Номер 2.256, страница 103 - гдз по алгебре 7 класс учебник Арефьева, Пирютко

Алгебра, 7 класс Учебник, авторы: Арефьева Ирина Глебовна, Пирютко Ольга Николаевна, издательство Народная асвета, Минск, 2022, зелёного цвета

Авторы: Арефьева И. Г., Пирютко О. Н.

Тип: Учебник

Издательство: Народная асвета

Год издания: 2022 - 2026

Цвет обложки: зелёный с графиком

ISBN: ISBN 978-985-03-3770-2

Допущено Министерством образования Республики Беларусь

Популярные ГДЗ в 7 классе

Глава 2. Выражения и их преобразования. Параграф 11. Умножение многочленов - номер 2.256, страница 103.

№2.256 (с. 103)
Условие. №2.256 (с. 103)
скриншот условия
Алгебра, 7 класс Учебник, авторы: Арефьева Ирина Глебовна, Пирютко Ольга Николаевна, издательство Народная асвета, Минск, 2022, зелёного цвета, страница 103, номер 2.256, Условие

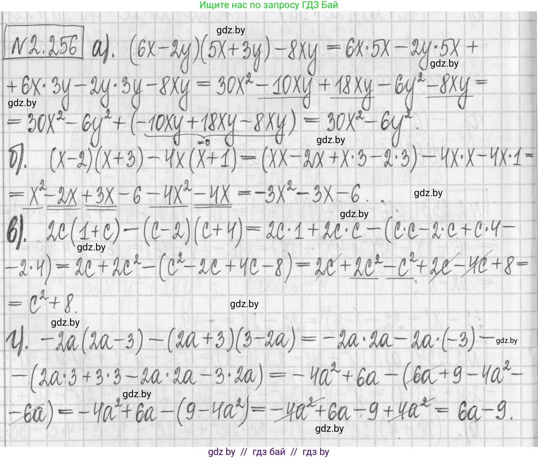
2.256. Упростите выражение:

а) $(6x - 2y)(5x + 3y) - 8xy;$

б) $(x - 2)(x + 3) - 4x(x + 1);$

в) $2c(1 + c) - (c - 2)(c + 4);$

г) $-2a(2a - 3) - (2a + 3)(3 - 2a).$

Решение. №2.256 (с. 103)
Алгебра, 7 класс Учебник, авторы: Арефьева Ирина Глебовна, Пирютко Ольга Николаевна, издательство Народная асвета, Минск, 2022, зелёного цвета, страница 103, номер 2.256, Решение
Решение 2. №2.256 (с. 103)

а) $(6x - 2y)(5x + 3y) - 8xy$

1. Сначала раскроем скобки, умножив многочлен на многочлен (каждый член первого многочлена на каждый член второго):

$(6x - 2y)(5x + 3y) = 6x \cdot 5x + 6x \cdot 3y - 2y \cdot 5x - 2y \cdot 3y = 30x^2 + 18xy - 10xy - 6y^2$

2. Приведем подобные слагаемые в полученном выражении:

$30x^2 + (18xy - 10xy) - 6y^2 = 30x^2 + 8xy - 6y^2$

3. Теперь подставим результат в исходное выражение и выполним вычитание:

$(30x^2 + 8xy - 6y^2) - 8xy = 30x^2 + 8xy - 6y^2 - 8xy$

4. Снова приведем подобные слагаемые:

$30x^2 + (8xy - 8xy) - 6y^2 = 30x^2 - 6y^2$

Ответ: $30x^2 - 6y^2$


б) $(x - 2)(x + 3) - 4x(x + 1)$

1. Раскроем первую пару скобок:

$(x - 2)(x + 3) = x \cdot x + x \cdot 3 - 2 \cdot x - 2 \cdot 3 = x^2 + 3x - 2x - 6 = x^2 + x - 6$

2. Раскроем вторую часть выражения, умножив $-4x$ на скобку $(x + 1)$:

$-4x(x + 1) = -4x \cdot x - 4x \cdot 1 = -4x^2 - 4x$

3. Сложим полученные результаты:

$(x^2 + x - 6) + (-4x^2 - 4x) = x^2 + x - 6 - 4x^2 - 4x$

4. Приведем подобные слагаемые:

$(x^2 - 4x^2) + (x - 4x) - 6 = -3x^2 - 3x - 6$

Ответ: $-3x^2 - 3x - 6$


в) $2c(1 + c) - (c - 2)(c + 4)$

1. Раскроем скобки в первом слагаемом:

$2c(1 + c) = 2c \cdot 1 + 2c \cdot c = 2c + 2c^2$

2. Раскроем вторую пару скобок:

$(c - 2)(c + 4) = c \cdot c + c \cdot 4 - 2 \cdot c - 2 \cdot 4 = c^2 + 4c - 2c - 8 = c^2 + 2c - 8$

3. Подставим результаты в исходное выражение. Обратим внимание на знак минус перед второй скобкой, который меняет знаки всех членов внутри нее:

$(2c + 2c^2) - (c^2 + 2c - 8) = 2c + 2c^2 - c^2 - 2c + 8$

4. Приведем подобные слагаемые:

$(2c^2 - c^2) + (2c - 2c) + 8 = c^2 + 0 + 8 = c^2 + 8$

Ответ: $c^2 + 8$


г) $-2a(2a - 3) - (2a + 3)(3 - 2a)$

1. Раскроем скобки в первой части выражения:

$-2a(2a - 3) = -2a \cdot 2a - 2a \cdot (-3) = -4a^2 + 6a$

2. Во второй части выражения $(2a + 3)(3 - 2a)$ можно заметить формулу разности квадратов, если поменять местами слагаемые во второй скобке: $(3 - 2a) = -(2a - 3)$.

Тогда $(2a + 3)(3 - 2a) = (2a + 3)(-(2a - 3)) = -((2a + 3)(2a - 3)) = -((2a)^2 - 3^2) = -(4a^2 - 9) = -4a^2 + 9$.

3. Подставим полученные выражения в исходное:

$(-4a^2 + 6a) - (-4a^2 + 9) = -4a^2 + 6a + 4a^2 - 9$

4. Приведем подобные слагаемые:

$(-4a^2 + 4a^2) + 6a - 9 = 0 + 6a - 9 = 6a - 9$

Ответ: $6a - 9$

Помогло решение? Оставьте отзыв в комментариях ниже.

Присоединяйтесь к Телеграм-группе @gdz_by_belarus

Присоединиться

Мы подготовили для вас ответ c подробным объяснением домашего задания по алгебре за 7 класс, для упражнения номер 2.256 расположенного на странице 103 к учебнику 2022 года издания для учащихся школ и гимназий.

Теперь на нашем сайте ГДЗ.ТОП вы всегда легко и бесплатно найдёте условие с правильным ответом на вопрос «Как решить ДЗ» и «Как сделать» задание по алгебре к упражнению №2.256 (с. 103), авторов: Арефьева (Ирина Глебовна), Пирютко (Ольга Николаевна), учебного пособия издательства Народная асвета.