Реальная геометрия, страница 153 - гдз по геометрии 7 класс учебник Казаков

Геометрия, 7 класс Учебник, автор: Казаков Валерий Владимирович, издательство Народная асвета, Минск, 2022, бирюзового цвета

Авторы: Казаков В. В.

Тип: Учебник

Издательство: Народная асвета

Год издания: 2022 - 2026

Цвет обложки: бирюзовый

ISBN: 978-985-03-3797-9

Допущено Министерством образования Республики Беларусь

Популярные ГДЗ в 7 классе

Глава 4. Сумма углов треугольника. Параграф 26. Расстояние между параллельными прямыми. Задания к § 26. Подводим итоги - страница 153.

Реальная геометрия (с. 153)
Условие. Реальная геометрия (с. 153)
скриншот условия
Геометрия, 7 класс Учебник, автор: Казаков Валерий Владимирович, издательство Народная асвета, Минск, 2022, бирюзового цвета, страница 153, Условие Геометрия, 7 класс Учебник, автор: Казаков Валерий Владимирович, издательство Народная асвета, Минск, 2022, бирюзового цвета, страница 153, Условие (продолжение 2)

Реальная геометрия

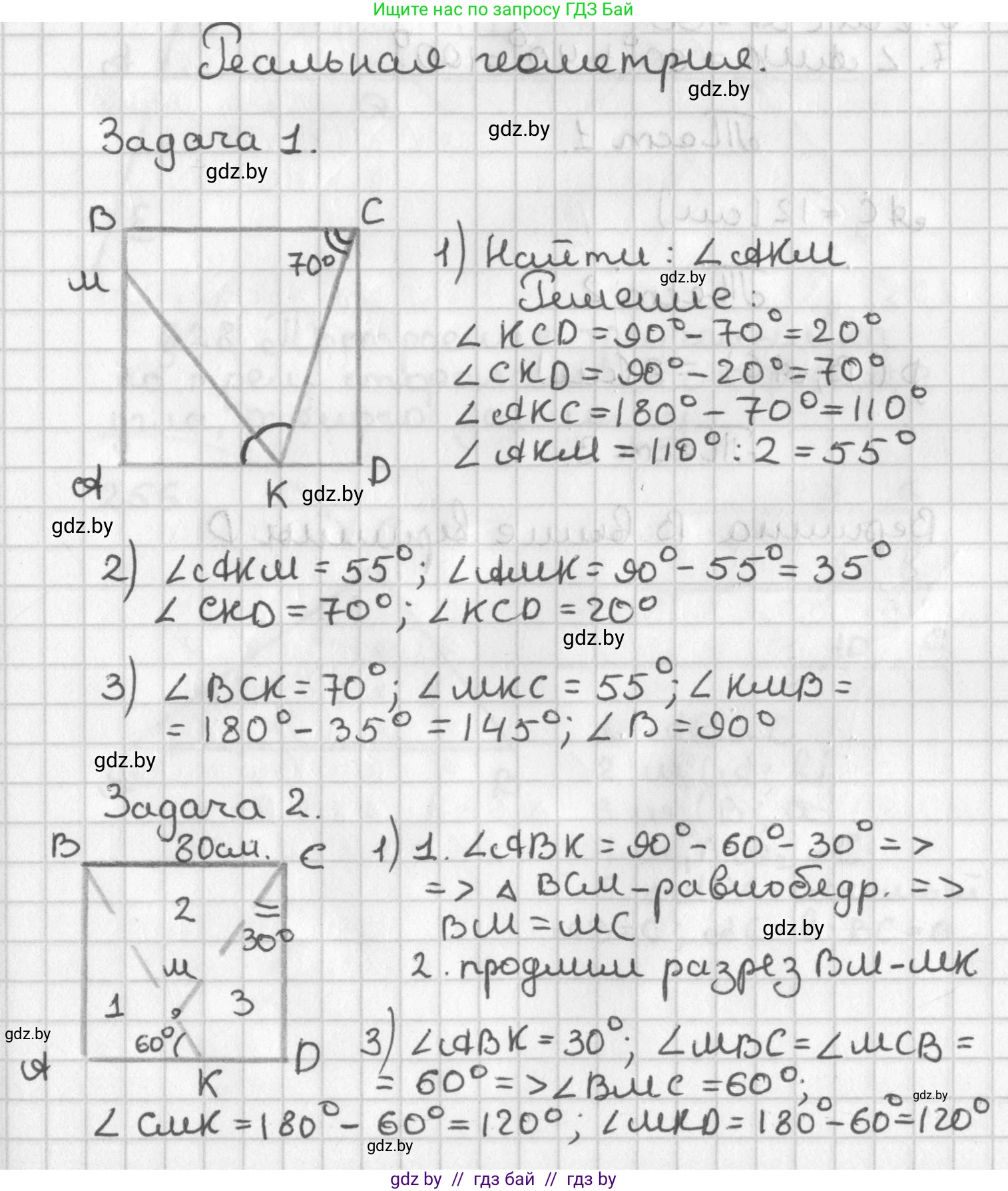
Задача 1. Квадратный лист картона, показанный на рисунке, разрезают по прямым $SK$ и $KM$. При этом прямая $SK$ составляет с верхней стороной квадрата угол $70^\circ$, а разрез $KM$ делит угол $AKC$ пополам.

