Номер 4.12, страница 259 - гдз по алгебре 7 класс учебник Арефьева, Пирютко

Алгебра, 7 класс Учебник, авторы: Арефьева Ирина Глебовна, Пирютко Ольга Николаевна, издательство Народная асвета, Минск, 2022, зелёного цвета

Авторы: Арефьева И. Г., Пирютко О. Н.

Тип: Учебник

Издательство: Народная асвета

Год издания: 2022 - 2026

Цвет обложки: зелёный с графиком

ISBN: ISBN 978-985-03-3770-2

Допущено Министерством образования Республики Беларусь

Популярные ГДЗ в 7 классе

Глава 4. Системы двух линейных уравнений с двумя переменными. Параграф 21. Линейное уравнение с двумя переменными - номер 4.12, страница 259.

№4.12 (с. 259)
Условие. №4.12 (с. 259)
скриншот условия
Алгебра, 7 класс Учебник, авторы: Арефьева Ирина Глебовна, Пирютко Ольга Николаевна, издательство Народная асвета, Минск, 2022, зелёного цвета, страница 259, номер 4.12, Условие

4.12. Выразите y через x в уравнении:

а) $5x - y = -3;$

б) $x - 9y = 1;$

в) $0,4x - 2y = 1,2;$

г) $\frac{1}{7}x - 0,2y = -1;$

д) $\frac{x}{3} + \frac{y}{6} = 15;$

е) $0,3x + \frac{2}{7}y = -6.$

Для каждого уравнения найдите два каких-либо его решения.

Решение. №4.12 (с. 259)
Алгебра, 7 класс Учебник, авторы: Арефьева Ирина Глебовна, Пирютко Ольга Николаевна, издательство Народная асвета, Минск, 2022, зелёного цвета, страница 259, номер 4.12, Решение Алгебра, 7 класс Учебник, авторы: Арефьева Ирина Глебовна, Пирютко Ольга Николаевна, издательство Народная асвета, Минск, 2022, зелёного цвета, страница 259, номер 4.12, Решение (продолжение 2)
Решение 2. №4.12 (с. 259)

