Номер 2.353, страница 123 - гдз по алгебре 7 класс учебник Арефьева, Пирютко

Алгебра, 7 класс Учебник, авторы: Арефьева Ирина Глебовна, Пирютко Ольга Николаевна, издательство Народная асвета, Минск, 2022, зелёного цвета

Авторы: Арефьева И. Г., Пирютко О. Н.

Тип: Учебник

Издательство: Народная асвета

Год издания: 2022 - 2026

Цвет обложки: зелёный с графиком

ISBN: ISBN 978-985-03-3770-2

Допущено Министерством образования Республики Беларусь

Популярные ГДЗ в 7 классе

Глава 2. Выражения и их преобразования. Параграф 13. Формулы сокращенного умножения: произведение суммы и разности двух выражений - номер 2.353, страница 123.

№2.353 (с. 123)
Условие. №2.353 (с. 123)
скриншот условия
Алгебра, 7 класс Учебник, авторы: Арефьева Ирина Глебовна, Пирютко Ольга Николаевна, издательство Народная асвета, Минск, 2022, зелёного цвета, страница 123, номер 2.353, Условие

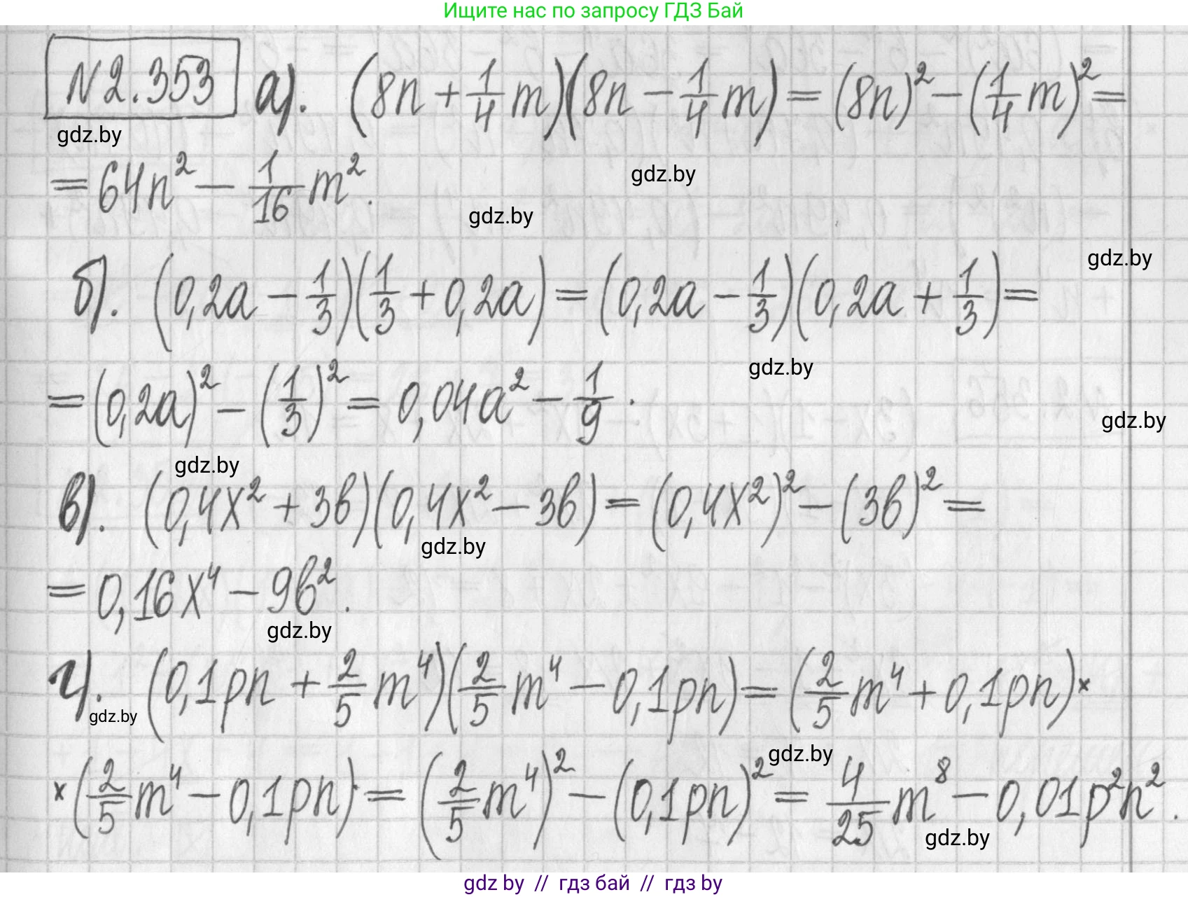
2.353. Представьте в виде многочлена произведение:

