Номер 2.416, страница 138 - гдз по алгебре 7 класс учебник Арефьева, Пирютко
Авторы: Арефьева И. Г., Пирютко О. Н.
Тип: Учебник
Издательство: Народная асвета
Год издания: 2022 - 2026
Цвет обложки: зелёный с графиком
ISBN: ISBN 978-985-03-3770-2
Допущено Министерством образования Республики Беларусь
Популярные ГДЗ в 7 классе
Глава 2. Выражения и их преобразования. Параграф 14. Разложение многочлена на множители - номер 2.416, страница 138.
№2.416 (с. 138)
Условие. №2.416 (с. 138)
скриншот условия
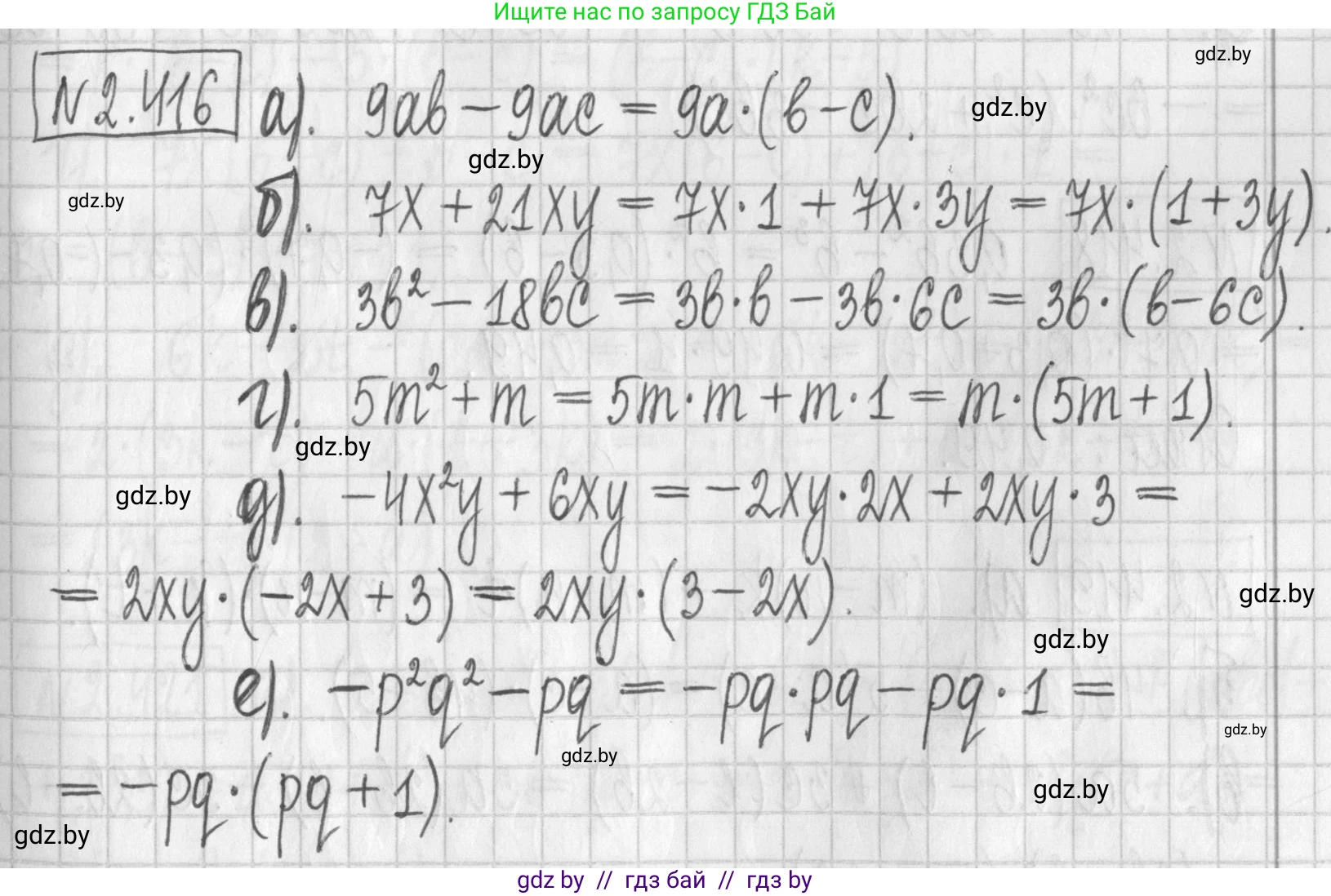
2.416. Представьте в виде произведения:
а) $9ab - 9ac$;
б) $7x + 21xy$;
в) $3b^2 - 18bc$;
г) $5m^2 + m$;
д) $-4x^2y + 6xy$;
е) $-p^2q^2 - pq$.
