Номер 3.351, страница 245 - гдз по алгебре 7 класс учебник Арефьева, Пирютко

Алгебра, 7 класс Учебник, авторы: Арефьева Ирина Глебовна, Пирютко Ольга Николаевна, издательство Народная асвета, Минск, 2022, зелёного цвета

Авторы: Арефьева И. Г., Пирютко О. Н.

Тип: Учебник

Издательство: Народная асвета

Год издания: 2022 - 2026

Цвет обложки: зелёный с графиком

ISBN: ISBN 978-985-03-3770-2

Допущено Министерством образования Республики Беларусь

Популярные ГДЗ в 7 классе

Глава 3. Линейные уравнения. Линейные неравенства. Линейная функция. Параграф 20. Линейная функция и ее свойства - номер 3.351, страница 245.

№3.351 (с. 245)
Условие. №3.351 (с. 245)
скриншот условия
Алгебра, 7 класс Учебник, авторы: Арефьева Ирина Глебовна, Пирютко Ольга Николаевна, издательство Народная асвета, Минск, 2022, зелёного цвета, страница 245, номер 3.351, Условие

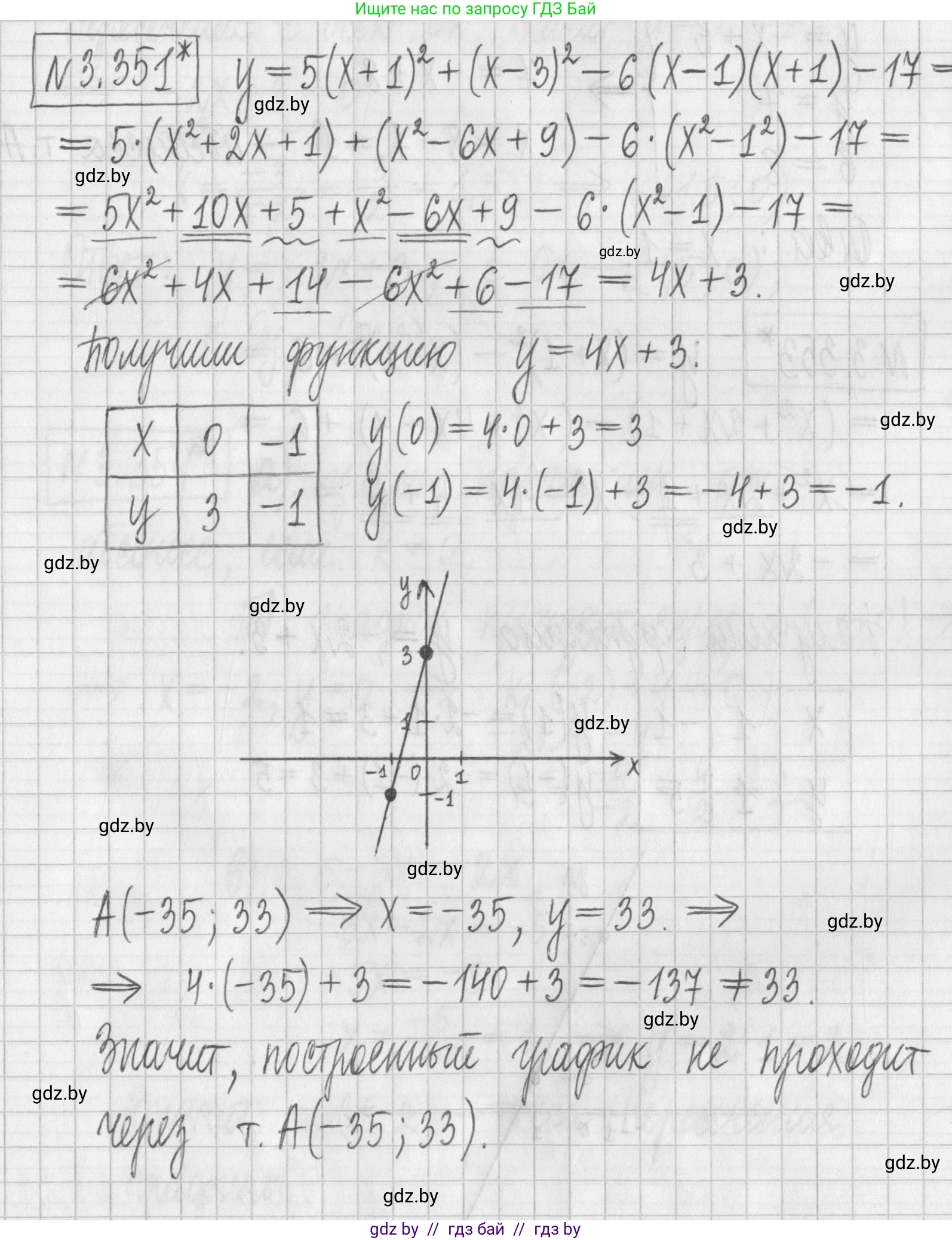
3.351*. Постройте график функции

$y=5(x+1)^2+(x-3)^2-6(x-1)(x+1)-17.$

Проходит ли построенный график через точку A(-35; 33)?

Решение. №3.351 (с. 245)
Алгебра, 7 класс Учебник, авторы: Арефьева Ирина Глебовна, Пирютко Ольга Николаевна, издательство Народная асвета, Минск, 2022, зелёного цвета, страница 245, номер 3.351, Решение
Решение 2. №3.351 (с. 245)

Для построения графика функции необходимо сначала упростить ее выражение. Для этого раскроем все скобки и приведем подобные слагаемые.

Исходная функция:

$y = 5(x+1)^2 + (x-3)^2 - 6(x-1)(x+1) - 17$

Используем формулы сокращенного умножения для раскрытия скобок:

$y = 5(x^2+2x+1) + (x^2-6x+9) - 6(x^2-1) - 17$

Раскрываем скобки, умножая на коэффициенты:

$y = 5x^2+10x+5 + x^2-6x+9 - 6x^2+6 - 17$

Теперь сгруппируем и приведем подобные слагаемые:

$y = (5x^2+x^2-6x^2) + (10x-6x) + (5+9+6-17)$

Выполняем вычисления в каждой группе:

$y = 0 \cdot x^2 + 4x + 3$

Таким образом, упрощенное уравнение функции имеет вид:

$y = 4x+3$

Это линейная функция, графиком которой является прямая. Для построения прямой достаточно найти координаты двух точек.

  1. Возьмем $x=0$, тогда $y = 4 \cdot 0 + 3 = 3$. Получаем точку $(0; 3)$.
  2. Возьмем $x=1$, тогда $y = 4 \cdot 1 + 3 = 7$. Получаем точку $(1; 7)$.

График функции — это прямая, проходящая через точки $(0; 3)$ и $(1; 7)$.

Ответ: Графиком функции является прямая $y=4x+3$.

Проходит ли построенный график через точку A(-35; 33)?

Чтобы определить, проходит ли график через точку A(-35; 33), необходимо подставить ее координаты в уравнение функции $y=4x+3$.

Подставляем $x = -35$ и $y = 33$ в уравнение:

$33 = 4(-35) + 3$

Выполняем вычисления в правой части:

$4 \cdot (-35) + 3 = -140 + 3 = -137$

Сравниваем левую и правую части:

$33 = -137$

Полученное равенство является ложным. Это означает, что точка A(-35; 33) не лежит на графике данной функции.

Ответ: Нет.

Помогло решение? Оставьте отзыв в комментариях ниже.

Присоединяйтесь к Телеграм-группе @gdz_by_belarus

Присоединиться

Мы подготовили для вас ответ c подробным объяснением домашего задания по алгебре за 7 класс, для упражнения номер 3.351 расположенного на странице 245 к учебнику 2022 года издания для учащихся школ и гимназий.

Теперь на нашем сайте ГДЗ.ТОП вы всегда легко и бесплатно найдёте условие с правильным ответом на вопрос «Как решить ДЗ» и «Как сделать» задание по алгебре к упражнению №3.351 (с. 245), авторов: Арефьева (Ирина Глебовна), Пирютко (Ольга Николаевна), учебного пособия издательства Народная асвета.