Номер 3.293, страница 223 - гдз по алгебре 7 класс учебник Арефьева, Пирютко

Алгебра, 7 класс Учебник, авторы: Арефьева Ирина Глебовна, Пирютко Ольга Николаевна, издательство Народная асвета, Минск, 2022, зелёного цвета

Авторы: Арефьева И. Г., Пирютко О. Н.

Тип: Учебник

Издательство: Народная асвета

Год издания: 2022 - 2026

Цвет обложки: зелёный с графиком

ISBN: ISBN 978-985-03-3770-2

Допущено Министерством образования Республики Беларусь

Популярные ГДЗ в 7 классе

Глава 3. Линейные уравнения. Линейные неравенства. Линейная функция. Параграф 19. Функция - номер 3.293, страница 223.

№3.293 (с. 223)
Условие. №3.293 (с. 223)
скриншот условия
Алгебра, 7 класс Учебник, авторы: Арефьева Ирина Глебовна, Пирютко Ольга Николаевна, издательство Народная асвета, Минск, 2022, зелёного цвета, страница 223, номер 3.293, Условие

3.293. Функция задана таблично.

$x$: 1, 2, 3, 4, 5, 6, 7

$f(x)$: 1, 4, 9, 16, 25, 36, 49

Найдите:

а) $D(f)$;

б) $E(f)$;

в) $f(1)$, $f(4)$, $f(7)$.

При каком значении аргумента значение функции равно 4; 25; 36? Какую закономерность можно установить между аргументом и функцией?

Решение. №3.293 (с. 223)
Алгебра, 7 класс Учебник, авторы: Арефьева Ирина Глебовна, Пирютко Ольга Николаевна, издательство Народная асвета, Минск, 2022, зелёного цвета, страница 223, номер 3.293, Решение
Решение 2. №3.293 (с. 223)

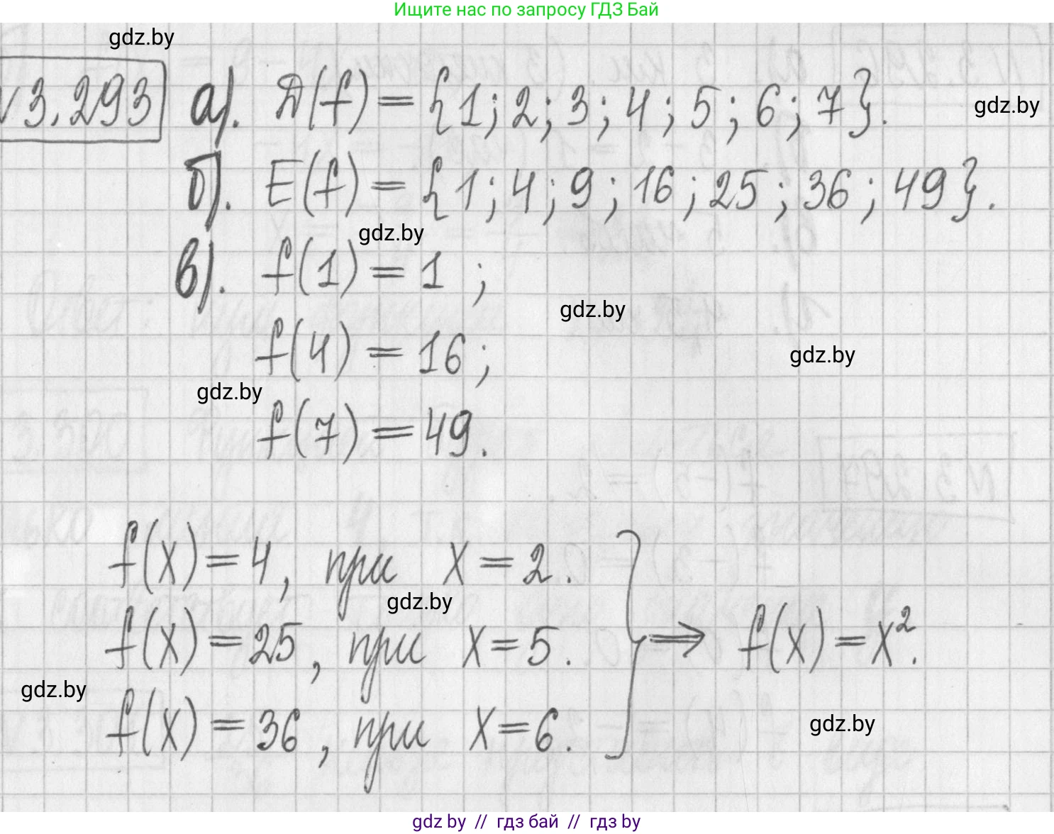
а) $D(f)$: Область определения функции $D(f)$ — это множество всех значений аргумента $x$. Согласно данным в таблице, аргумент $x$ принимает значения от 1 до 7.
Ответ: $D(f) = \{1, 2, 3, 4, 5, 6, 7\}$.

б) $E(f)$: Область значений функции $E(f)$ — это множество всех значений, которые принимает функция $f(x)$. Согласно данным в таблице, это множество чисел $\{1, 4, 9, 16, 25, 36, 49\}$.
Ответ: $E(f) = \{1, 4, 9, 16, 25, 36, 49\}$.

в) $f(1), f(4), f(7)$: Чтобы найти значения функции для указанных аргументов, необходимо посмотреть на соответствующие ячейки в таблице:

  • Для аргумента $x=1$, значение функции $f(1)=1$.
  • Для аргумента $x=4$, значение функции $f(4)=16$.
  • Для аргумента $x=7$, значение функции $f(7)=49$.

Ответ: $f(1) = 1$, $f(4) = 16$, $f(7) = 49$.

При каком значении аргумента значение функции равно 4; 25; 36?
Чтобы найти значение аргумента $x$ по известному значению функции $f(x)$, нужно найти это значение во второй строке таблицы и посмотреть, какому $x$ из первой строки оно соответствует:

  • Значение функции $f(x) = 4$ соответствует аргументу $x=2$.
  • Значение функции $f(x) = 25$ соответствует аргументу $x=5$.
  • Значение функции $f(x) = 36$ соответствует аргументу $x=6$.

Ответ: Значение функции равно 4 при $x=2$; равно 25 при $x=5$; равно 36 при $x=6$.

Какую закономерность можно установить между аргументом и функцией?
Проанализировав пары значений $(x, f(x))$ из таблицы, можно заметить, что каждое значение функции $f(x)$ является квадратом соответствующего значения аргумента $x$: $1^2=1$, $2^2=4$, $3^2=9$, $4^2=16$, $5^2=25$, $6^2=36$, $7^2=49$.
Ответ: Значение функции равно квадрату ее аргумента. Эту зависимость можно выразить формулой $f(x) = x^2$.

Помогло решение? Оставьте отзыв в комментариях ниже.

Присоединяйтесь к Телеграм-группе @gdz_by_belarus

Присоединиться

Мы подготовили для вас ответ c подробным объяснением домашего задания по алгебре за 7 класс, для упражнения номер 3.293 расположенного на странице 223 к учебнику 2022 года издания для учащихся школ и гимназий.

Теперь на нашем сайте ГДЗ.ТОП вы всегда легко и бесплатно найдёте условие с правильным ответом на вопрос «Как решить ДЗ» и «Как сделать» задание по алгебре к упражнению №3.293 (с. 223), авторов: Арефьева (Ирина Глебовна), Пирютко (Ольга Николаевна), учебного пособия издательства Народная асвета.