Номер 1.214, страница 59 - гдз по алгебре 8 класс учебник Арефьева, Пирютко

Алгебра, 8 класс Учебник, авторы: Арефьева Ирина Глебовна, Пирютко Ольга Николаевна, издательство Адукацыя i выхаванне, Минск, 2024, бирюзового цвета

Авторы: Арефьева И. Г., Пирютко О. Н.

Тип: Учебник

Издательство: Адукацыя i выхаванне

Год издания: 2024 - 2026

Цвет обложки: бирюзовый с графиком

ISBN: ISBN 978-985-03-4081-8

Допущено Министерством образования Республики Беларусь

Популярные ГДЗ в 8 классе

Глава 1. Квадратные корни и их свойства. Действительные числа. Параграф 4. Применение свойств квадратных корней - номер 1.214, страница 59.

№1.214 (с. 59)
Условие. №1.214 (с. 59)
скриншот условия
Алгебра, 8 класс Учебник, авторы: Арефьева Ирина Глебовна, Пирютко Ольга Николаевна, издательство Адукацыя i выхаванне, Минск, 2024, бирюзового цвета, страница 59, номер 1.214, Условие

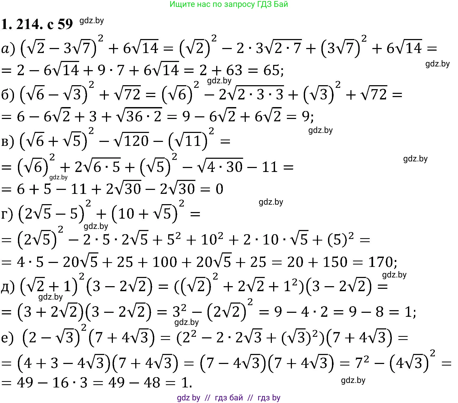
1.214. Вычислите:

а) $(\sqrt{2} - 3\sqrt{7})^2 + 6\sqrt{14}$;

б) $(\sqrt{6} - \sqrt{3})^2 + \sqrt{72}$;

в) $(\sqrt{6} + \sqrt{5})^2 - \sqrt{120} - (\sqrt{11})^2$;

г) $(2\sqrt{5} - 5)^2 + (10 + \sqrt{5})^2$;

д) $(\sqrt{2} + 1)^2(3 - 2\sqrt{2})$;

е) $(2 - \sqrt{3})^2(7 + 4\sqrt{3}).

Решение. №1.214 (с. 59)
Алгебра, 8 класс Учебник, авторы: Арефьева Ирина Глебовна, Пирютко Ольга Николаевна, издательство Адукацыя i выхаванне, Минск, 2024, бирюзового цвета, страница 59, номер 1.214, Решение
Решение 2. №1.214 (с. 59)

а) $(\sqrt{2} - 3\sqrt{7})^2 + 6\sqrt{14}$

Для раскрытия скобок используем формулу квадрата разности: $(a-b)^2 = a^2 - 2ab + b^2$.

$(\sqrt{2})^2 - 2 \cdot \sqrt{2} \cdot 3\sqrt{7} + (3\sqrt{7})^2 + 6\sqrt{14} = 2 - 6\sqrt{14} + 9 \cdot 7 + 6\sqrt{14}$

Слагаемые $-6\sqrt{14}$ и $6\sqrt{14}$ взаимно уничтожаются.

$2 + 63 = 65$

Ответ: 65

б) $(\sqrt{6} - \sqrt{3})^2 + \sqrt{72}$

Раскрываем скобки по формуле квадрата разности $(a-b)^2 = a^2 - 2ab + b^2$ и упрощаем корень $\sqrt{72}$.

$(\sqrt{6})^2 - 2 \cdot \sqrt{6} \cdot \sqrt{3} + (\sqrt{3})^2 + \sqrt{36 \cdot 2} = 6 - 2\sqrt{18} + 3 + 6\sqrt{2}$

Упростим корень $\sqrt{18} = \sqrt{9 \cdot 2} = 3\sqrt{2}$.

$6 - 2 \cdot 3\sqrt{2} + 3 + 6\sqrt{2} = 9 - 6\sqrt{2} + 6\sqrt{2}$

Слагаемые $-6\sqrt{2}$ и $6\sqrt{2}$ взаимно уничтожаются.