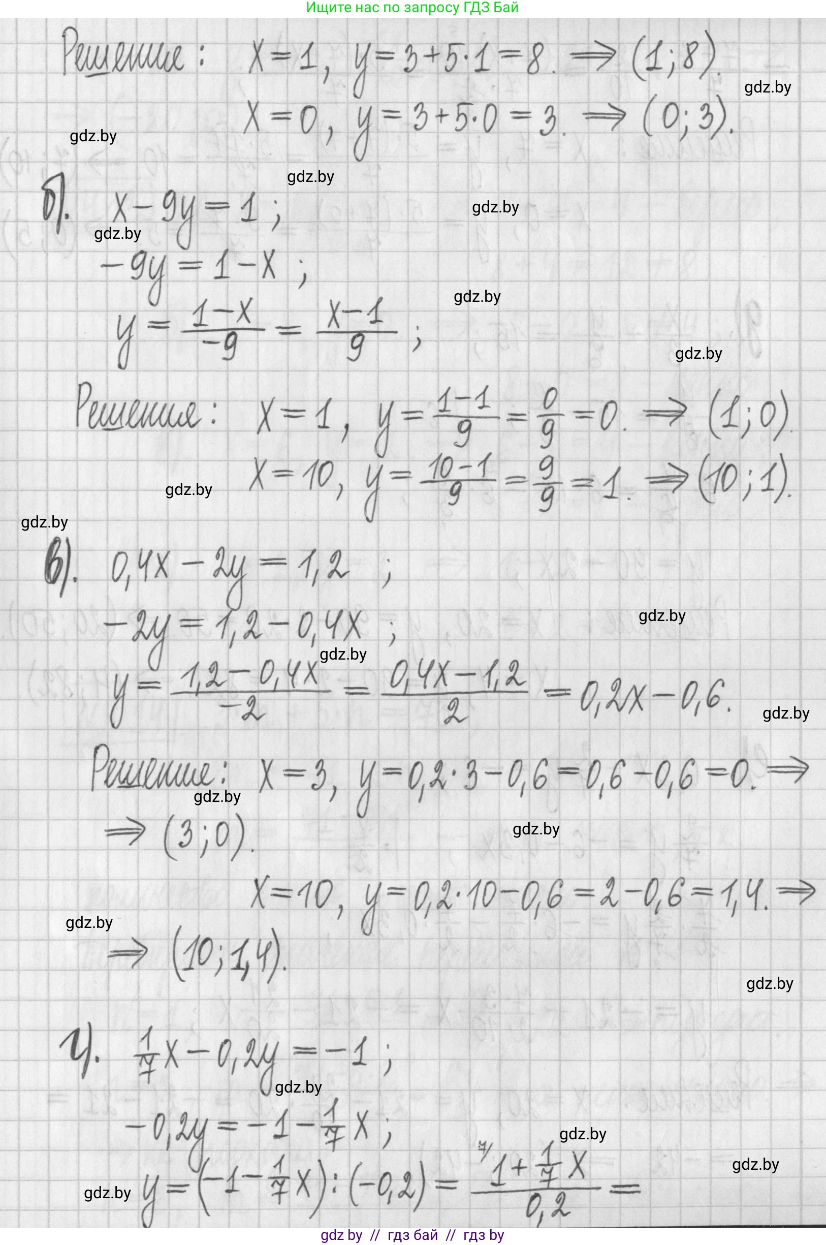
а) Дано уравнение: $5x - y = -3$.
Чтобы выразить $y$ через $x$, перенесем член с $y$ в одну сторону, а остальные члены в другую:
$-y = -5x - 3$
Умножим обе части на -1:
$y = 5x + 3$
Теперь найдем два решения. Для этого выберем произвольные значения $x$ и вычислим соответствующие значения $y$.
1. Пусть $x = 0$. Тогда $y = 5 \cdot 0 + 3 = 3$. Первое решение: $(0; 3)$.
2. Пусть $x = 1$. Тогда $y = 5 \cdot 1 + 3 = 8$. Второе решение: $(1; 8)$.
Ответ: $y = 5x + 3$. Решения: $(0; 3)$ и $(1; 8)$.

б) Дано уравнение: $x - 9y = 1$.
Выразим $y$ через $x$:
$-9y = 1 - x$
$9y = x - 1$
$y = \frac{x - 1}{9}$
Найдем два решения:
1. Пусть $x = 1$. Тогда $y = \frac{1 - 1}{9} = \frac{0}{9} = 0$. Первое решение: $(1; 0)$.
2. Пусть $x = 10$. Тогда $y = \frac{10 - 1}{9} = \frac{9}{9} = 1$. Второе решение: $(10; 1)$.
Ответ: $y = \frac{x - 1}{9}$. Решения: $(1; 0)$ и $(10; 1)$.

в) Дано уравнение: $0,4x - 2y = 1,2$.
Выразим $y$ через $x$:
$-2y = 1,2 - 0,4x$
Разделим обе части на -2:
$y = \frac{1,2 - 0,4x}{-2}$
$y = -0,6 + 0,2x$
$y = 0,2x - 0,6$
Найдем два решения:
1. Пусть $x = 3$. Тогда $y = 0,2 \cdot 3 - 0,6 = 0,6 - 0,6 = 0$. Первое решение: $(3; 0)$.
2. Пусть $x = 0$. Тогда $y = 0,2 \cdot 0 - 0,6 = -0,6$. Второе решение: $(0; -0,6)$.
Ответ: $y = 0,2x - 0,6$. Решения: $(3; 0)$ и $(0; -0,6)$.