Решение. №2.416 (с. 138)
Решение 2. №2.416 (с. 138)
Чтобы представить многочлен в виде произведения, необходимо вынести за скобки общий множитель всех его членов. Общий множитель — это произведение наибольшего общего делителя (НОД) коэффициентов и общих переменных в наименьшей степени.
а) $9ab - 9ac$
В выражении $9ab - 9ac$ оба члена имеют общий числовой множитель 9 и общий переменный множитель $a$. Таким образом, общий множитель, который можно вынести за скобки, это $9a$.
Выполним вынесение общего множителя за скобки:
$9ab - 9ac = 9a \cdot b - 9a \cdot c = 9a(b - c)$
Ответ: $9a(b - c)$
б) $7x + 21xy$
Для коэффициентов 7 и 21 наибольший общий делитель (НОД) равен 7. Общий переменный множитель — это $x$. Значит, за скобки выносим $7x$.
Представим каждый член как произведение общего множителя и оставшейся части:
$7x + 21xy = 7x \cdot 1 + 7x \cdot 3y = 7x(1 + 3y)$
Ответ: $7x(1 + 3y)$
в) $3b^2 - 18bc$
НОД для коэффициентов 3 и 18 равен 3. Для переменных $b^2$ и $b$ общий множитель — это $b$ в первой степени. Таким образом, выносим за скобки $3b$.
Выполним разложение на множители:
$3b^2 - 18bc = 3b \cdot b - 3b \cdot 6c = 3b(b - 6c)$
Ответ: $3b(b - 6c)$
г) $5m^2 + m$
В этом выражении общий числовой множитель равен 1. Общий переменный множитель для $m^2$ и $m$ — это $m$. Выносим $m$ за скобки.
Необходимо помнить, что $m = m \cdot 1$.
$5m^2 + m = m \cdot 5m + m \cdot 1 = m(5m + 1)$
Ответ: $m(5m + 1)$
д) $-4x^2y + 6xy$
НОД для модулей коэффициентов 4 и 6 равен 2. Общие переменные — $x$ и $y$. Общий множитель — $2xy$. Чтобы первый член в скобках был положительным, удобно вынести за скобки $-2xy$.
Выполним вынесение $-2xy$ за скобки:
$-4x^2y + 6xy = (-2xy) \cdot (2x) + (-2xy) \cdot (-3) = -2xy(2x - 3)$
Ответ: $-2xy(2x - 3)$
е) $-p^2q^2 - pq$
Оба члена выражения отрицательны. Общие переменные для $p^2q^2$ и $pq$ — это $p$ и $q$. Таким образом, общий множитель — $-pq$.
Вынесем $-pq$ за скобки:
$-p^2q^2 - pq = (-pq) \cdot (pq) + (-pq) \cdot (1) = -pq(pq + 1)$
Ответ: $-pq(pq + 1)$
Другие задания:
Помогло решение? Оставьте отзыв в комментариях ниже.
Присоединяйтесь к Телеграм-группе @gdz_by_belarus
ПрисоединитьсяМы подготовили для вас ответ c подробным объяснением домашего задания по алгебре за 7 класс, для упражнения номер 2.416 расположенного на странице 138 к учебнику 2022 года издания для учащихся школ и гимназий.
Теперь на нашем сайте ГДЗ.ТОП вы всегда легко и бесплатно найдёте условие с правильным ответом на вопрос «Как решить ДЗ» и «Как сделать» задание по алгебре к упражнению №2.416 (с. 138), авторов: Арефьева (Ирина Глебовна), Пирютко (Ольга Николаевна), учебного пособия издательства Народная асвета.