1) Определите, под каким углом к нижней стороне квадрата следует сделать разрез $KM$.

2) Определите углы полученных треугольников.

3) Найдите углы четырехугольника $KMBC$.

Задача 2. Квадратный отрезок материи со стороной 80 см нужно раскроить на 3 части, как показано на рисунке.

1) Составьте алгоритм выполнения задания.

2) Вырежьте из бумаги квадрат в масштабе $1 : 10$ к данному отрезку материи и сделайте раскрой этого квадрата согласно условию.

3) Найдите путем расчетов и непосредственным измерением углы каждой фигуры.

4) Вычислите периметр фигуры № 2.

Задача 3. Из прямоугольного листа фанеры вырезали треугольник $AMK$, как показано на рисунке. Затем его разрезали по высоте $ME$. Найдите все углы треугольника $AMK$, треугольника $AME$ и треугольника $KME$.

Решение 1. Реальная геометрия (с. 153)
Геометрия, 7 класс Учебник, автор: Казаков Валерий Владимирович, издательство Народная асвета, Минск, 2022, бирюзового цвета, страница 153, Решение 1 Геометрия, 7 класс Учебник, автор: Казаков Валерий Владимирович, издательство Народная асвета, Минск, 2022, бирюзового цвета, страница 153, Решение 1 (продолжение 2)
Решение 2. Реальная геометрия (с. 153)
Геометрия, 7 класс Учебник, автор: Казаков Валерий Владимирович, издательство Народная асвета, Минск, 2022, бирюзового цвета, страница 153, Решение 2 Геометрия, 7 класс Учебник, автор: Казаков Валерий Владимирович, издательство Народная асвета, Минск, 2022, бирюзового цвета, страница 153, Решение 2 (продолжение 2)
Решение 3. Реальная геометрия (с. 153)

Задача 1

Пусть $ABCD$ — квадратный лист картона. Углы квадрата равны $90^\circ$. Стороны $BC$ и $AD$ параллельны ($BC \parallel AD$).

По условию, прямая $CK$ составляет с верхней стороной $BC$ угол $70^\circ$, то есть $\angle BCK = 70^\circ$.

Так как $\angle BCD = 90^\circ$, мы можем найти угол $\angle DCK$:
$\angle DCK = \angle BCD - \angle BCK = 90^\circ - 70^\circ = 20^\circ$.

Рассмотрим прямоугольный треугольник $\triangle KCD$ (угол $\angle D = 90^\circ$). Сумма углов в треугольнике равна $180^\circ$, поэтому:
$\angle CKD = 180^\circ - 90^\circ - \angle DCK = 180^\circ - 90^\circ - 20^\circ = 70^\circ$.

Точка $K$ лежит на стороне $AD$, поэтому точки $A, K, D$ лежат на одной прямой. Углы $\angle AKC$ и $\angle CKD$ являются смежными, и их сумма равна $180^\circ$:
$\angle AKC + \angle CKD = 180^\circ$
$\angle AKC = 180^\circ - \angle CKD = 180^\circ - 70^\circ = 110^\circ$.

По условию, разрез $KM$ делит угол $AKC$ пополам, то есть $KM$ — биссектриса угла $AKC$. Следовательно:
$\angle AKM = \angle CKM = \frac{\angle AKC}{2} = \frac{110^\circ}{2} = 55^\circ$.

1) Определите, под каким углом к нижней стороне квадрата следует сделать разрез KM.

Угол разреза $KM$ к нижней стороне квадрата $AD$ — это угол $\angle AKM$.
Как мы вычислили выше, $\angle AKM = 55^\circ$.

Ответ: Разрез $KM$ следует сделать под углом $55^\circ$ к нижней стороне квадрата.

2) Определите углы полученных треугольников.

В результате разрезов образовались треугольники $\triangle AMK$ и $\triangle KCD$.

Для треугольника $\triangle KCD$:
$\angle D = 90^\circ$ (угол квадрата).
$\angle DCK = 20^\circ$ (вычислено ранее).
$\angle CKD = 70^\circ$ (вычислено ранее).

Для треугольника $\triangle AMK$:
$\angle A = 90^\circ$ (угол квадрата).
$\angle AKM = 55^\circ$ (вычислено ранее).
$\angle AMK = 180^\circ - 90^\circ - 55^\circ = 35^\circ$.

