Номер 2.438, страница 140 - гдз по алгебре 7 класс учебник Арефьева, Пирютко
Авторы: Арефьева И. Г., Пирютко О. Н.
Тип: Учебник
Издательство: Народная асвета
Год издания: 2022 - 2026
Цвет обложки: зелёный с графиком
ISBN: ISBN 978-985-03-3770-2
Допущено Министерством образования Республики Беларусь
Популярные ГДЗ в 7 классе
Глава 2. Выражения и их преобразования. Параграф 14. Разложение многочлена на множители - номер 2.438, страница 140.
№2.438 (с. 140)
Условие. №2.438 (с. 140)
скриншот условия
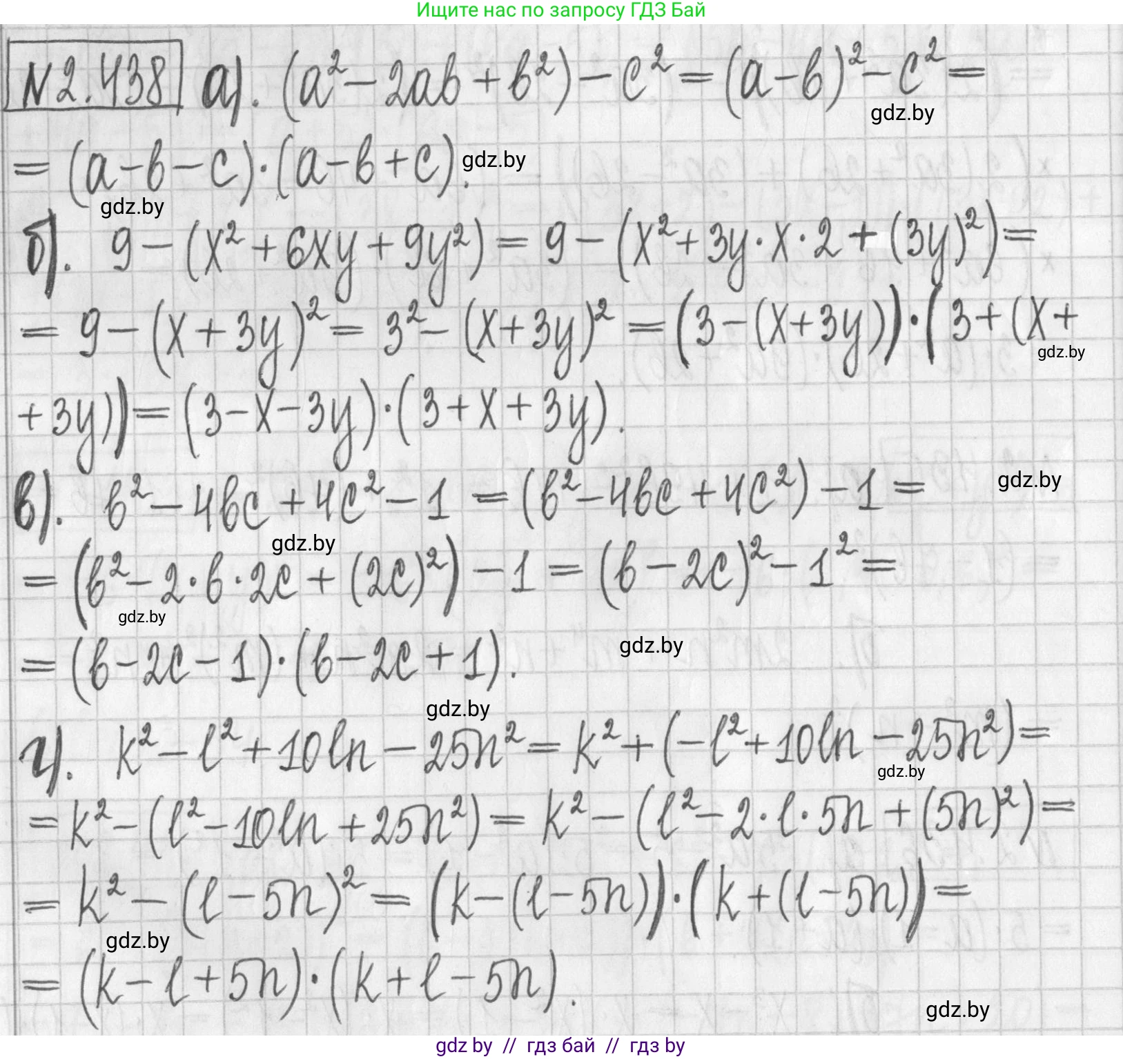
2.438. Разложите многочлен на множители:
а) $(a^2 - 2ab + b^2) - c^2;$
б) $9 - (x^2 + 6xy + 9y^2);$
В) $b^2 - 4bc + 4c^2 - 1;$
Г) $k^2 - l^2 + 10ln - 25n^2.$
Решение. №2.438 (с. 140)
Решение 2. №2.438 (с. 140)
а) $(a^2 - 2ab + b^2) - c^2$
1. Заметим, что выражение в скобках $a^2 - 2ab + b^2$ является полным квадратом разности. Используем формулу сокращенного умножения: $(x - y)^2 = x^2 - 2xy + y^2$.
