Номер 2.406, страница 137 - гдз по алгебре 7 класс учебник Арефьева, Пирютко

Алгебра, 7 класс Учебник, авторы: Арефьева Ирина Глебовна, Пирютко Ольга Николаевна, издательство Народная асвета, Минск, 2022, зелёного цвета

Авторы: Арефьева И. Г., Пирютко О. Н.

Тип: Учебник

Издательство: Народная асвета

Год издания: 2022 - 2026

Цвет обложки: зелёный с графиком

ISBN: ISBN 978-985-03-3770-2

Допущено Министерством образования Республики Беларусь

Популярные ГДЗ в 7 классе

Глава 2. Выражения и их преобразования. Параграф 14. Разложение многочлена на множители - номер 2.406, страница 137.

№2.406 (с. 137)
Условие. №2.406 (с. 137)
скриншот условия
Алгебра, 7 класс Учебник, авторы: Арефьева Ирина Глебовна, Пирютко Ольга Николаевна, издательство Народная асвета, Минск, 2022, зелёного цвета, страница 137, номер 2.406, Условие

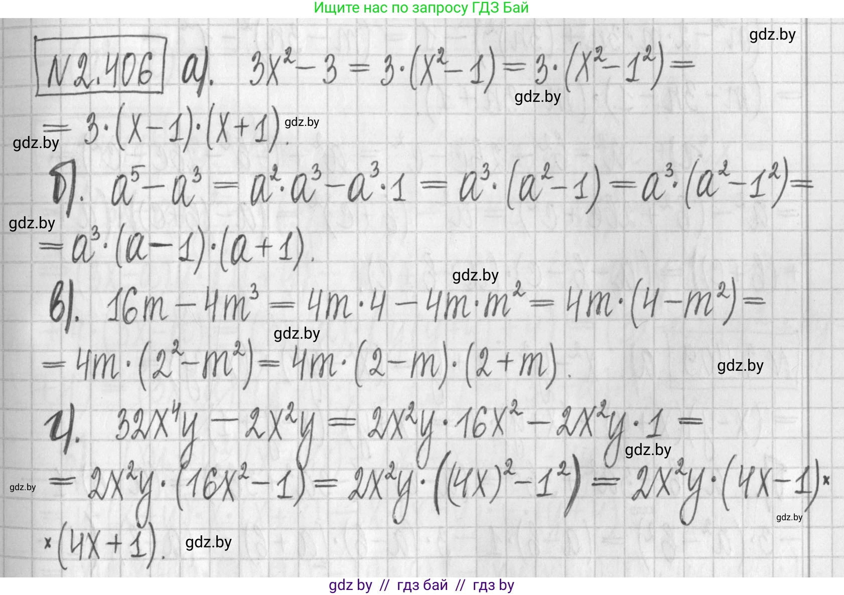
2.406. Используя комбинацию различных способов, разложите многочлен на множители:

a) $3x^2 - 3$;

б) $a^5 - a^3$;

в) $16m - 4m^3$;

г) $32x^4y - 2x^2y$.

Решение. №2.406 (с. 137)
Алгебра, 7 класс Учебник, авторы: Арефьева Ирина Глебовна, Пирютко Ольга Николаевна, издательство Народная асвета, Минск, 2022, зелёного цвета, страница 137, номер 2.406, Решение
Решение 2. №2.406 (с. 137)

а) $3x^2 - 3$
Чтобы разложить многочлен $3x^2 - 3$ на множители, используем комбинацию двух способов: вынесение общего множителя за скобки и применение формулы сокращенного умножения.
1. Вынесем общий множитель 3 за скобки:
$3x^2 - 3 = 3(x^2 - 1)$
2. Выражение в скобках $x^2 - 1$ является разностью квадратов. Применим формулу разности квадратов $a^2 - b^2 = (a - b)(a + b)$, где $a = x$ и $b = 1$:
$x^2 - 1 = (x - 1)(x + 1)$
3. Подставим разложенное выражение обратно:
$3(x^2 - 1) = 3(x - 1)(x + 1)$
Ответ: $3(x - 1)(x + 1)$

б) $a^5 - a^3$
Для разложения многочлена $a^5 - a^3$ на множители, также используем вынесение общего множителя и формулу разности квадратов.
1. Вынесем общий множитель $a^3$ за скобки (выносим переменную в наименьшей степени):
$a^5 - a^3 = a^3(a^2 - 1)$
2. Выражение в скобках $a^2 - 1$ является разностью квадратов. Применим формулу $x^2 - y^2 = (x - y)(x + y)$, где $x = a$ и $y = 1$:
$a^2 - 1 = (a - 1)(a + 1)$
3. Объединим результаты:
$a^3(a^2 - 1) = a^3(a - 1)(a + 1)$
Ответ: $a^3(a - 1)(a + 1)$

в) $16m - 4m^3$
Разложим многочлен $16m - 4m^3$ на множители.
1. Найдем и вынесем общий множитель. Общий числовой множитель для 16 и 4 это 4. Общий множитель для переменных это $m$. Таким образом, общий множитель всего выражения - $4m$.
$16m - 4m^3 = 4m(4 - m^2)$
2. Выражение в скобках $4 - m^2$ является разностью квадратов, так как $4 = 2^2$. Применим формулу $a^2 - b^2 = (a - b)(a + b)$, где $a = 2$ и $b = m$:
$4 - m^2 = (2 - m)(2 + m)$
3. Запишем итоговое разложение:
$4m(4 - m^2) = 4m(2 - m)(2 + m)$
Ответ: $4m(2 - m)(2 + m)$

г) $32x^4y - 2x^2y$
Разложим многочлен $32x^4y - 2x^2y$ на множители.
1. Найдем и вынесем общий множитель за скобки. Общий множитель для коэффициентов 32 и 2 это 2. Общий множитель для переменных - $x^2y$ (выбираем наименьшие степени для каждой переменной). Итоговый общий множитель - $2x^2y$.
$32x^4y - 2x^2y = 2x^2y(16x^2 - 1)$
2. Выражение в скобках $16x^2 - 1$ является разностью квадратов, так как $16x^2 = (4x)^2$ и $1 = 1^2$. Применим формулу $a^2 - b^2 = (a - b)(a + b)$, где $a = 4x$ и $b = 1$:
$16x^2 - 1 = (4x - 1)(4x + 1)$
3. Запишем окончательный результат:
$2x^2y(16x^2 - 1) = 2x^2y(4x - 1)(4x + 1)$
Ответ: $2x^2y(4x - 1)(4x + 1)$

Помогло решение? Оставьте отзыв в комментариях ниже.

Присоединяйтесь к Телеграм-группе @gdz_by_belarus

Присоединиться

Мы подготовили для вас ответ c подробным объяснением домашего задания по алгебре за 7 класс, для упражнения номер 2.406 расположенного на странице 137 к учебнику 2022 года издания для учащихся школ и гимназий.

Теперь на нашем сайте ГДЗ.ТОП вы всегда легко и бесплатно найдёте условие с правильным ответом на вопрос «Как решить ДЗ» и «Как сделать» задание по алгебре к упражнению №2.406 (с. 137), авторов: Арефьева (Ирина Глебовна), Пирютко (Ольга Николаевна), учебного пособия издательства Народная асвета.