Ответ: Углы треугольника $\triangle KCD$ равны $90^\circ, 70^\circ, 20^\circ$. Углы треугольника $\triangle AMK$ равны $90^\circ, 55^\circ, 35^\circ$.

3) Найдите углы четырехугольника KMBC.

Четырехугольник $KMBC$ имеет вершины $K, M, B, C$. Найдем его внутренние углы.

Угол при вершине $B$: $\angle CBM = \angle B = 90^\circ$ (угол квадрата).

Угол при вершине $C$: $\angle BCK = 70^\circ$ (по условию).

Угол при вершине $M$: $\angle KMB$. Точки $A, M, B$ лежат на одной прямой, поэтому угол $\angle AMB$ является развернутым ($180^\circ$). Угол $\angle KMB$ является смежным с углом $\angle AMK$.
$\angle KMB = 180^\circ - \angle AMK = 180^\circ - 35^\circ = 145^\circ$.

Угол при вершине $K$: $\angle CKM = 55^\circ$ (так как $KM$ - биссектриса $\angle AKC$).

Проверим сумму углов: $90^\circ + 70^\circ + 145^\circ + 55^\circ = 360^\circ$.

Ответ: Углы четырехугольника $KMBC$ равны: $\angle K = 55^\circ$, $\angle M = 145^\circ$, $\angle B = 90^\circ$, $\angle C = 70^\circ$.


Задача 2

Пусть дан квадрат $ABCD$ со стороной $s = 80$ см (A - левый нижний угол, B - правый нижний, C - правый верхний, D - левый верхний). Согласно рисунку, на нижней стороне $AB$ выбрана точка $P$, из которой проведены разрезы к вершинам $D$ и $C$. Квадрат делится на три фигуры: $\triangle ADP$ (№1), $\triangle DPC$ (№2), $\triangle PBC$ (№3).

Углы, указанные на схеме, можно интерпретировать как $\angle APD = 60^\circ$ и $\angle BPC = 30^\circ$. Проверим, возможна ли такая конфигурация в квадрате.

В прямоугольном треугольнике $\triangle ADP$: $AP = \frac{AD}{\tan(\angle APD)} = \frac{80}{\tan(60^\circ)} = \frac{80}{\sqrt{3}}$ см.
В прямоугольном треугольнике $\triangle PBC$: $PB = \frac{BC}{\tan(\angle BPC)} = \frac{80}{\tan(30^\circ)} = \frac{80}{1/\sqrt{3}} = 80\sqrt{3}$ см.
Длина стороны $AB$ должна быть равна $AP + PB$:
$AB = \frac{80}{\sqrt{3}} + 80\sqrt{3} = 80 \left(\frac{1}{\sqrt{3}} + \sqrt{3}\right) = 80 \left(\frac{1+3}{\sqrt{3}}\right) = \frac{320}{\sqrt{3}} \approx 184.75$ см.

Это противоречит условию, что сторона квадрата равна $80$ см. Таким образом, условие задачи в заданном виде некорректно, так как указанные углы геометрически невозможны для квадрата.

Для выполнения задания примем, что верен один из углов, например, $\angle APD = 60^\circ$, а второй угол ($\angle BPC$) и связанные с ним размеры будут вычислены исходя из этого предположения.

1) Составьте алгоритм выполнения задания.

  1. Взять квадратный отрез материи со стороной $80$ см.
  2. На одной из сторон (например, нижней, $AB$) найти точку $P$. Для этого отложить от угла $A$ расстояние $AP = \frac{80}{\tan(60^\circ)} = \frac{80}{\sqrt{3}} \approx 46.19$ см.
  3. Сделать прямой разрез от точки $P$ до вершины $D$.
  4. Сделать прямой разрез от точки $P$ до вершины $C$.

Ответ: Алгоритм описан выше.

2) Вырежьте из бумаги квадрат в масштабе 1 : 10 к данному отрезу материи и сделайте раскрой этого квадрата согласно условию.

Это практическое задание. Для его выполнения нужно взять лист бумаги, вырезать квадрат со стороной $8$ см (масштаб 1:10 от $80$ см). Затем на нижней стороне отложить от левого угла отрезок длиной $\frac{8}{\sqrt{3}} \approx 4.6$ см, поставить точку и соединить ее разрезами с двумя верхними углами квадрата.

3) Найдите путем расчетов и непосредственным измерением углы каждой фигуры.

Выполним расчеты на основе предположения, что $\angle APD = 60^\circ$.
$AP = \frac{80}{\sqrt{3}}$ см. $PB = 80 - \frac{80}{\sqrt{3}}$ см.

