $x > -\frac{1}{2}$.

Ответ: $(-\frac{1}{2}, \infty)$

Помогло решение? Оставьте отзыв в комментариях ниже.

Присоединяйтесь к Телеграм-группе @gdz_by_belarus

Присоединиться

Мы подготовили для вас ответ c подробным объяснением домашего задания по алгебре за 8 класс, для упражнения номер 1.335 расположенного на странице 85 к учебнику 2024 года издания для учащихся школ и гимназий.

Теперь на нашем сайте ГДЗ.ТОП вы всегда легко и бесплатно найдёте условие с правильным ответом на вопрос «Как решить ДЗ» и «Как сделать» задание по алгебре к упражнению №1.335 (с. 85), авторов: Арефьева (Ирина Глебовна), Пирютко (Ольга Николаевна), учебного пособия издательства Адукацыя i выхаванне.