В нашем случае $x = a$ и $y = b$, поэтому $a^2 - 2ab + b^2 = (a - b)^2$.
2. Подставим это обратно в исходное выражение:
$(a - b)^2 - c^2$
3. Теперь мы получили разность квадратов. Используем формулу: $x^2 - y^2 = (x - y)(x + y)$.
В нашем случае $x = (a - b)$ и $y = c$.
4. Раскладываем на множители:
$((a - b) - c)((a - b) + c) = (a - b - c)(a - b + c)$
Ответ: $(a - b - c)(a - b + c)$
б) $9 - (x^2 + 6xy + 9y^2)$
1. Рассмотрим выражение в скобках $x^2 + 6xy + 9y^2$. Это полный квадрат суммы. Используем формулу: $(u + v)^2 = u^2 + 2uv + v^2$.
Представим $x^2 + 6xy + 9y^2$ в виде $x^2 + 2 \cdot x \cdot (3y) + (3y)^2$. Здесь $u = x$ и $v = 3y$.
Таким образом, $x^2 + 6xy + 9y^2 = (x + 3y)^2$.
2. Подставим полученное выражение обратно:
$9 - (x + 3y)^2$
3. Это выражение является разностью квадратов, так как $9 = 3^2$. Получаем $3^2 - (x + 3y)^2$.
4. Применяем формулу разности квадратов $u^2 - v^2 = (u - v)(u + v)$, где $u = 3$ и $v = (x + 3y)$.
$(3 - (x + 3y))(3 + (x + 3y)) = (3 - x - 3y)(3 + x + 3y)$
Ответ: $(3 - x - 3y)(3 + x + 3y)$
в) $b^2 - 4bc + 4c^2 - 1$
1. Сгруппируем первые три члена: $(b^2 - 4bc + 4c^2) - 1$.
2. Выражение в скобках $b^2 - 4bc + 4c^2$ является полным квадратом разности. Представим его как $b^2 - 2 \cdot b \cdot (2c) + (2c)^2$.
Используя формулу $(x - y)^2 = x^2 - 2xy + y^2$, где $x=b$ и $y=2c$, получаем $(b - 2c)^2$.
3. Подставляем обратно в выражение:
$(b - 2c)^2 - 1$
4. Это разность квадратов, так как $1 = 1^2$. Применяем формулу $x^2 - y^2 = (x - y)(x + y)$, где $x = (b - 2c)$ и $y = 1$.
$((b - 2c) - 1)((b - 2c) + 1) = (b - 2c - 1)(b - 2c + 1)$
Ответ: $(b - 2c - 1)(b - 2c + 1)$
г) $k^2 - l^2 + 10ln - 25n^2$
1. Сгруппируем члены, содержащие $l$ и $n$: $k^2 - (l^2 - 10ln + 25n^2)$. Обратите внимание, что мы вынесли знак минус за скобки, поэтому знаки внутри скобок изменились.
2. Выражение в скобках $l^2 - 10ln + 25n^2$ является полным квадратом разности. Представим его как $l^2 - 2 \cdot l \cdot (5n) + (5n)^2$.
По формуле $(x - y)^2 = x^2 - 2xy + y^2$, где $x=l$ и $y=5n$, получаем $(l - 5n)^2$.
3. Подставляем обратно в выражение:
$k^2 - (l - 5n)^2$
4. Это разность квадратов. Применяем формулу $x^2 - y^2 = (x - y)(x + y)$, где $x = k$ и $y = (l - 5n)$.
$(k - (l - 5n))(k + (l - 5n)) = (k - l + 5n)(k + l - 5n)$
Ответ: $(k - l + 5n)(k + l - 5n)$
Другие задания:
Помогло решение? Оставьте отзыв в комментариях ниже.
Присоединяйтесь к Телеграм-группе @gdz_by_belarus
ПрисоединитьсяМы подготовили для вас ответ c подробным объяснением домашего задания по алгебре за 7 класс, для упражнения номер 2.438 расположенного на странице 140 к учебнику 2022 года издания для учащихся школ и гимназий.
Теперь на нашем сайте ГДЗ.ТОП вы всегда легко и бесплатно найдёте условие с правильным ответом на вопрос «Как решить ДЗ» и «Как сделать» задание по алгебре к упражнению №2.438 (с. 140), авторов: Арефьева (Ирина Глебовна), Пирютко (Ольга Николаевна), учебного пособия издательства Народная асвета.