Номер 3.179, страница 188 - гдз по алгебре 7 класс учебник Арефьева, Пирютко

Алгебра, 7 класс Учебник, авторы: Арефьева Ирина Глебовна, Пирютко Ольга Николаевна, издательство Народная асвета, Минск, 2022, зелёного цвета

Авторы: Арефьева И. Г., Пирютко О. Н.

Тип: Учебник

Издательство: Народная асвета

Год издания: 2022 - 2026

Цвет обложки: зелёный с графиком

ISBN: ISBN 978-985-03-3770-2

Допущено Министерством образования Республики Беларусь

Популярные ГДЗ в 7 классе

Глава 3. Линейные уравнения. Линейные неравенства. Линейная функция. Параграф 17. Числовые неравенства - номер 3.179, страница 188.

№3.179 (с. 188)
Условие. №3.179 (с. 188)
скриншот условия
Алгебра, 7 класс Учебник, авторы: Арефьева Ирина Глебовна, Пирютко Ольга Николаевна, издательство Народная асвета, Минск, 2022, зелёного цвета, страница 188, номер 3.179, Условие

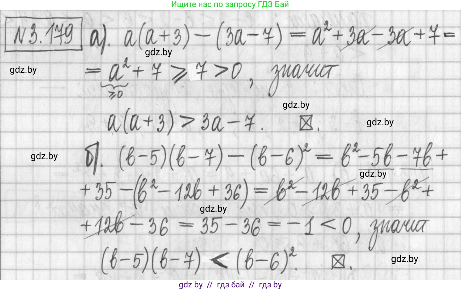
3.179. Докажите неравенство:

а) $a(a+3) > 3a-7;$

б) $(b-5)(b-7) < (b-6)^2.$

Решение. №3.179 (с. 188)
Алгебра, 7 класс Учебник, авторы: Арефьева Ирина Глебовна, Пирютко Ольга Николаевна, издательство Народная асвета, Минск, 2022, зелёного цвета, страница 188, номер 3.179, Решение
Решение 2. №3.179 (с. 188)

а) Докажите неравенство $a(a + 3) > 3a - 7$

Для доказательства данного неравенства выполним равносильные преобразования. Сначала раскроем скобки в левой части:

$a^2 + 3a > 3a - 7$

Перенесём все слагаемые из правой части в левую, изменив их знаки на противоположные:

$a^2 + 3a - 3a + 7 > 0$

Приведём подобные члены:

$a^2 + 7 > 0$

Проанализируем полученное неравенство. Выражение $a^2$ является квадратом любого действительного числа, поэтому его значение всегда неотрицательно, то есть $a^2 \ge 0$. Сумма неотрицательного числа $a^2$ и положительного числа 7 всегда будет положительным числом, так как $a^2 + 7 \ge 0 + 7 = 7$, а $7 > 0$.

Поскольку неравенство $a^2 + 7 > 0$ истинно для любого значения $a$, то и исходное неравенство $a(a + 3) > 3a - 7$ также верно для любого действительного числа $a$, что и требовалось доказать.

Ответ: Неравенство доказано.

б) Докажите неравенство $(b - 5)(b - 7) < (b - 6)^2$

Для доказательства преобразуем обе части неравенства. В левой части раскроем скобки, перемножив многочлены, а в правой части применим формулу квадрата разности $(x - y)^2 = x^2 - 2xy + y^2$.

Преобразование левой части:

$(b - 5)(b - 7) = b \cdot b - b \cdot 7 - 5 \cdot b - 5 \cdot (-7) = b^2 - 7b - 5b + 35 = b^2 - 12b + 35$

Преобразование правой части:

$(b - 6)^2 = b^2 - 2 \cdot b \cdot 6 + 6^2 = b^2 - 12b + 36$

Подставим полученные выражения в исходное неравенство:

$b^2 - 12b + 35 < b^2 - 12b + 36$

Перенесём все члены из левой части в правую, изменив их знаки:

$0 < (b^2 - 12b + 36) - (b^2 - 12b + 35)$

$0 < b^2 - 12b + 36 - b^2 + 12b - 35$

Приведём подобные слагаемые:

$0 < 1$

В результате равносильных преобразований мы получили верное числовое неравенство, которое не зависит от значения переменной $b$. Это означает, что исходное неравенство верно для любого действительного значения $b$, что и требовалось доказать.

Ответ: Неравенство доказано.

Помогло решение? Оставьте отзыв в комментариях ниже.

Присоединяйтесь к Телеграм-группе @gdz_by_belarus

Присоединиться

Мы подготовили для вас ответ c подробным объяснением домашего задания по алгебре за 7 класс, для упражнения номер 3.179 расположенного на странице 188 к учебнику 2022 года издания для учащихся школ и гимназий.

Теперь на нашем сайте ГДЗ.ТОП вы всегда легко и бесплатно найдёте условие с правильным ответом на вопрос «Как решить ДЗ» и «Как сделать» задание по алгебре к упражнению №3.179 (с. 188), авторов: Арефьева (Ирина Глебовна), Пирютко (Ольга Николаевна), учебного пособия издательства Народная асвета.