Номер 6, страница 5 - гдз по алгебре 8 класс учебник Арефьева, Пирютко

Алгебра, 8 класс Учебник, авторы: Арефьева Ирина Глебовна, Пирютко Ольга Николаевна, издательство Адукацыя i выхаванне, Минск, 2024, бирюзового цвета

Авторы: Арефьева И. Г., Пирютко О. Н.

Тип: Учебник

Издательство: Адукацыя i выхаванне

Год издания: 2024 - 2026

Цвет обложки: бирюзовый с графиком

ISBN: ISBN 978-985-03-4081-8

Допущено Министерством образования Республики Беларусь

Популярные ГДЗ в 8 классе

Повторение курса алгебры 7-го класса. Степень с целым показателем и ее свойства - номер 6, страница 5.

№6 (с. 5)
Условие. №6 (с. 5)
скриншот условия
Алгебра, 8 класс Учебник, авторы: Арефьева Ирина Глебовна, Пирютко Ольга Николаевна, издательство Адукацыя i выхаванне, Минск, 2024, бирюзового цвета, страница 5, номер 6, Условие

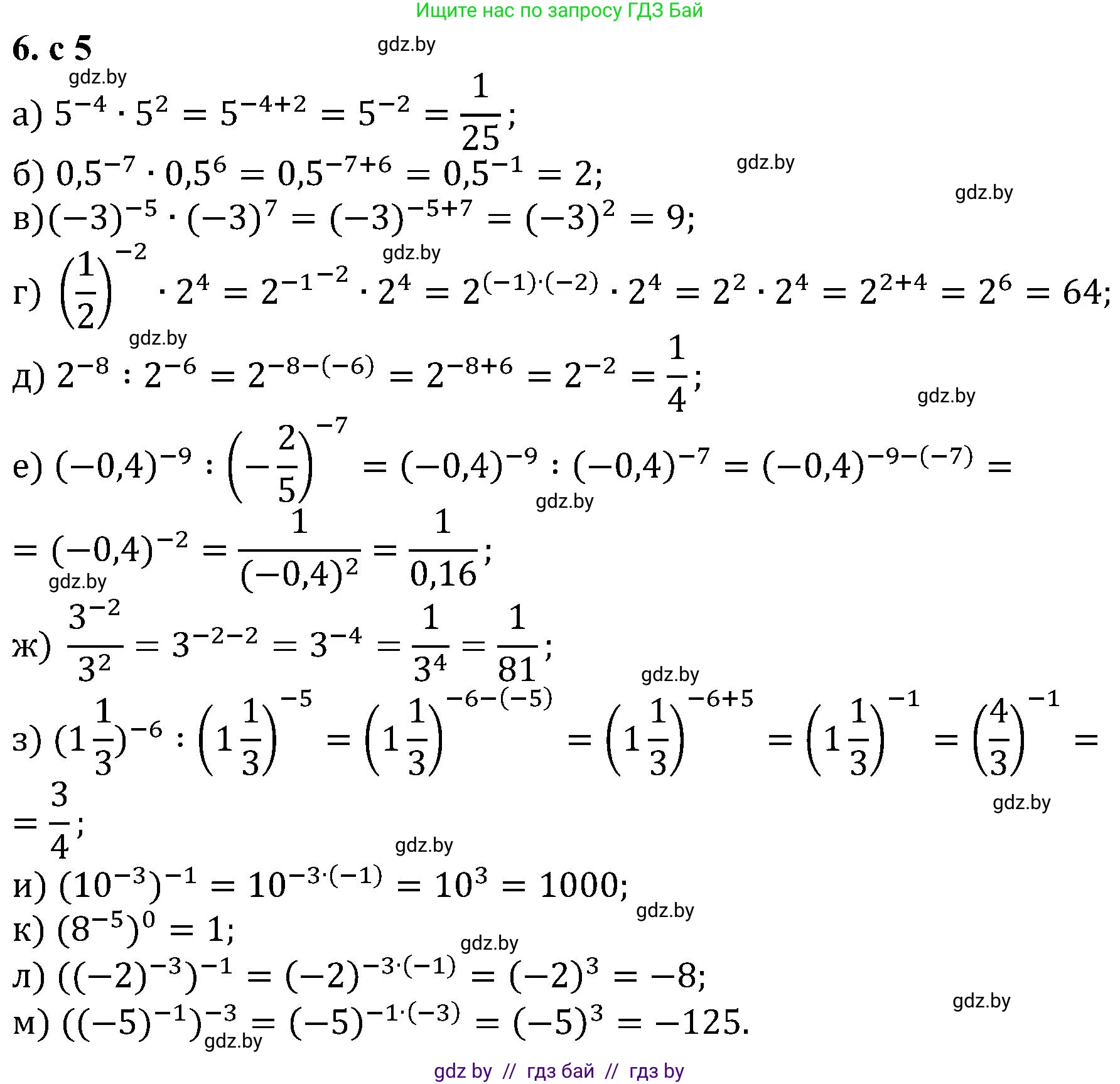
6. Пользуясь свойствами степени с целым показателем, вычислите:

а) $5^{-4} \cdot 5^2;$

б) $0,5^{-7} \cdot 0,5^6;$

в) $(-3)^{-5} \cdot (-3)^7;$

г) $\left(\frac{1}{2}\right)^{-2} \cdot 2^4;$

д) $2^{-8} : 2^{-6};$

е) $(-0,4)^{-9} : \left(-\frac{2}{5}\right)^{-7};$

ж) $\frac{3^{-2}}{3^2};$

з) $\left(1\frac{1}{3}\right)^{-6} : \left(1\frac{1}{3}\right)^{-5};$

и) $(10^{-3})^{-1};$

к) $(8^{-5})^0;$

л) $((-2)^{-3})^{-1};$

м) $((-5)^{-1})^{-3}.$

Решение. №6 (с. 5)
Алгебра, 8 класс Учебник, авторы: Арефьева Ирина Глебовна, Пирютко Ольга Николаевна, издательство Адукацыя i выхаванне, Минск, 2024, бирюзового цвета, страница 5, номер 6, Решение
Решение 2. №6 (с. 5)

а) $5^{-4} \cdot 5^2$
Для вычисления произведения степеней с одинаковым основанием используется свойство $a^m \cdot a^n = a^{m+n}$. Складываем показатели степеней:
$5^{-4} \cdot 5^2 = 5^{-4+2} = 5^{-2}$
Далее, используем свойство степени с отрицательным показателем $a^{-n} = \frac{1}{a^n}$:
$5^{-2} = \frac{1}{5^2} = \frac{1}{25}$
Ответ: $\frac{1}{25}$.

б) $0,5^{-7} \cdot 0,5^6$
Используем свойство умножения степеней с одинаковым основанием $a^m \cdot a^n = a^{m+n}$:
$0,5^{-7} \cdot 0,5^6 = 0,5^{-7+6} = 0,5^{-1}$
Представим $0,5$ в виде обыкновенной дроби $\frac{1}{2}$ и воспользуемся свойством $(\frac{a}{b})^{-n} = (\frac{b}{a})^n$:
$0,5^{-1} = (\frac{1}{2})^{-1} = \frac{2}{1} = 2$
Ответ: 2.

в) $(-3)^{-5} \cdot (-3)^7$
Применяем свойство умножения степеней с одинаковым основанием $a^m \cdot a^n = a^{m+n}$:
$(-3)^{-5} \cdot (-3)^7 = (-3)^{-5+7} = (-3)^2$
Возводим в квадрат:
$(-3)^2 = 9$
Ответ: 9.

г) $(\frac{1}{2})^{-2} \cdot 2^4$
Сначала преобразуем первый множитель, используя свойство $(\frac{a}{b})^{-n} = (\frac{b}{a})^n$:
$(\frac{1}{2})^{-2} = (\frac{2}{1})^2 = 2^2$
Теперь выражение имеет вид $2^2 \cdot 2^4$. Используем свойство умножения степеней $a^m \cdot a^n = a^{m+n}$:
$2^2 \cdot 2^4 = 2^{2+4} = 2^6 = 64$
Ответ: 64.

д) $2^{-8} : 2^{-6}$
Для вычисления частного степеней с одинаковым основанием используется свойство $a^m : a^n = a^{m-n}$. Вычитаем показатели степеней:
$2^{-8} : 2^{-6} = 2^{-8 - (-6)} = 2^{-8+6} = 2^{-2}$
Используем свойство степени с отрицательным показателем $a^{-n} = \frac{1}{a^n}$:
$2^{-2} = \frac{1}{2^2} = \frac{1}{4}$
Ответ: $\frac{1}{4}$.

