Номер 3.171, страница 187 - гдз по алгебре 7 класс учебник Арефьева, Пирютко

Алгебра, 7 класс Учебник, авторы: Арефьева Ирина Глебовна, Пирютко Ольга Николаевна, издательство Народная асвета, Минск, 2022, зелёного цвета

Авторы: Арефьева И. Г., Пирютко О. Н.

Тип: Учебник

Издательство: Народная асвета

Год издания: 2022 - 2026

Цвет обложки: зелёный с графиком

ISBN: ISBN 978-985-03-3770-2

Допущено Министерством образования Республики Беларусь

Популярные ГДЗ в 7 классе

Глава 3. Линейные уравнения. Линейные неравенства. Линейная функция. Параграф 17. Числовые неравенства - номер 3.171, страница 187.

№3.171 (с. 187)
Условие. №3.171 (с. 187)
скриншот условия
Алгебра, 7 класс Учебник, авторы: Арефьева Ирина Глебовна, Пирютко Ольга Николаевна, издательство Народная асвета, Минск, 2022, зелёного цвета, страница 187, номер 3.171, Условие

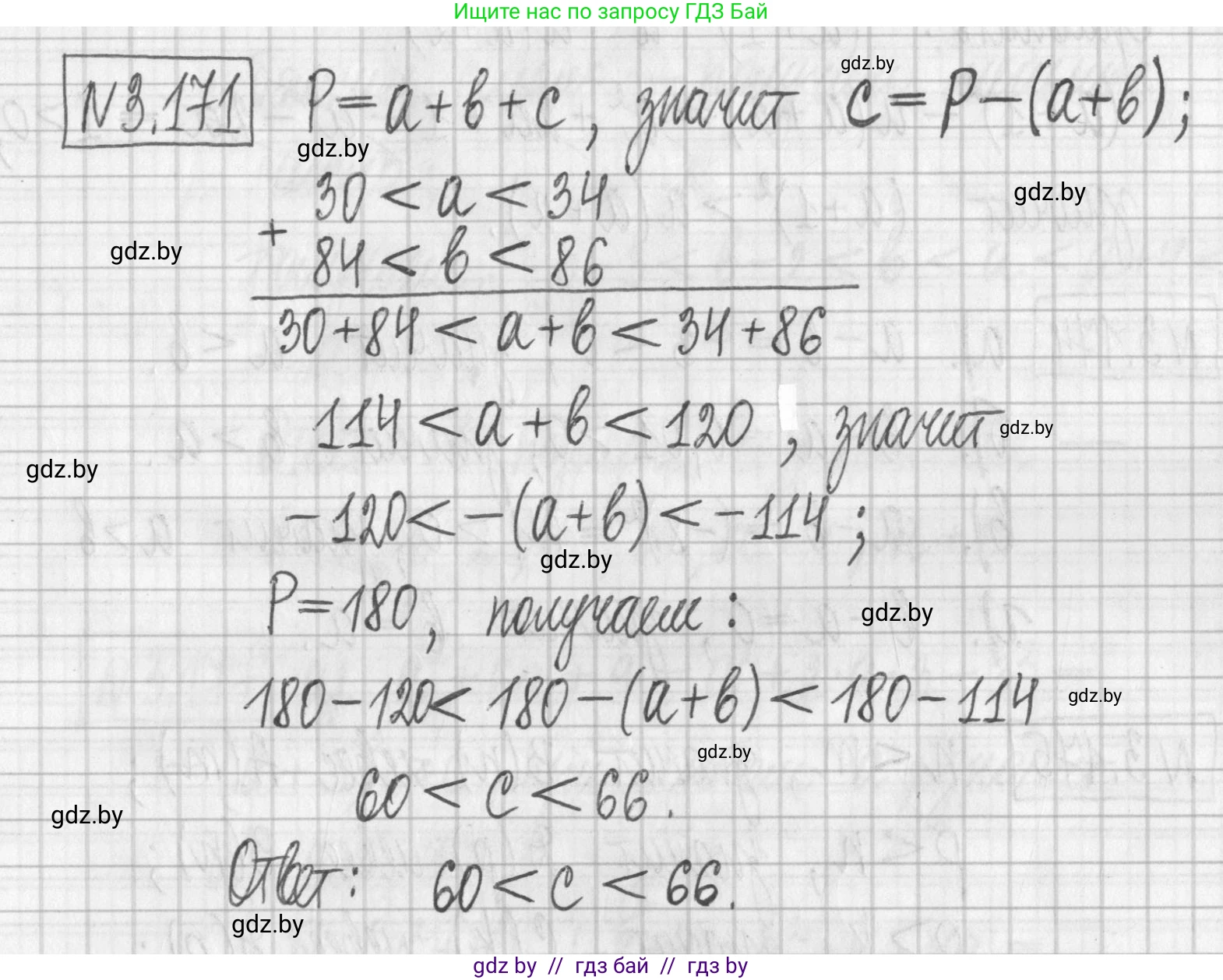
3.171. Дан треугольник со сторонами $a$, $b$ и $c$ и периметром 180. Известно, что $30 < a < 34$ и $84 < b < 86$. Оцените длину стороны $c$.

