Номер 3.396, страница 250 - гдз по алгебре 7 класс учебник Арефьева, Пирютко

Алгебра, 7 класс Учебник, авторы: Арефьева Ирина Глебовна, Пирютко Ольга Николаевна, издательство Народная асвета, Минск, 2022, зелёного цвета

Авторы: Арефьева И. Г., Пирютко О. Н.

Тип: Учебник

Издательство: Народная асвета

Год издания: 2022 - 2026

Цвет обложки: зелёный с графиком

ISBN: ISBN 978-985-03-3770-2

Допущено Министерством образования Республики Беларусь

Популярные ГДЗ в 7 классе

Глава 3. Линейные уравнения. Линейные неравенства. Линейная функция. Практическая математика - номер 3.396, страница 250.

№3.396 (с. 250)
Условие. №3.396 (с. 250)
скриншот условия
Алгебра, 7 класс Учебник, авторы: Арефьева Ирина Глебовна, Пирютко Ольга Николаевна, издательство Народная асвета, Минск, 2022, зелёного цвета, страница 250, номер 3.396, Условие Алгебра, 7 класс Учебник, авторы: Арефьева Ирина Глебовна, Пирютко Ольга Николаевна, издательство Народная асвета, Минск, 2022, зелёного цвета, страница 250, номер 3.396, Условие (продолжение 2)

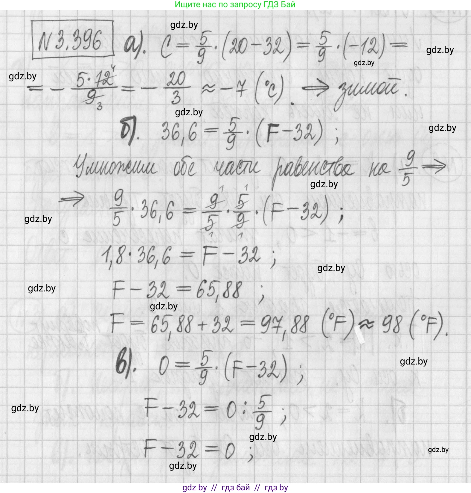
3.396. В некоторых странах мира для измерения температуры пользуются шкалой Фаренгейта. Для перевода температуры из шкалы Фаренгейта в шкалу Цельсия пользуются формулой $C = \frac{5}{9}(F - 32)$, где $F$ — температура по Фаренгейту, а $C$ — температура по Цельсию.

Выясните:

а) в какой сезон года температура могла быть равна $20^\circ F$;

б) нормальную температуру человеческого тела ($36,6^\circ C$) по Фаренгейту;

в) точку таяния льда по Фаренгейту.

Решение. №3.396 (с. 250)
Алгебра, 7 класс Учебник, авторы: Арефьева Ирина Глебовна, Пирютко Ольга Николаевна, издательство Народная асвета, Минск, 2022, зелёного цвета, страница 250, номер 3.396, Решение Алгебра, 7 класс Учебник, авторы: Арефьева Ирина Глебовна, Пирютко Ольга Николаевна, издательство Народная асвета, Минск, 2022, зелёного цвета, страница 250, номер 3.396, Решение (продолжение 2)
Решение 2. №3.396 (с. 250)

Для решения задачи воспользуемся предоставленной формулой для перевода температуры из шкалы Фаренгейта в шкалу Цельсия: $C = \frac{5}{9}(F - 32)$.

а) Чтобы выяснить, в какой сезон года температура могла быть равной $20 \text{°F}$, переведем это значение в градусы Цельсия. Подставим $F = 20$ в формулу:
$C = \frac{5}{9}(20 - 32) = \frac{5}{9}(-12) = -\frac{60}{9}$
Сократим дробь и выделим целую часть:
$C = -\frac{20}{3} = -6\frac{2}{3} \text{ °C}$
Температура около $-7 \text{ °C}$ характерна для зимнего времени года. В соответствии с инструкцией, мы должны выделить целую часть из полученной неправильной дроби $(-\frac{20}{3})$.
Ответ: **-6**.

б) Чтобы найти нормальную температуру человеческого тела ($36,6 \text{°C}$) по Фаренгейту, нам нужно выполнить обратный перевод. Для этого сначала выразим $F$ из исходной формулы:
$C = \frac{5}{9}(F - 32) \implies \frac{9}{5}C = F - 32 \implies F = \frac{9}{5}C + 32$
Теперь подставим значение $C = 36,6$. Для точности вычислений представим $36,6$ в виде обыкновенной дроби: $36,6 = \frac{366}{10} = \frac{183}{5}$.
$F = \frac{9}{5} \times \frac{183}{5} + 32 = \frac{1647}{25} + 32 = \frac{1647}{25} + \frac{800}{25} = \frac{2447}{25}$
Выделим целую часть из неправильной дроби $\frac{2447}{25}$. Разделив $2447$ на $25$, получим $97$ и остаток $22$. Таким образом, $F = 97\frac{22}{25} \text{ °F}$.
Ответ: **97**.

в) Точка таяния льда по шкале Цельсия равна $0 \text{ °C}$. Найдем соответствующее значение по шкале Фаренгейта, используя выведенную в пункте б) формулу $F = \frac{9}{5}C + 32$.
Подставим $C = 0$:
$F = \frac{9}{5} \times 0 + 32 = 0 + 32 = 32 \text{ °F}$
Температура таяния льда по Фаренгейту равна $32 \text{°F}$. Это целое число.
Ответ: **32**.

Помогло решение? Оставьте отзыв в комментариях ниже.

Присоединяйтесь к Телеграм-группе @gdz_by_belarus

Присоединиться

Мы подготовили для вас ответ c подробным объяснением домашего задания по алгебре за 7 класс, для упражнения номер 3.396 расположенного на странице 250 к учебнику 2022 года издания для учащихся школ и гимназий.

Теперь на нашем сайте ГДЗ.ТОП вы всегда легко и бесплатно найдёте условие с правильным ответом на вопрос «Как решить ДЗ» и «Как сделать» задание по алгебре к упражнению №3.396 (с. 250), авторов: Арефьева (Ирина Глебовна), Пирютко (Ольга Николаевна), учебного пособия издательства Народная асвета.