Номер 3.233, страница 201 - гдз по алгебре 7 класс учебник Арефьева, Пирютко

Алгебра, 7 класс Учебник, авторы: Арефьева Ирина Глебовна, Пирютко Ольга Николаевна, издательство Народная асвета, Минск, 2022, зелёного цвета

Авторы: Арефьева И. Г., Пирютко О. Н.

Тип: Учебник

Издательство: Народная асвета

Год издания: 2022 - 2026

Цвет обложки: зелёный с графиком

ISBN: ISBN 978-985-03-3770-2

Допущено Министерством образования Республики Беларусь

Популярные ГДЗ в 7 классе

Глава 3. Линейные уравнения. Линейные неравенства. Линейная функция. Параграф 18. Линейные неравенства с одной переменной - номер 3.233, страница 201.

№3.233 (с. 201)
Условие. №3.233 (с. 201)
скриншот условия
Алгебра, 7 класс Учебник, авторы: Арефьева Ирина Глебовна, Пирютко Ольга Николаевна, издательство Народная асвета, Минск, 2022, зелёного цвета, страница 201, номер 3.233, Условие

3.233. Решите неравенство:

а) $(x - 3)(x + 2) - (x - 3)^2 \geq 15x - 10;$

б) $(2x - 5)^2 - 0.5x < (2x - 1)(2x + 1) - 15;$

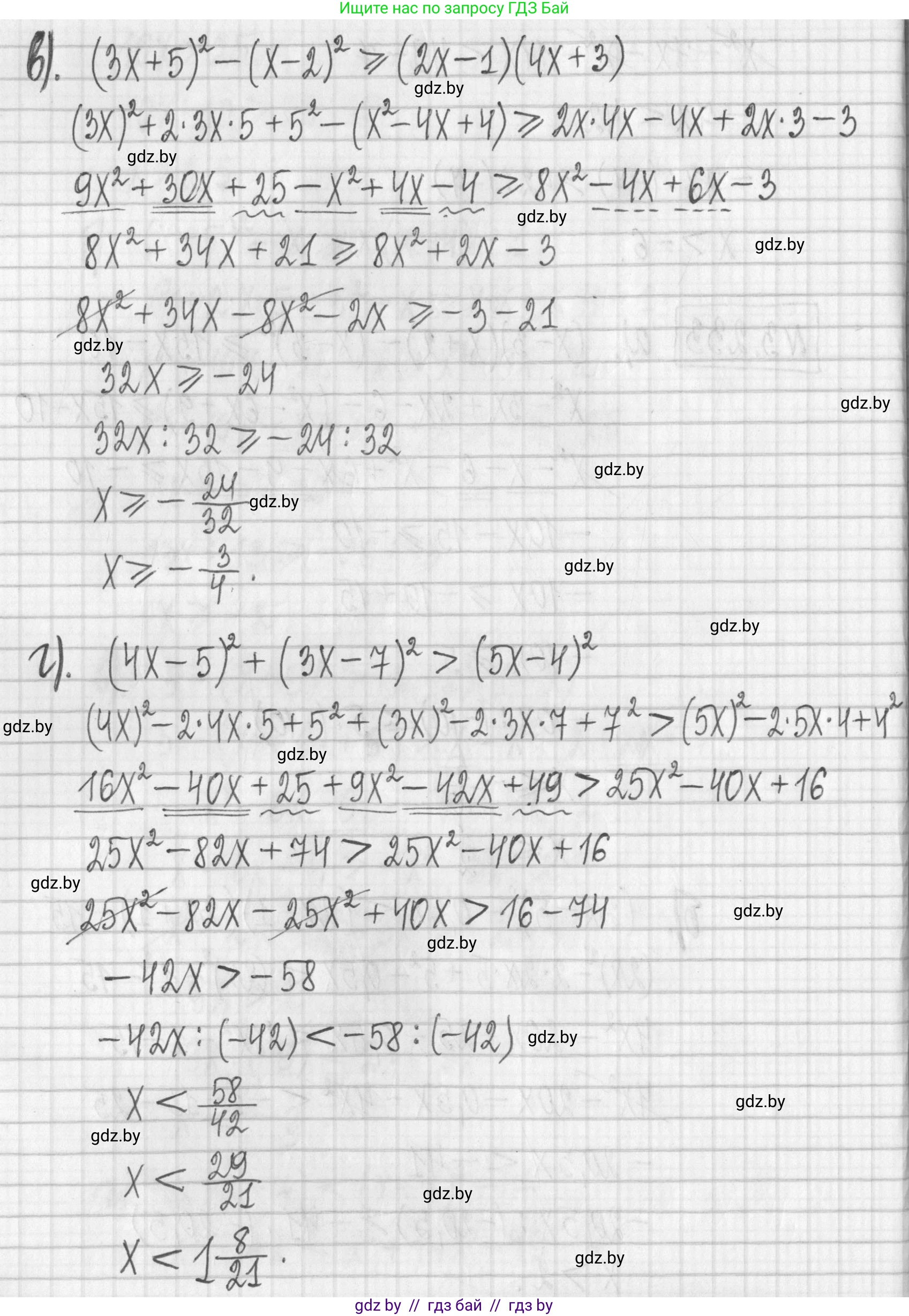
в) $(3x + 5)^2 - (x - 2)^2 \geq (2x - 1)(4x + 3);$

г) $(4x - 5)^2 + (3x - 7)^2 > (5x - 4)^2.$

Решение. №3.233 (с. 201)
Алгебра, 7 класс Учебник, авторы: Арефьева Ирина Глебовна, Пирютко Ольга Николаевна, издательство Народная асвета, Минск, 2022, зелёного цвета, страница 201, номер 3.233, Решение Алгебра, 7 класс Учебник, авторы: Арефьева Ирина Глебовна, Пирютко Ольга Николаевна, издательство Народная асвета, Минск, 2022, зелёного цвета, страница 201, номер 3.233, Решение (продолжение 2)
Решение 2. №3.233 (с. 201)

а) $(x - 3)(x + 2) - (x - 3)^2 \geq 15x - 10$

Сначала раскроем скобки в левой части неравенства. Для первого слагаемого перемножим многочлены, для второго используем формулу квадрата разности: $(a-b)^2 = a^2 - 2ab + b^2$.