Решение. №3.171 (с. 187)
Алгебра, 7 класс Учебник, авторы: Арефьева Ирина Глебовна, Пирютко Ольга Николаевна, издательство Народная асвета, Минск, 2022, зелёного цвета, страница 187, номер 3.171, Решение
Решение 2. №3.171 (с. 187)

Оцените длину стороны c

Периметр треугольника $P$ равен сумме длин его сторон $a$, $b$ и $c$. По условию задачи, $P = 180$.

$P = a + b + c$

Выразим сторону $c$ через периметр и две другие стороны:

$c = P - (a + b) = 180 - (a + b)$

Нам даны следующие неравенства для сторон $a$ и $b$:

$30 < a < 34$

$84 < b < 86$

Чтобы найти диапазон значений для $c$, нам нужно сначала оценить сумму $a + b$. Для этого сложим почленно два данных неравенства:

$30 + 84 < a + b < 34 + 86$

Выполнив сложение, получаем:

$114 < a + b < 120$

Теперь, зная диапазон для суммы $a+b$, мы можем оценить $c$. Подставим полученное неравенство в формулу $c = 180 - (a + b)$.

Чтобы получить нижнюю границу для $c$, мы должны из 180 вычесть наибольшее возможное значение суммы $a+b$:

$c_{min} = 180 - 120 = 60$

Чтобы получить верхнюю границу для $c$, мы должны из 180 вычесть наименьшее возможное значение суммы $a+b$:

$c_{max} = 180 - 114 = 66$

Таким образом, оценка для длины стороны $c$ выглядит следующим образом:

$60 < c < 66$

Необходимо также убедиться, что для найденного диапазона значений $c$ выполняется неравенство треугольника (сумма двух любых сторон должна быть больше третьей стороны).

  • $a + b > c$: Минимальное значение $a+b$ равно 114, а максимальное значение $c$ равно 66. Так как $114 > 66$, это условие выполняется.
  • $a + c > b$: Минимальное значение $a+c$ равно $30+60=90$, а максимальное значение $b$ равно 86. Так как $90 > 86$, это условие выполняется.
  • $b + c > a$: Минимальное значение $b+c$ равно $84+60=144$, а максимальное значение $a$ равно 34. Так как $144 > 34$, это условие также выполняется.

Все условия соблюдены.

Ответ: $60 < c < 66$.

Помогло решение? Оставьте отзыв в комментариях ниже.

Присоединяйтесь к Телеграм-группе @gdz_by_belarus

Присоединиться

Мы подготовили для вас ответ c подробным объяснением домашего задания по алгебре за 7 класс, для упражнения номер 3.171 расположенного на странице 187 к учебнику 2022 года издания для учащихся школ и гимназий.

Теперь на нашем сайте ГДЗ.ТОП вы всегда легко и бесплатно найдёте условие с правильным ответом на вопрос «Как решить ДЗ» и «Как сделать» задание по алгебре к упражнению №3.171 (с. 187), авторов: Арефьева (Ирина Глебовна), Пирютко (Ольга Николаевна), учебного пособия издательства Народная асвета.