а) $ (8n + \frac{1}{4}m)(8n - \frac{1}{4}m); $

б) $ (0,2a - \frac{1}{3})(\frac{1}{3} + 0,2a); $

в) $ (0,4x^2 + 3b)(0,4x^2 - 3b); $

г) $ (0,1pn + \frac{2}{5}m^4)(\frac{2}{5}m^4 - 0,1pn). $

Решение. №2.353 (с. 123)
Алгебра, 7 класс Учебник, авторы: Арефьева Ирина Глебовна, Пирютко Ольга Николаевна, издательство Народная асвета, Минск, 2022, зелёного цвета, страница 123, номер 2.353, Решение
Решение 2. №2.353 (с. 123)

Для решения всех пунктов этого задания мы будем использовать формулу сокращенного умножения, а именно разность квадратов: $(a+b)(a-b)=a^2-b^2$.

а) В выражении $(8n + \frac{1}{4}m)(8n - \frac{1}{4}m)$ мы имеем произведение суммы и разности двух выражений.Применим формулу разности квадратов, где $a = 8n$ и $b = \frac{1}{4}m$.

$(8n + \frac{1}{4}m)(8n - \frac{1}{4}m) = (8n)^2 - (\frac{1}{4}m)^2 = 8^2 \cdot n^2 - (\frac{1}{4})^2 \cdot m^2 = 64n^2 - \frac{1}{16}m^2$.

Ответ: $64n^2 - \frac{1}{16}m^2$.

б) В выражении $(0,2a - \frac{1}{3})(\frac{1}{3} + 0,2a)$ сначала поменяем местами слагаемые во второй скобке для наглядности: $(0,2a - \frac{1}{3})(0,2a + \frac{1}{3})$.Теперь это стандартный вид формулы разности квадратов, где $a = 0,2a$ и $b = \frac{1}{3}$.

$(0,2a - \frac{1}{3})(0,2a + \frac{1}{3}) = (0,2a)^2 - (\frac{1}{3})^2 = 0,2^2 \cdot a^2 - \frac{1^2}{3^2} = 0,04a^2 - \frac{1}{9}$.

Ответ: $0,04a^2 - \frac{1}{9}$.

в) Выражение $(0,4x^2 + 3b)(0,4x^2 - 3b)$ также представляет собой произведение суммы и разности.Применяем формулу, где $a = 0,4x^2$ и $b = 3b$.

$(0,4x^2 + 3b)(0,4x^2 - 3b) = (0,4x^2)^2 - (3b)^2 = 0,4^2 \cdot (x^2)^2 - 3^2 \cdot b^2 = 0,16x^4 - 9b^2$.

Ответ: $0,16x^4 - 9b^2$.

г) В выражении $(0,1pn + \frac{2}{5}m^4)(\frac{2}{5}m^4 - 0,1pn)$ мы можем поменять местами слагаемые в первой скобке, чтобы привести его к удобному виду: $(\frac{2}{5}m^4 + 0,1pn)(\frac{2}{5}m^4 - 0,1pn)$.Теперь используем формулу разности квадратов, где $a = \frac{2}{5}m^4$ и $b = 0,1pn$.

$(\frac{2}{5}m^4 + 0,1pn)(\frac{2}{5}m^4 - 0,1pn) = (\frac{2}{5}m^4)^2 - (0,1pn)^2 = (\frac{2}{5})^2 \cdot (m^4)^2 - (0,1)^2 \cdot p^2 \cdot n^2 = \frac{4}{25}m^8 - 0,01p^2n^2$.

Ответ: $\frac{4}{25}m^8 - 0,01p^2n^2$.

Помогло решение? Оставьте отзыв в комментариях ниже.

Присоединяйтесь к Телеграм-группе @gdz_by_belarus

Присоединиться

Мы подготовили для вас ответ c подробным объяснением домашего задания по алгебре за 7 класс, для упражнения номер 2.353 расположенного на странице 123 к учебнику 2022 года издания для учащихся школ и гимназий.

Теперь на нашем сайте ГДЗ.ТОП вы всегда легко и бесплатно найдёте условие с правильным ответом на вопрос «Как решить ДЗ» и «Как сделать» задание по алгебре к упражнению №2.353 (с. 123), авторов: Арефьева (Ирина Глебовна), Пирютко (Ольга Николаевна), учебного пособия издательства Народная асвета.