Номер 4.61, страница 268 - гдз по алгебре 7 класс учебник Арефьева, Пирютко

Алгебра, 7 класс Учебник, авторы: Арефьева Ирина Глебовна, Пирютко Ольга Николаевна, издательство Народная асвета, Минск, 2022, зелёного цвета

Авторы: Арефьева И. Г., Пирютко О. Н.

Тип: Учебник

Издательство: Народная асвета

Год издания: 2022 - 2026

Цвет обложки: зелёный с графиком

ISBN: ISBN 978-985-03-3770-2

Допущено Министерством образования Республики Беларусь

Популярные ГДЗ в 7 классе

Глава 4. Системы двух линейных уравнений с двумя переменными. Параграф 23. Система линейных уравнений с двумя переменными - номер 4.61, страница 268.

№4.61 (с. 268)
Условие. №4.61 (с. 268)
скриншот условия
Алгебра, 7 класс Учебник, авторы: Арефьева Ирина Глебовна, Пирютко Ольга Николаевна, издательство Народная асвета, Минск, 2022, зелёного цвета, страница 268, номер 4.61, Условие Алгебра, 7 класс Учебник, авторы: Арефьева Ирина Глебовна, Пирютко Ольга Николаевна, издательство Народная асвета, Минск, 2022, зелёного цвета, страница 268, номер 4.61, Условие (продолжение 2)

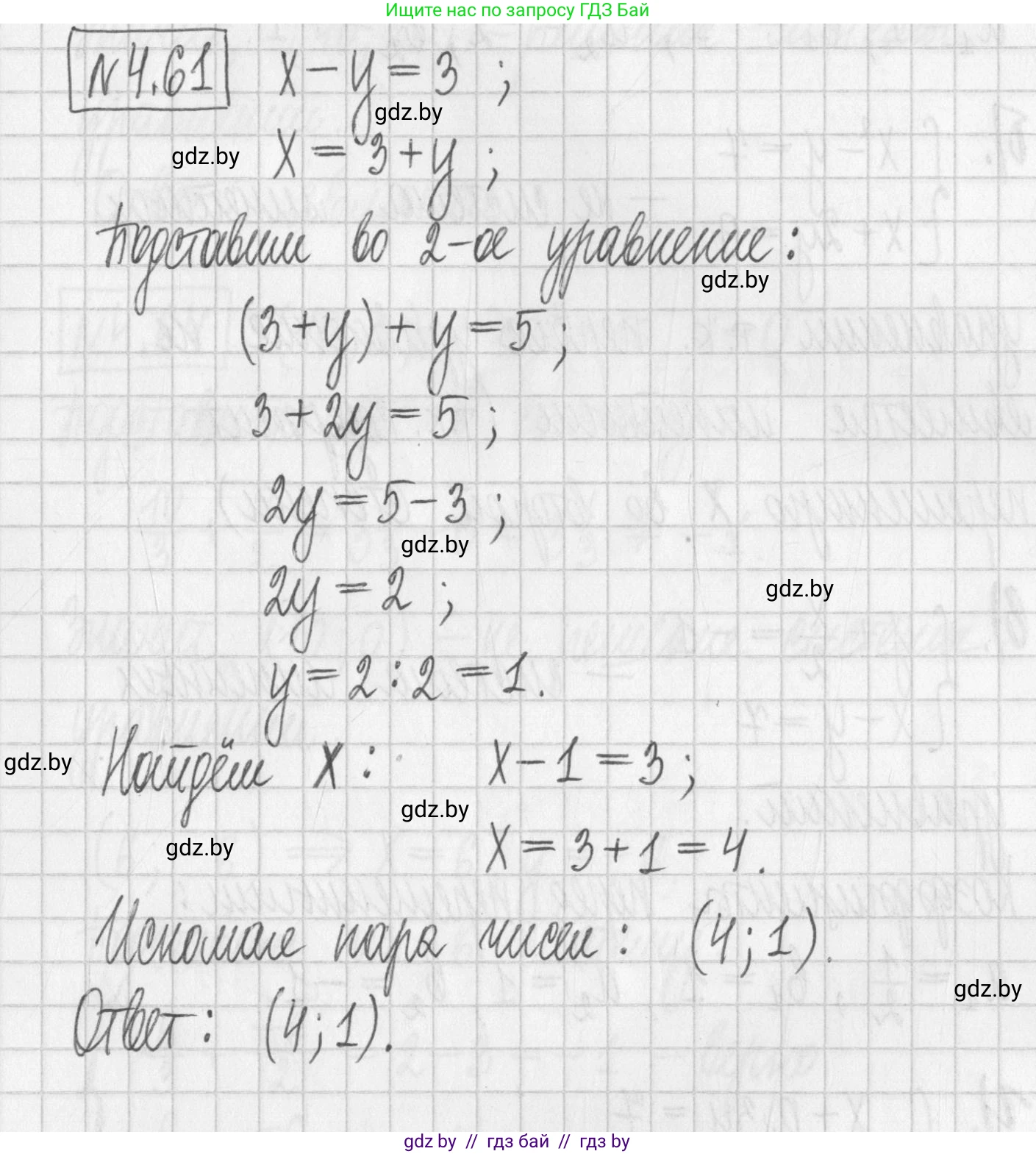
4.61. Даны два линейных уравнения с двумя переменными: $x - y = 3$ и $x + y = 5$. Найдите пару чисел, которая является решением и первого и второго уравнений.

