Номер 39, страница 9 - гдз по алгебре 8 класс учебник Арефьева, Пирютко

Алгебра, 8 класс Учебник, авторы: Арефьева Ирина Глебовна, Пирютко Ольга Николаевна, издательство Адукацыя i выхаванне, Минск, 2024, бирюзового цвета

Авторы: Арефьева И. Г., Пирютко О. Н.

Тип: Учебник

Издательство: Адукацыя i выхаванне

Год издания: 2024 - 2026

Цвет обложки: бирюзовый с графиком

ISBN: ISBN 978-985-03-4081-8

Допущено Министерством образования Республики Беларусь

Популярные ГДЗ в 8 классе

Повторение курса алгебры 7-го класса. Выражения и их преобразования - номер 39, страница 9.

№39 (с. 9)
Условие. №39 (с. 9)
скриншот условия
Алгебра, 8 класс Учебник, авторы: Арефьева Ирина Глебовна, Пирютко Ольга Николаевна, издательство Адукацыя i выхаванне, Минск, 2024, бирюзового цвета, страница 9, номер 39, Условие

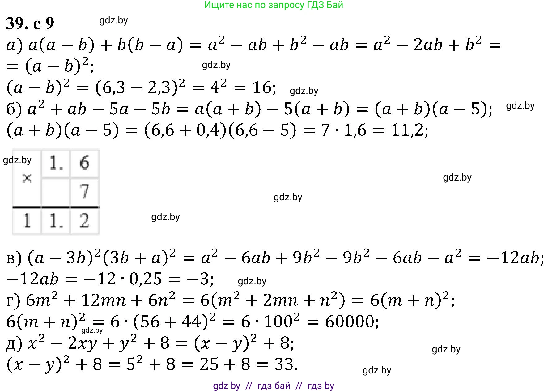
39. Упростите выражение и найдите его значение:

а) $a(a - b) + b(b - a)$ при $a = 6,3, b = 2,3$;

б) $a^2 + ab - 5a - 5b$ при $a = 6,6, b = 0,4$;

в) $(a - 3b)^2 - (3b + a)^2$ при $ab = 0,25$;

г) $6m^2 + 12mn + 6n^2$ при $m = 56, n = 44$;

д) $x^2 - 2xy + y^2 + 8$ при $x - y = 5$.

Решение. №39 (с. 9)
Алгебра, 8 класс Учебник, авторы: Арефьева Ирина Глебовна, Пирютко Ольга Николаевна, издательство Адукацыя i выхаванне, Минск, 2024, бирюзового цвета, страница 9, номер 39, Решение
Решение 2. №39 (с. 9)

а) Сначала упростим выражение $a(a - b) + b(b - a)$. Для этого раскроем скобки. Можно заметить, что $b - a = -(a - b)$, что упрощает задачу.

$a(a - b) + b(b - a) = a(a - b) - b(a - b)$

Теперь вынесем общий множитель $(a - b)$ за скобки:

$(a - b)(a - b) = (a - b)^2$

Теперь подставим значения $a = 6,3$ и $b = 2,3$ в упрощенное выражение:

$(6,3 - 2,3)^2 = 4^2 = 16$

Ответ: 16

б) Сначала упростим выражение $a^2 + ab - 5a - 5b$. Для этого сгруппируем слагаемые:

$(a^2 + ab) - (5a + 5b)$

Вынесем общие множители из каждой группы:

$a(a + b) - 5(a + b)$

Теперь вынесем общий множитель $(a + b)$ за скобки:

$(a + b)(a - 5)$

Теперь подставим значения $a = 6,6$ и $b = 0,4$ в упрощенное выражение:

$(6,6 + 0,4)(6,6 - 5) = 7 \cdot 1,6 = 11,2$

Ответ: 11,2

в) Сначала упростим выражение $(a - 3b)^2 - (3b + a)^2$. Это выражение является разностью квадратов, которую можно разложить по формуле $x^2 - y^2 = (x - y)(x + y)$.

Пусть $x = a - 3b$ и $y = 3b + a$. Тогда:

$((a - 3b) - (3b + a))((a - 3b) + (3b + a))$

Раскроем внутренние скобки и приведем подобные слагаемые:

$(a - 3b - 3b - a)(a - 3b + 3b + a) = (-6b)(2a) = -12ab$

Теперь подставим значение $ab = 0,25$ в упрощенное выражение:

$-12 \cdot 0,25 = -3$

Ответ: -3

г) Сначала упростим выражение $6m^2 + 12mn + 6n^2$. Вынесем общий множитель 6 за скобки:

$6(m^2 + 2mn + n^2)$

Выражение в скобках является полным квадратом суммы по формуле $x^2 + 2xy + y^2 = (x+y)^2$.

$6(m + n)^2$

Теперь подставим значения $m = 56$ и $n = 44$ в упрощенное выражение:

$6(56 + 44)^2 = 6(100)^2 = 6 \cdot 10000 = 60000$

Ответ: 60000

д) Сначала упростим выражение $x^2 - 2xy + y^2 + 8$. Первые три члена образуют полный квадрат разности по формуле $a^2 - 2ab + b^2 = (a-b)^2$.

$(x^2 - 2xy + y^2) + 8 = (x - y)^2 + 8$

Теперь подставим значение $x - y = 5$ в упрощенное выражение:

$5^2 + 8 = 25 + 8 = 33$

Ответ: 33

Помогло решение? Оставьте отзыв в комментариях ниже.

Присоединяйтесь к Телеграм-группе @gdz_by_belarus

Присоединиться

Мы подготовили для вас ответ c подробным объяснением домашего задания по алгебре за 8 класс, для упражнения номер 39 расположенного на странице 9 к учебнику 2024 года издания для учащихся школ и гимназий.

Теперь на нашем сайте ГДЗ.ТОП вы всегда легко и бесплатно найдёте условие с правильным ответом на вопрос «Как решить ДЗ» и «Как сделать» задание по алгебре к упражнению №39 (с. 9), авторов: Арефьева (Ирина Глебовна), Пирютко (Ольга Николаевна), учебного пособия издательства Адукацыя i выхаванне.