е) $(-0,4)^{-9} : (-\frac{2}{5})^{-7}$
Сначала приведем десятичную дробь к обыкновенной, чтобы основания степеней стали одинаковыми: $-0,4 = -\frac{4}{10} = -\frac{2}{5}$.
Выражение принимает вид: $(-\frac{2}{5})^{-9} : (-\frac{2}{5})^{-7}$.
Используем свойство деления степеней с одинаковым основанием $a^m : a^n = a^{m-n}$:
$(-\frac{2}{5})^{-9 - (-7)} = (-\frac{2}{5})^{-9+7} = (-\frac{2}{5})^{-2}$
Далее, используем свойство $(\frac{a}{b})^{-n} = (\frac{b}{a})^n$:
$(-\frac{2}{5})^{-2} = (-\frac{5}{2})^2 = \frac{(-5)^2}{2^2} = \frac{25}{4}$
Результат является неправильной дробью. Выделим целую часть: $\frac{25}{4} = 6\frac{1}{4}$.
Ответ: 6$\frac{1}{4}$.

ж) $\frac{3^{-2}}{3^2}$
Данное выражение является частным двух степеней с одинаковым основанием. Используем свойство $\frac{a^m}{a^n} = a^{m-n}$:
$\frac{3^{-2}}{3^2} = 3^{-2 - 2} = 3^{-4}$
Применяем определение степени с отрицательным показателем $a^{-n} = \frac{1}{a^n}$:
$3^{-4} = \frac{1}{3^4} = \frac{1}{81}$
Ответ: $\frac{1}{81}$.

з) $(1\frac{1}{3})^{-6} : (1\frac{1}{3})^{-5}$
Сначала преобразуем смешанное число в неправильную дробь: $1\frac{1}{3} = \frac{1 \cdot 3 + 1}{3} = \frac{4}{3}$.
Выражение принимает вид: $(\frac{4}{3})^{-6} : (\frac{4}{3})^{-5}$.
Используем свойство деления степеней $a^m : a^n = a^{m-n}$:
$(\frac{4}{3})^{-6 - (-5)} = (\frac{4}{3})^{-6+5} = (\frac{4}{3})^{-1}$
Используем свойство $(\frac{a}{b})^{-n} = (\frac{b}{a})^n$:
$(\frac{4}{3})^{-1} = \frac{3}{4}$
Ответ: $\frac{3}{4}$.

и) $(10^{-3})^{-1}$
Для возведения степени в степень используется свойство $(a^m)^n = a^{m \cdot n}$. Перемножаем показатели:
$(10^{-3})^{-1} = 10^{(-3) \cdot (-1)} = 10^3 = 1000$
Ответ: 1000.

к) $(8^{-5})^0$
Любое число (кроме нуля), возведенное в нулевую степень, равно единице. Свойство: $a^0 = 1$ при $a \neq 0$.
Так как $8^{-5} \neq 0$, то:
$(8^{-5})^0 = 1$
Ответ: 1.

л) $((-2)^{-3})^{-1}$
Используем свойство возведения степени в степень $(a^m)^n = a^{m \cdot n}$:
$((-2)^{-3})^{-1} = (-2)^{(-3) \cdot (-1)} = (-2)^3$
Вычисляем результат:
$(-2)^3 = -8$
Ответ: -8.

м) $((-5)^{-1})^{-3}$
Применяем свойство возведения степени в степень $(a^m)^n = a^{m \cdot n}$:
$((-5)^{-1})^{-3} = (-5)^{(-1) \cdot (-3)} = (-5)^3$
Вычисляем результат:
$(-5)^3 = -125$
Ответ: -125.

Помогло решение? Оставьте отзыв в комментариях ниже.

Присоединяйтесь к Телеграм-группе @gdz_by_belarus

Присоединиться

Мы подготовили для вас ответ c подробным объяснением домашего задания по алгебре за 8 класс, для упражнения номер 6 расположенного на странице 5 к учебнику 2024 года издания для учащихся школ и гимназий.

Теперь на нашем сайте ГДЗ.ТОП вы всегда легко и бесплатно найдёте условие с правильным ответом на вопрос «Как решить ДЗ» и «Как сделать» задание по алгебре к упражнению №6 (с. 5), авторов: Арефьева (Ирина Глебовна), Пирютко (Ольга Николаевна), учебного пособия издательства Адукацыя i выхаванне.