Номер 10, страница 253 - гдз по алгебре 7 класс учебник Арефьева, Пирютко
Авторы: Арефьева И. Г., Пирютко О. Н.
Тип: Учебник
Издательство: Народная асвета
Год издания: 2022 - 2026
Цвет обложки: зелёный с графиком
ISBN: ISBN 978-985-03-3770-2
Допущено Министерством образования Республики Беларусь
Популярные ГДЗ в 7 классе
Глава 3. Линейные уравнения. Линейные неравенства. Линейная функция. Я проверяю свои знания - номер 10, страница 253.
№10 (с. 253)
Условие. №10 (с. 253)
скриншот условия
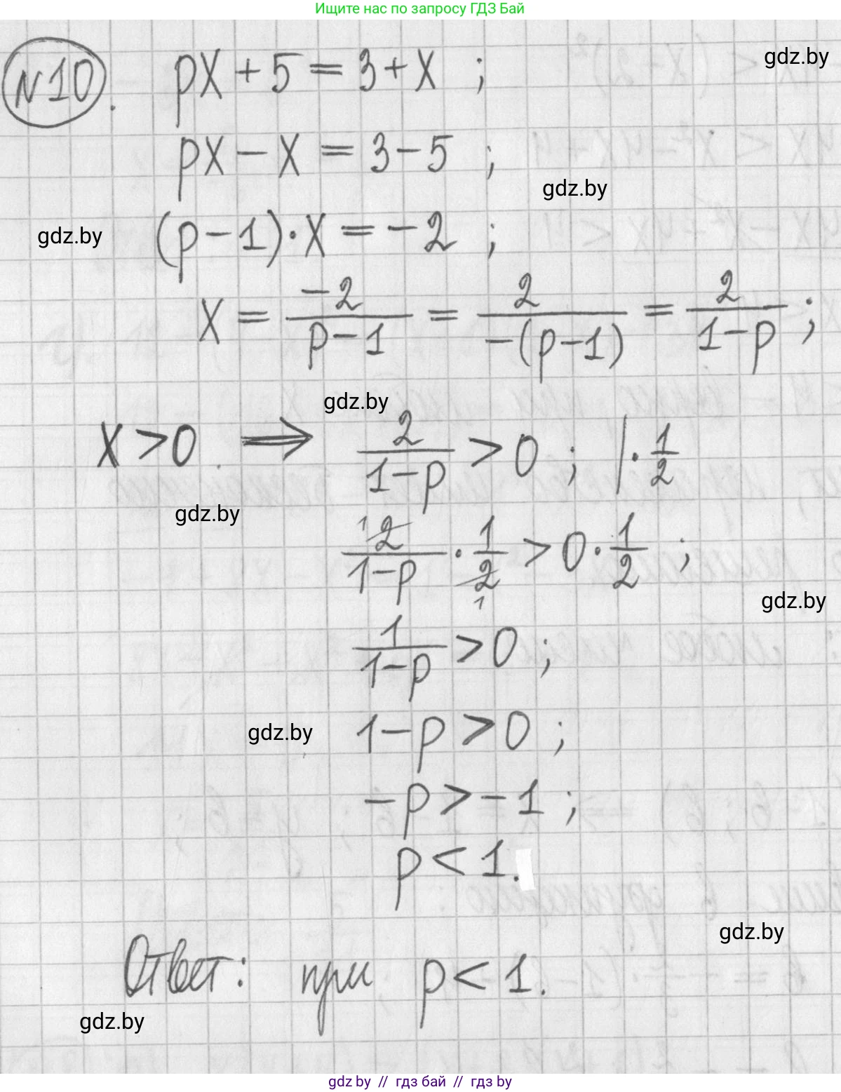
10. Найдите, при каких значениях $p$ уравнение $px + 5 = 3 + x$ имеет положительный корень.
Решение. №10 (с. 253)
Решение 2. №10 (с. 253)
10. Найдите, при каких значениях p уравнение $px + 5 = 3 + x$ имеет положительный корень.
Для решения задачи необходимо найти корень уравнения и определить, при каких значениях параметра $p$ он будет положительным.
1. Преобразуем исходное уравнение. Перенесем все слагаемые с переменной $x$ в левую часть, а свободные члены — в правую:
$px - x = 3 - 5$
Вынесем $x$ за скобки:
$(p - 1)x = -2$
2. Данное уравнение является линейным. Рассмотрим два случая:
- Если коэффициент при $x$ равен нулю, то есть $p - 1 = 0 \implies p = 1$. Уравнение принимает вид $0 \cdot x = -2$. Это равенство неверно ни при каком значении $x$, следовательно, при $p=1$ уравнение не имеет корней.
- Если коэффициент при $x$ не равен нулю, то есть $p - 1 \neq 0 \implies p \neq 1$. В этом случае уравнение имеет единственный корень, который можно выразить следующим образом:
$x = \frac{-2}{p - 1}$
3. По условию задачи, корень $x$ должен быть положительным, то есть $x > 0$. Составим и решим соответствующее неравенство:
$\frac{-2}{p - 1} > 0$
Дробь будет положительной тогда и только тогда, когда ее числитель и знаменатель имеют одинаковые знаки. Поскольку числитель (-2) является отрицательным числом, то и знаменатель $(p - 1)$ также должен быть отрицательным:
$p - 1 < 0$
Решая это простое неравенство, получаем:
$p < 1$
Таким образом, для того чтобы уравнение имело положительный корень, должно выполняться условие $p < 1$.
Ответ: уравнение имеет положительный корень при $p \in (-\infty; 1)$.
Другие задания:
Помогло решение? Оставьте отзыв в комментариях ниже.
Присоединяйтесь к Телеграм-группе @gdz_by_belarus
ПрисоединитьсяМы подготовили для вас ответ c подробным объяснением домашего задания по алгебре за 7 класс, для упражнения номер 10 расположенного на странице 253 к учебнику 2022 года издания для учащихся школ и гимназий.
Теперь на нашем сайте ГДЗ.ТОП вы всегда легко и бесплатно найдёте условие с правильным ответом на вопрос «Как решить ДЗ» и «Как сделать» задание по алгебре к упражнению №10 (с. 253), авторов: Арефьева (Ирина Глебовна), Пирютко (Ольга Николаевна), учебного пособия издательства Народная асвета.