Ответ: 9

в) $(\sqrt{6} + \sqrt{5})^2 - \sqrt{120} - (\sqrt{11})^2$

Используем формулу квадрата суммы $(a+b)^2 = a^2 + 2ab + b^2$, а также свойство $(\sqrt{a})^2=a$.

$(\sqrt{6})^2 + 2 \cdot \sqrt{6} \cdot \sqrt{5} + (\sqrt{5})^2 - \sqrt{120} - 11 = 6 + 2\sqrt{30} + 5 - \sqrt{120} - 11$

Упростим корень $\sqrt{120} = \sqrt{4 \cdot 30} = 2\sqrt{30}$.

$(6 + 5 - 11) + (2\sqrt{30} - 2\sqrt{30}) = 0 + 0 = 0$

Ответ: 0

г) $(2\sqrt{5} - 5)^2 + (10 + \sqrt{5})^2$

Раскроем каждую скобку по формулам квадрата разности и квадрата суммы.

Первая скобка: $(2\sqrt{5} - 5)^2 = (2\sqrt{5})^2 - 2 \cdot 2\sqrt{5} \cdot 5 + 5^2 = 4 \cdot 5 - 20\sqrt{5} + 25 = 20 - 20\sqrt{5} + 25 = 45 - 20\sqrt{5}$.

Вторая скобка: $(10 + \sqrt{5})^2 = 10^2 + 2 \cdot 10 \cdot \sqrt{5} + (\sqrt{5})^2 = 100 + 20\sqrt{5} + 5 = 105 + 20\sqrt{5}$.

Сложим полученные выражения:

$(45 - 20\sqrt{5}) + (105 + 20\sqrt{5}) = 45 + 105 - 20\sqrt{5} + 20\sqrt{5} = 150$

Ответ: 150

д) $(\sqrt{2} + 1)^2 (3 - 2\sqrt{2})$

Сначала возведем в квадрат первую скобку по формуле $(a+b)^2 = a^2 + 2ab + b^2$.

$(\sqrt{2} + 1)^2 = (\sqrt{2})^2 + 2 \cdot \sqrt{2} \cdot 1 + 1^2 = 2 + 2\sqrt{2} + 1 = 3 + 2\sqrt{2}$.

Теперь умножим результат на вторую скобку:

$(3 + 2\sqrt{2})(3 - 2\sqrt{2})$

Это формула разности квадратов $(a+b)(a-b) = a^2 - b^2$.

$3^2 - (2\sqrt{2})^2 = 9 - (4 \cdot 2) = 9 - 8 = 1$

Ответ: 1

е) $(2 - \sqrt{3})^2 (7 + 4\sqrt{3})$

Возведем в квадрат первую скобку по формуле $(a-b)^2 = a^2 - 2ab + b^2$.

$(2 - \sqrt{3})^2 = 2^2 - 2 \cdot 2 \cdot \sqrt{3} + (\sqrt{3})^2 = 4 - 4\sqrt{3} + 3 = 7 - 4\sqrt{3}$.

Теперь умножим результат на вторую скобку:

$(7 - 4\sqrt{3})(7 + 4\sqrt{3})$

Используем формулу разности квадратов $(a-b)(a+b) = a^2 - b^2$.

$7^2 - (4\sqrt{3})^2 = 49 - (16 \cdot 3) = 49 - 48 = 1$

Ответ: 1

Помогло решение? Оставьте отзыв в комментариях ниже.

Присоединяйтесь к Телеграм-группе @gdz_by_belarus

Присоединиться

Мы подготовили для вас ответ c подробным объяснением домашего задания по алгебре за 8 класс, для упражнения номер 1.214 расположенного на странице 59 к учебнику 2024 года издания для учащихся школ и гимназий.

Теперь на нашем сайте ГДЗ.ТОП вы всегда легко и бесплатно найдёте условие с правильным ответом на вопрос «Как решить ДЗ» и «Как сделать» задание по алгебре к упражнению №1.214 (с. 59), авторов: Арефьева (Ирина Глебовна), Пирютко (Ольга Николаевна), учебного пособия издательства Адукацыя i выхаванне.