Решение. №4.61 (с. 268)
Алгебра, 7 класс Учебник, авторы: Арефьева Ирина Глебовна, Пирютко Ольга Николаевна, издательство Народная асвета, Минск, 2022, зелёного цвета, страница 268, номер 4.61, Решение
Решение 2. №4.61 (с. 268)

Задача состоит в том, чтобы найти пару чисел $(x, y)$, которая одновременно удовлетворяет двум линейным уравнениям. Это эквивалентно решению системы линейных уравнений:

$ \begin{cases} x - y = 3 \\ x + y = 5 \end{cases} $

Для решения этой системы удобно использовать метод алгебраического сложения, так как коэффициенты при переменной $y$ являются противоположными числами ($-1$ и $+1$), что позволит исключить эту переменную при сложении уравнений.

Найдите пару чисел, которая является решением и первого и второго уравнений.

Шаг 1: Сложим левые и правые части первого и второго уравнений системы:
$(x - y) + (x + y) = 3 + 5$

Шаг 2: Упростим полученное уравнение. Раскроем скобки и приведем подобные слагаемые:
$x - y + x + y = 8$
$2x = 8$

Шаг 3: Найдем значение переменной $x$, разделив обе части уравнения на 2:
$x = \frac{8}{2}$
$x = 4$

Шаг 4: Подставим найденное значение $x=4$ в любое из исходных уравнений, чтобы найти $y$. Используем второе уравнение $x + y = 5$:
$4 + y = 5$

Шаг 5: Найдем значение переменной $y$:
$y = 5 - 4$
$y = 1$

Шаг 6: Проверим найденную пару чисел $(4, 1)$, подставив ее в оба исходных уравнения:
Первое уравнение: $4 - 1 = 3$ (верно).
Второе уравнение: $4 + 1 = 5$ (верно).
Следовательно, пара чисел $(4, 1)$ является решением для обоих уравнений.

Ответ: искомая пара чисел - (4, 1).

Помогло решение? Оставьте отзыв в комментариях ниже.

Присоединяйтесь к Телеграм-группе @gdz_by_belarus

Присоединиться

Мы подготовили для вас ответ c подробным объяснением домашего задания по алгебре за 7 класс, для упражнения номер 4.61 расположенного на странице 268 к учебнику 2022 года издания для учащихся школ и гимназий.

Теперь на нашем сайте ГДЗ.ТОП вы всегда легко и бесплатно найдёте условие с правильным ответом на вопрос «Как решить ДЗ» и «Как сделать» задание по алгебре к упражнению №4.61 (с. 268), авторов: Арефьева (Ирина Глебовна), Пирютко (Ольга Николаевна), учебного пособия издательства Народная асвета.