$(x^2 + 2x - 3x - 6) - (x^2 - 2 \cdot x \cdot 3 + 3^2) \geq 15x - 10$

$(x^2 - x - 6) - (x^2 - 6x + 9) \geq 15x - 10$

Раскроем вторые скобки, меняя знаки на противоположные:

$x^2 - x - 6 - x^2 + 6x - 9 \geq 15x - 10$

Приведем подобные слагаемые в левой части:

$(x^2 - x^2) + (-x + 6x) + (-6 - 9) \geq 15x - 10$

$5x - 15 \geq 15x - 10$

Перенесем слагаемые, содержащие $x$, в левую часть, а свободные члены — в правую:

$5x - 15x \geq -10 + 15$

$-10x \geq 5$

Разделим обе части неравенства на $-10$. При делении на отрицательное число знак неравенства меняется на противоположный:

$x \leq \frac{5}{-10}$

$x \leq -\frac{1}{2}$

Ответ: $x \in (-\infty; -0,5]$.

б) $(2x - 5)^2 - 0,5x < (2x - 1)(2x + 1) - 15$

Раскроем скобки, используя формулу квадрата разности $(a-b)^2 = a^2 - 2ab + b^2$ и формулу разности квадратов $(a-b)(a+b) = a^2 - b^2$.

$(4x^2 - 2 \cdot 2x \cdot 5 + 25) - 0,5x < ( (2x)^2 - 1^2 ) - 15$

$4x^2 - 20x + 25 - 0,5x < 4x^2 - 1 - 15$

Приведем подобные слагаемые в обеих частях неравенства:

$4x^2 - 20,5x + 25 < 4x^2 - 16$

Вычтем $4x^2$ из обеих частей:

$-20,5x + 25 < -16$

Перенесем свободные члены в правую часть:

$-20,5x < -16 - 25$

$-20,5x < -41$

Разделим обе части на $-20,5$, не забывая изменить знак неравенства на противоположный:

$x > \frac{-41}{-20,5}$

$x > 2$

Ответ: $x \in (2; +\infty)$.

в) $(3x + 5)^2 - (x - 2)^2 \geq (2x - 1)(4x + 3)$

Раскроем скобки. В левой части используем формулы квадрата суммы и квадрата разности, в правой — умножим многочлены.

$(9x^2 + 30x + 25) - (x^2 - 4x + 4) \geq (8x^2 + 6x - 4x - 3)$

Упростим обе части неравенства:

$9x^2 + 30x + 25 - x^2 + 4x - 4 \geq 8x^2 + 2x - 3$

$8x^2 + 34x + 21 \geq 8x^2 + 2x - 3$

Вычтем $8x^2$ из обеих частей и сгруппируем слагаемые:

$34x - 2x \geq -3 - 21$

$32x \geq -24$

Разделим обе части на 32:

$x \geq \frac{-24}{32}$

Сократим дробь на 8:

$x \geq -\frac{3}{4}$

Ответ: $x \in [-\frac{3}{4}; +\infty)$.

г) $(4x - 5)^2 + (3x - 7)^2 > (5x - 4)^2$

Раскроем все скобки по формуле квадрата разности $(a-b)^2 = a^2 - 2ab + b^2$.

$(16x^2 - 40x + 25) + (9x^2 - 42x + 49) > (25x^2 - 40x + 16)$

Приведем подобные слагаемые в левой части:

$(16x^2 + 9x^2) + (-40x - 42x) + (25 + 49) > 25x^2 - 40x + 16$

$25x^2 - 82x + 74 > 25x^2 - 40x + 16$

Вычтем $25x^2$ из обеих частей:

$-82x + 74 > -40x + 16$

Сгруппируем слагаемые:

$74 - 16 > -40x + 82x$

$58 > 42x$

Перепишем неравенство для удобства:

$42x < 58$

Разделим обе части на 42:

$x < \frac{58}{42}$

Сократим дробь на 2:

$x < \frac{29}{21}$

Так как это неправильная дробь, выделим целую часть:

$\frac{29}{21} = 1\frac{8}{21}$

Таким образом, $x < 1\frac{8}{21}$.

Ответ: $x \in (-\infty; 1\frac{8}{21})$.

Помогло решение? Оставьте отзыв в комментариях ниже.

Присоединяйтесь к Телеграм-группе @gdz_by_belarus

Присоединиться

Мы подготовили для вас ответ c подробным объяснением домашего задания по алгебре за 7 класс, для упражнения номер 3.233 расположенного на странице 201 к учебнику 2022 года издания для учащихся школ и гимназий.

Теперь на нашем сайте ГДЗ.ТОП вы всегда легко и бесплатно найдёте условие с правильным ответом на вопрос «Как решить ДЗ» и «Как сделать» задание по алгебре к упражнению №3.233 (с. 201), авторов: Арефьева (Ирина Глебовна), Пирютко (Ольга Николаевна), учебного пособия издательства Народная асвета.