Фигура №1 ($\triangle ADP$):
$\angle DAP = 90^\circ$
$\angle APD = 60^\circ$ (по предположению)
$\angle ADP = 180^\circ - 90^\circ - 60^\circ = 30^\circ$

Фигура №3 ($\triangle PBC$):
$\angle PBC = 90^\circ$
$\tan(\angle BPC) = \frac{BC}{PB} = \frac{80}{80 - 80/\sqrt{3}} = \frac{1}{1 - 1/\sqrt{3}} = \frac{\sqrt{3}}{\sqrt{3}-1} = \frac{\sqrt{3}(\sqrt{3}+1)}{2} = \frac{3+\sqrt{3}}{2} \approx 2.366$
$\angle BPC = \arctan\left(\frac{3+\sqrt{3}}{2}\right) \approx 67.1^\circ$
$\angle BCP = 180^\circ - 90^\circ - 67.1^\circ = 22.9^\circ$

Фигура №2 ($\triangle DPC$):
$\angle DPC = 180^\circ - \angle APD - \angle BPC = 180^\circ - 60^\circ - 67.1^\circ = 52.9^\circ$
Углы при вершинах $D$ и $C$ квадрата равны $90^\circ$.
$\angle PDC = \angle ADC - \angle ADP = 90^\circ - 30^\circ = 60^\circ$
$\angle PCD = \angle BCD - \angle BCP = 90^\circ - 22.9^\circ = 67.1^\circ$
Проверка: $52.9^\circ + 60^\circ + 67.1^\circ = 180^\circ$.

Ответ: Углы фигуры №1: $90^\circ, 60^\circ, 30^\circ$. Углы фигуры №2: $\approx 52.9^\circ, \approx 60^\circ, \approx 67.1^\circ$. Углы фигуры №3: $90^\circ, \approx 67.1^\circ, \approx 22.9^\circ$.

4) Вычислите периметр фигуры № 2.

Периметр $\triangle DPC$ равен сумме длин его сторон: $P = DC + PD + PC$.
$DC = 80$ см.
Из $\triangle ADP$: $PD = \frac{AD}{\sin(\angle APD)} = \frac{80}{\sin(60^\circ)} = \frac{80}{\sqrt{3}/2} = \frac{160}{\sqrt{3}} \approx 92.38$ см.
Из $\triangle PBC$: $PC = \frac{BC}{\sin(\angle BPC)} = \frac{80}{\sin(67.1^\circ)} \approx \frac{80}{0.921} \approx 86.86$ см.
$P \approx 80 + 92.38 + 86.86 = 259.24$ см.

Ответ: Периметр фигуры № 2 составляет примерно $259.24$ см.


Задача 3

Рассмотрим треугольник $AMK$. По условию даны два его угла: $\angle MAK = 40^\circ$ и $\angle MKA = 70^\circ$.

Сумма углов в треугольнике равна $180^\circ$, поэтому третий угол $\angle AMK$ равен:
$\angle AMK = 180^\circ - \angle MAK - \angle MKA = 180^\circ - 40^\circ - 70^\circ = 70^\circ$.

Треугольник разрезали по высоте $ME$, проведенной к стороне $AK$. Это означает, что $ME \perp AK$, и у нас образуются два прямоугольных треугольника: $\triangle AME$ и $\triangle KME$.

Найдем углы в этих треугольниках.

В треугольнике $\triangle AME$:
$\angle AEM = 90^\circ$ (так как $ME$ — высота).
$\angle MAE = \angle MAK = 40^\circ$.
$\angle AME = 180^\circ - 90^\circ - 40^\circ = 50^\circ$.

В треугольнике $\triangle KME$:
$\angle KEM = 90^\circ$ (так как $ME$ — высота).
$\angle MKE = \angle MKA = 70^\circ$.
$\angle KME = 180^\circ - 90^\circ - 70^\circ = 20^\circ$.

(Угол $\angle TMK = 30^\circ$, показанный на рисунке, относится к расположению треугольника на листе фанеры и не требуется для нахождения углов самих треугольников).

Ответ:

  • Углы треугольника $AMK$: $40^\circ, 70^\circ, 70^\circ$.
  • Углы треугольника $AME$: $40^\circ, 50^\circ, 90^\circ$.
  • Углы треугольника $KME$: $20^\circ, 70^\circ, 90^\circ$.

Помогло решение? Оставьте отзыв в комментариях ниже.

Присоединяйтесь к Телеграм-группе @gdz_by_belarus

Присоединиться

Мы подготовили для вас ответ c подробным объяснением домашего задания по геометрии за 7 класс, для упражнения Реальная геометрия расположенного на странице 153 к учебнику 2022 года издания для учащихся школ и гимназий.

Теперь на нашем сайте ГДЗ.ТОП вы всегда легко и бесплатно найдёте условие с правильным ответом на вопрос «Как решить ДЗ» и «Как сделать» задание по геометрии к упражнению Реальная геометрия (с. 153), автора: Казаков (Валерий Владимирович), учебного пособия издательства Народная асвета.