Номер 2.279, страница 111 - гдз по алгебре 7 класс учебник Арефьева, Пирютко

Алгебра, 7 класс Учебник, авторы: Арефьева Ирина Глебовна, Пирютко Ольга Николаевна, издательство Народная асвета, Минск, 2022, зелёного цвета

Авторы: Арефьева И. Г., Пирютко О. Н.

Тип: Учебник

Издательство: Народная асвета

Год издания: 2022 - 2026

Цвет обложки: зелёный с графиком

ISBN: ISBN 978-985-03-3770-2

Допущено Министерством образования Республики Беларусь

Популярные ГДЗ в 7 классе

Глава 2. Выражения и их преобразования. Параграф 12. Формулы сокращенного умножения: квадрат суммы и квадрат разности двух выражений - номер 2.279, страница 111.

№2.279 (с. 111)
Условие. №2.279 (с. 111)
скриншот условия
Алгебра, 7 класс Учебник, авторы: Арефьева Ирина Глебовна, Пирютко Ольга Николаевна, издательство Народная асвета, Минск, 2022, зелёного цвета, страница 111, номер 2.279, Условие

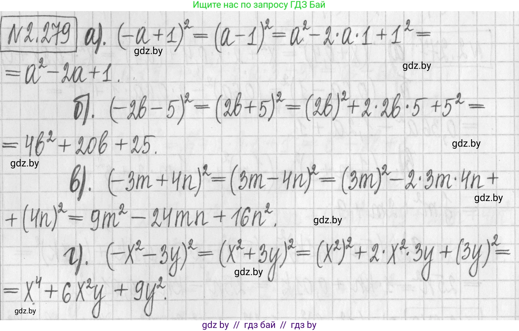
2.279. Представьте в виде трехчлена, используя формулы сокращенного умножения:

а) $(-a+1)^2$;

б) $(-2b-5)^2$;

в) $(-3m+4n)^2$;

г) $(-x^2-3y)^2$.

Решение. №2.279 (с. 111)
Алгебра, 7 класс Учебник, авторы: Арефьева Ирина Глебовна, Пирютко Ольга Николаевна, издательство Народная асвета, Минск, 2022, зелёного цвета, страница 111, номер 2.279, Решение
Решение 2. №2.279 (с. 111)

а) Для раскрытия скобок в выражении $(-a + 1)^2$ можно поменять слагаемые местами, чтобы было удобнее применить формулу сокращенного умножения.
$(-a + 1)^2 = (1 - a)^2$
Далее используем формулу квадрата разности: $(x - y)^2 = x^2 - 2xy + y^2$.
В нашем случае $x = 1$ и $y = a$.
$(1 - a)^2 = 1^2 - 2 \cdot 1 \cdot a + a^2 = 1 - 2a + a^2$.
Запишем трехчлен в стандартном виде (в порядке убывания степеней переменной): $a^2 - 2a + 1$.
Ответ: $a^2 - 2a + 1$

б) В выражении $(-2b - 5)^2$ можно вынести общий множитель $-1$ за скобки.
$(-2b - 5)^2 = (-(2b + 5))^2$
Поскольку квадрат отрицательного числа равен квадрату положительного числа, получаем:
$(-(2b + 5))^2 = (2b + 5)^2$
Теперь используем формулу квадрата суммы: $(x + y)^2 = x^2 + 2xy + y^2$.
В нашем случае $x = 2b$ и $y = 5$.
$(2b + 5)^2 = (2b)^2 + 2 \cdot (2b) \cdot 5 + 5^2 = 4b^2 + 20b + 25$.
Ответ: $4b^2 + 20b + 25$

в) В выражении $(-3m + 4n)^2$ поменяем слагаемые местами.
$(-3m + 4n)^2 = (4n - 3m)^2$
Используем формулу квадрата разности: $(x - y)^2 = x^2 - 2xy + y^2$.
В данном случае $x = 4n$ и $y = 3m$.
$(4n - 3m)^2 = (4n)^2 - 2 \cdot (4n) \cdot (3m) + (3m)^2 = 16n^2 - 24mn + 9m^2$.
Для стандартного вида запишем члены в алфавитном порядке переменных: $9m^2 - 24mn + 16n^2$.
Ответ: $9m^2 - 24mn + 16n^2$

г) Для выражения $(-x^2 - 3y)^2$ вынесем общий множитель $-1$ за скобки, как в пункте б).
$(-x^2 - 3y)^2 = (-(x^2 + 3y))^2 = (x^2 + 3y)^2$
Применим формулу квадрата суммы: $(x + y)^2 = x^2 + 2xy + y^2$.
Здесь $x = x^2$ и $y = 3y$.
$(x^2 + 3y)^2 = (x^2)^2 + 2 \cdot (x^2) \cdot (3y) + (3y)^2 = x^4 + 6x^2y + 9y^2$.
Ответ: $x^4 + 6x^2y + 9y^2$

Помогло решение? Оставьте отзыв в комментариях ниже.

Присоединяйтесь к Телеграм-группе @gdz_by_belarus

Присоединиться

Мы подготовили для вас ответ c подробным объяснением домашего задания по алгебре за 7 класс, для упражнения номер 2.279 расположенного на странице 111 к учебнику 2022 года издания для учащихся школ и гимназий.

Теперь на нашем сайте ГДЗ.ТОП вы всегда легко и бесплатно найдёте условие с правильным ответом на вопрос «Как решить ДЗ» и «Как сделать» задание по алгебре к упражнению №2.279 (с. 111), авторов: Арефьева (Ирина Глебовна), Пирютко (Ольга Николаевна), учебного пособия издательства Народная асвета.