г) Дано уравнение: $\frac{1}{7}x - 0,2y = -1$.
Сначала представим десятичную дробь $0,2$ в виде обыкновенной: $0,2 = \frac{2}{10} = \frac{1}{5}$.
Уравнение примет вид: $\frac{1}{7}x - \frac{1}{5}y = -1$.
Выразим $y$ через $x$:
$-\frac{1}{5}y = -1 - \frac{1}{7}x$
Умножим обе части на -5:
$y = -5(-1 - \frac{1}{7}x)$
$y = 5 + \frac{5}{7}x$
Найдем два решения:
1. Пусть $x = 0$. Тогда $y = 5 + \frac{5}{7} \cdot 0 = 5$. Первое решение: $(0; 5)$.
2. Пусть $x = 7$. Тогда $y = 5 + \frac{5}{7} \cdot 7 = 5 + 5 = 10$. Второе решение: $(7; 10)$.
Ответ: $y = \frac{5}{7}x + 5$. Решения: $(0; 5)$ и $(7; 10)$.

д) Дано уравнение: $\frac{x}{3} + \frac{y}{6} = 15$.
Чтобы избавиться от знаменателей, умножим обе части уравнения на наименьший общий знаменатель, который равен 6:
$6 \cdot (\frac{x}{3}) + 6 \cdot (\frac{y}{6}) = 6 \cdot 15$
$2x + y = 90$
Выразим $y$ через $x$:
$y = 90 - 2x$
Найдем два решения:
1. Пусть $x = 0$. Тогда $y = 90 - 2 \cdot 0 = 90$. Первое решение: $(0; 90)$.
2. Пусть $x = 45$. Тогда $y = 90 - 2 \cdot 45 = 90 - 90 = 0$. Второе решение: $(45; 0)$.
Ответ: $y = 90 - 2x$. Решения: $(0; 90)$ и $(45; 0)$.

е) Дано уравнение: $0,3x + \frac{2}{7}y = -6$.
Представим $0,3$ в виде дроби: $0,3 = \frac{3}{10}$.
Уравнение примет вид: $\frac{3}{10}x + \frac{2}{7}y = -6$.
Выразим $y$ через $x$:
$\frac{2}{7}y = -6 - \frac{3}{10}x$
Умножим обе части на $\frac{7}{2}$:
$y = \frac{7}{2} \cdot (-6 - \frac{3}{10}x)$
$y = -\frac{42}{2} - \frac{21}{20}x$
$y = -21 - \frac{21}{20}x$
Преобразуем неправильную дробь $\frac{21}{20}$ в смешанное число: $\frac{21}{20} = 1\frac{1}{20}$.
$y = -21 - 1\frac{1}{20}x$
Найдем два решения:
1. Пусть $x = 0$. Тогда $y = -21 - \frac{21}{20} \cdot 0 = -21$. Первое решение: $(0; -21)$.
2. Пусть $x = -20$. Тогда $y = -21 - \frac{21}{20} \cdot (-20) = -21 + 21 = 0$. Второе решение: $(-20; 0)$.
Ответ: $y = -21 - 1\frac{1}{20}x$. Решения: $(0; -21)$ и $(-20; 0)$.

Помогло решение? Оставьте отзыв в комментариях ниже.

Присоединяйтесь к Телеграм-группе @gdz_by_belarus

Присоединиться

Мы подготовили для вас ответ c подробным объяснением домашего задания по алгебре за 7 класс, для упражнения номер 4.12 расположенного на странице 259 к учебнику 2022 года издания для учащихся школ и гимназий.

Теперь на нашем сайте ГДЗ.ТОП вы всегда легко и бесплатно найдёте условие с правильным ответом на вопрос «Как решить ДЗ» и «Как сделать» задание по алгебре к упражнению №4.12 (с. 259), авторов: Арефьева (Ирина Глебовна), Пирютко (Ольга Николаевна), учебного пособия издательства Народная асвета.