Номер 1.115, страница 41 - гдз по алгебре 8 класс учебник Арефьева, Пирютко

Алгебра, 8 класс Учебник, авторы: Арефьева Ирина Глебовна, Пирютко Ольга Николаевна, издательство Адукацыя i выхаванне, Минск, 2024, бирюзового цвета

Авторы: Арефьева И. Г., Пирютко О. Н.

Тип: Учебник

Издательство: Адукацыя i выхаванне

Год издания: 2024 - 2026

Цвет обложки: бирюзовый с графиком

ISBN: ISBN 978-985-03-4081-8

Допущено Министерством образования Республики Беларусь

Популярные ГДЗ в 8 классе

Глава 1. Квадратные корни и их свойства. Действительные числа. Параграф 3. Свойства квадратных корней - номер 1.115, страница 41.

№1.115 (с. 41)
Условие. №1.115 (с. 41)
скриншот условия
Алгебра, 8 класс Учебник, авторы: Арефьева Ирина Глебовна, Пирютко Ольга Николаевна, издательство Адукацыя i выхаванне, Минск, 2024, бирюзового цвета, страница 41, номер 1.115, Условие

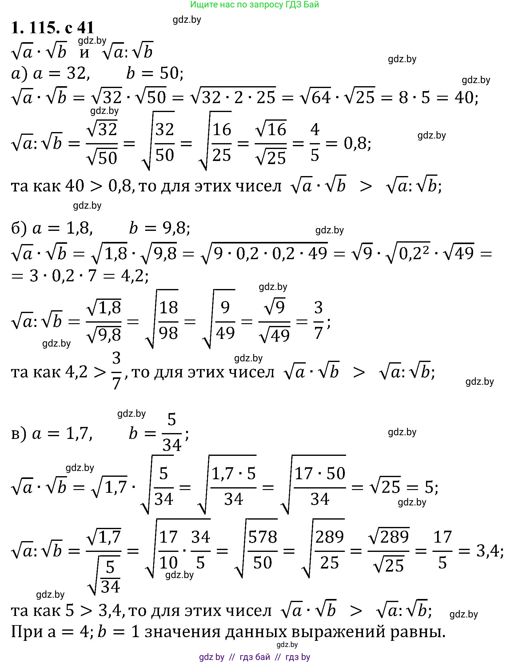
1.115. Найдите значения выражений $\sqrt{a} \cdot \sqrt{b}$ и $\sqrt{a} : \sqrt{b}$, если:

а) a = 32, b = 50;

б) a = 1,8, b = 9,8;

в) a = 1,7, b = $\frac{5}{34}$.

Подберите такие значения переменных a и b, при которых значения данных выражений равны.

Решение. №1.115 (с. 41)
Алгебра, 8 класс Учебник, авторы: Арефьева Ирина Глебовна, Пирютко Ольга Николаевна, издательство Адукацыя i выхаванне, Минск, 2024, бирюзового цвета, страница 41, номер 1.115, Решение
Решение 2. №1.115 (с. 41)

а) При $a = 32$ и $b = 50$ находим значения выражений:
1) $\sqrt{a} \cdot \sqrt{b} = \sqrt{32} \cdot \sqrt{50} = \sqrt{16 \cdot 2} \cdot \sqrt{25 \cdot 2} = 4\sqrt{2} \cdot 5\sqrt{2} = 20 \cdot 2 = 40$.
2) $\sqrt{a} : \sqrt{b} = \sqrt{32} : \sqrt{50} = \sqrt{\frac{32}{50}} = \sqrt{\frac{16}{25}} = \frac{4}{5}$.
Ответ: $40$ и $\frac{4}{5}$.

б) При $a = 1.8$ и $b = 9.8$ находим значения выражений:
1) $\sqrt{a} \cdot \sqrt{b} = \sqrt{1.8} \cdot \sqrt{9.8} = \sqrt{1.8 \cdot 9.8} = \sqrt{17.64} = 4.2$.
2) $\sqrt{a} : \sqrt{b} = \sqrt{1.8} : \sqrt{9.8} = \sqrt{\frac{1.8}{9.8}} = \sqrt{\frac{18}{98}} = \sqrt{\frac{9}{49}} = \frac{3}{7}$.
Ответ: $4.2$ и $\frac{3}{7}$.

в) При $a = 1.7$ и $b = \frac{5}{34}$ находим значения выражений:
1) $\sqrt{a} \cdot \sqrt{b} = \sqrt{1.7} \cdot \sqrt{\frac{5}{34}} = \sqrt{\frac{17}{10} \cdot \frac{5}{34}} = \sqrt{\frac{17 \cdot 5}{10 \cdot 34}} = \sqrt{\frac{1}{4}} = \frac{1}{2}$.
2) $\sqrt{a} : \sqrt{b} = \sqrt{1.7} : \sqrt{\frac{5}{34}} = \sqrt{\frac{17}{10} : \frac{5}{34}} = \sqrt{\frac{17}{10} \cdot \frac{34}{5}} = \sqrt{\frac{17 \cdot (17 \cdot 2)}{5 \cdot 2 \cdot 5}} = \sqrt{\frac{17^2}{5^2}} = \frac{17}{5} = 3\frac{2}{5}$.
Ответ: $\frac{1}{2}$ и 3$\frac{2}{5}$.

Подберем значения переменных $a$ и $b$, при которых значения данных выражений равны. Для этого должно выполняться равенство $\sqrt{a} \cdot \sqrt{b} = \sqrt{a} : \sqrt{b}$. При $a \ge 0$ и $b > 0$ это равносильно уравнению $ab = \frac{a}{b}$. Решением является $a=0$ (при любом $b>0$) или $b=1$ (при любом $a \ge 0$).
Возьмем, например, $a=25$ и $b=1$.
Проверка: $\sqrt{25} \cdot \sqrt{1} = 5$ и $\sqrt{25} : \sqrt{1} = 5$. Значения равны.
Ответ: например, при $a=25$ и $b=1$.

Помогло решение? Оставьте отзыв в комментариях ниже.

Присоединяйтесь к Телеграм-группе @gdz_by_belarus

Присоединиться

Мы подготовили для вас ответ c подробным объяснением домашего задания по алгебре за 8 класс, для упражнения номер 1.115 расположенного на странице 41 к учебнику 2024 года издания для учащихся школ и гимназий.

Теперь на нашем сайте ГДЗ.ТОП вы всегда легко и бесплатно найдёте условие с правильным ответом на вопрос «Как решить ДЗ» и «Как сделать» задание по алгебре к упражнению №1.115 (с. 41), авторов: Арефьева (Ирина Глебовна), Пирютко (Ольга Николаевна), учебного пособия издательства Адукацыя i выхаванне.