Номер 3.385, страница 249 - гдз по алгебре 7 класс учебник Арефьева, Пирютко

Алгебра, 7 класс Учебник, авторы: Арефьева Ирина Глебовна, Пирютко Ольга Николаевна, издательство Народная асвета, Минск, 2022, зелёного цвета

Авторы: Арефьева И. Г., Пирютко О. Н.

Тип: Учебник

Издательство: Народная асвета

Год издания: 2022 - 2026

Цвет обложки: зелёный с графиком

ISBN: ISBN 978-985-03-3770-2

Допущено Министерством образования Республики Беларусь

Популярные ГДЗ в 7 классе

Глава 3. Линейные уравнения. Линейные неравенства. Линейная функция. Параграф 20. Линейная функция и ее свойства - номер 3.385, страница 249.

№3.385 (с. 249)
Условие. №3.385 (с. 249)
скриншот условия
Алгебра, 7 класс Учебник, авторы: Арефьева Ирина Глебовна, Пирютко Ольга Николаевна, издательство Народная асвета, Минск, 2022, зелёного цвета, страница 249, номер 3.385, Условие

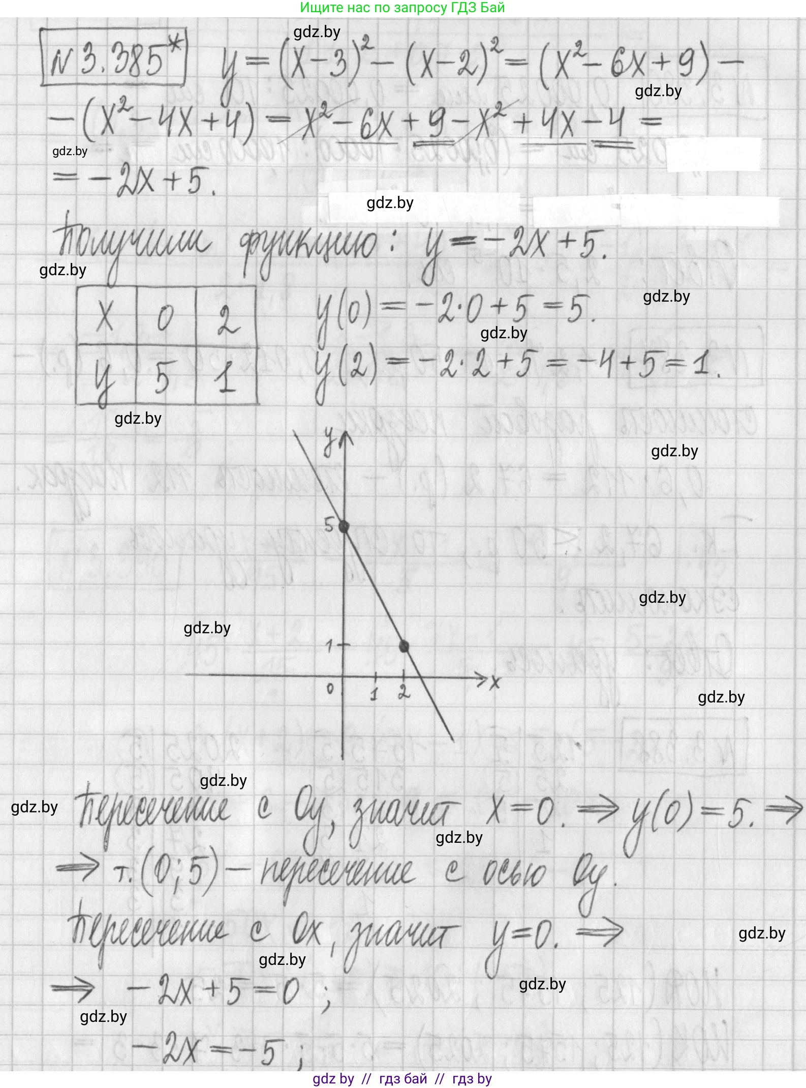
3.385*. Постройте график функции $y=(x-3)^2-(x-2)^2$. Найдите координаты точек пересечения графика этой функции с осями координат.

Решение. №3.385 (с. 249)
Алгебра, 7 класс Учебник, авторы: Арефьева Ирина Глебовна, Пирютко Ольга Николаевна, издательство Народная асвета, Минск, 2022, зелёного цвета, страница 249, номер 3.385, Решение Алгебра, 7 класс Учебник, авторы: Арефьева Ирина Глебовна, Пирютко Ольга Николаевна, издательство Народная асвета, Минск, 2022, зелёного цвета, страница 249, номер 3.385, Решение (продолжение 2)
Решение 2. №3.385 (с. 249)

Дана функция: $y = (x - 3)^2 - (x - 2)^2$.

Для начала, упростим выражение функции. Для этого воспользуемся формулой разности квадратов: $a^2 - b^2 = (a-b)(a+b)$.

$y = ((x-3) - (x-2)) \cdot ((x-3) + (x-2))$

$y = (x - 3 - x + 2) \cdot (x - 3 + x - 2)$

$y = (-1) \cdot (2x - 5)$

$y = -2x + 5$

Таким образом, данная функция является линейной, и её график — это прямая линия.

Постройте график функции y=(x-3)²-(x-2)²

Графиком функции $y = -2x + 5$ является прямая. Для её построения достаточно найти координаты двух любых точек.

  • При $x=0$, $y = -2 \cdot 0 + 5 = 5$. Первая точка: $(0, 5)$.
  • При $x=2$, $y = -2 \cdot 2 + 5 = -4 + 5 = 1$. Вторая точка: $(2, 1)$.

На координатной плоскости нужно отметить эти две точки и провести через них прямую.

Ответ: Графиком функции является прямая линия, проходящая через точки (0, 5) и (2, 1).

Найдите координаты точек пересечения графика этой функции с осями координат

Используем упрощенное уравнение $y = -2x + 5$.

1. Пересечение с осью ординат (осью Oy):

Для нахождения точки пересечения с осью Oy, подставляем $x=0$ в уравнение:

$y = -2(0) + 5 = 5$

Координаты точки пересечения с осью Oy: $(0, 5)$.

2. Пересечение с осью абсцисс (осью Ox):

Для нахождения точки пересечения с осью Ox, подставляем $y=0$ в уравнение:

$0 = -2x + 5$

$2x = 5$

$x = \frac{5}{2}$

Координаты точки пересечения с осью Ox: $(\frac{5}{2}, 0)$.

Ответ: Координаты точек пересечения: с осью Oy – $(0, 5)$; с осью Ox – $(\frac{5}{2}, 0)$. Координата $x$ точки пересечения с осью абсцисс, представленная в виде смешанной дроби: 2$\frac{1}{2}$.

Помогло решение? Оставьте отзыв в комментариях ниже.

Присоединяйтесь к Телеграм-группе @gdz_by_belarus

Присоединиться

Мы подготовили для вас ответ c подробным объяснением домашего задания по алгебре за 7 класс, для упражнения номер 3.385 расположенного на странице 249 к учебнику 2022 года издания для учащихся школ и гимназий.

Теперь на нашем сайте ГДЗ.ТОП вы всегда легко и бесплатно найдёте условие с правильным ответом на вопрос «Как решить ДЗ» и «Как сделать» задание по алгебре к упражнению №3.385 (с. 249), авторов: Арефьева (Ирина Глебовна), Пирютко (Ольга Николаевна), учебного пособия издательства Народная асвета.