Номер 2.242, страница 102 - гдз по алгебре 7 класс учебник Арефьева, Пирютко
Авторы: Арефьева И. Г., Пирютко О. Н.
Тип: Учебник
Издательство: Народная асвета
Год издания: 2022 - 2026
Цвет обложки: зелёный с графиком
ISBN: ISBN 978-985-03-3770-2
Допущено Министерством образования Республики Беларусь
Популярные ГДЗ в 7 классе
Глава 2. Выражения и их преобразования. Параграф 11. Умножение многочленов - номер 2.242, страница 102.
№2.242 (с. 102)
Условие. №2.242 (с. 102)
скриншот условия
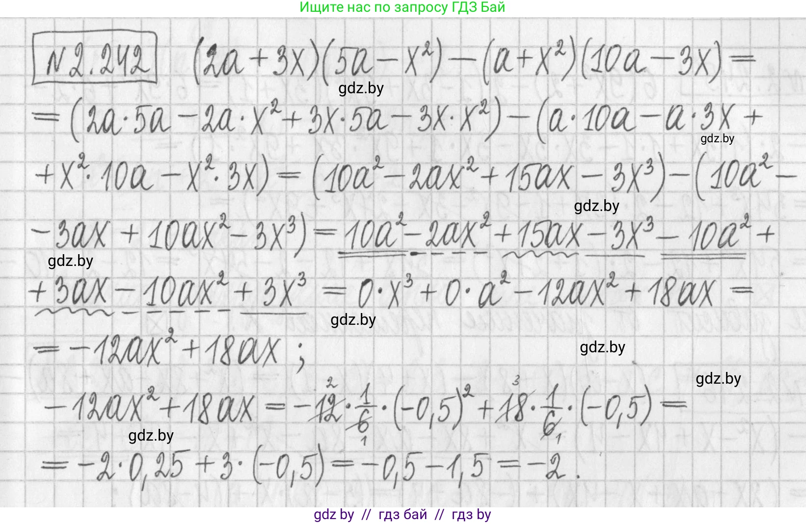
2.242. Упростите выражение $(2a + 3x)(5a - x^2) - (a + x^2)(10a - 3x)$ и найдите его значение при $a=\frac{1}{6}$ и $x = -0,5$.
Решение. №2.242 (с. 102)
Решение 2. №2.242 (с. 102)
Дано выражение: $(2a+3x)(5a-x^2) - (a+x^2)(10a-3x)$.
Чтобы упростить выражение, необходимо раскрыть скобки и привести подобные слагаемые.
1. Раскроем первую пару скобок (произведение многочленов):
$(2a+3x)(5a-x^2) = (2a)(5a) + (2a)(-x^2) + (3x)(5a) + (3x)(-x^2) = 10a^2 - 2ax^2 + 15ax - 3x^3$.
2. Раскроем вторую пару скобок:
$(a+x^2)(10a-3x) = (a)(10a) + (a)(-3x) + (x^2)(10a) + (x^2)(-3x) = 10a^2 - 3ax + 10ax^2 - 3x^3$.
3. Теперь вычтем второе полученное выражение из первого:
$(10a^2 - 2ax^2 + 15ax - 3x^3) - (10a^2 - 3ax + 10ax^2 - 3x^3)$
Раскроем скобки, учитывая знак минус перед ними:
$10a^2 - 2ax^2 + 15ax - 3x^3 - 10a^2 + 3ax - 10ax^2 + 3x^3$.
4. Сгруппируем и приведем подобные слагаемые:
$(10a^2 - 10a^2) + (15ax + 3ax) + (-2ax^2 - 10ax^2) + (-3x^3 + 3x^3)$
Результат сложения и вычитания подобных членов:
$0 + 18ax - 12ax^2 + 0 = 18ax - 12ax^2$.
Ответ: $18ax - 12ax^2$.
Подставим данные значения $a$ и $x$ в упрощенное выражение $18ax - 12ax^2$.
Для удобства вычислений представим десятичное число $x=-0,5$ в виде обыкновенной дроби: $x = -\frac{1}{2}$.
Подставляем значения в выражение:
$18 \cdot a \cdot x - 12 \cdot a \cdot x^2 = 18 \cdot (\frac{1}{6}) \cdot (-\frac{1}{2}) - 12 \cdot (\frac{1}{6}) \cdot (-\frac{1}{2})^2$.
Вычислим по действиям:
1) $18 \cdot \frac{1}{6} \cdot (-\frac{1}{2}) = \frac{18}{6} \cdot (-\frac{1}{2}) = 3 \cdot (-\frac{1}{2}) = -\frac{3}{2}$.
2) $(-\frac{1}{2})^2 = \frac{1}{4}$.
3) $12 \cdot \frac{1}{6} \cdot \frac{1}{4} = \frac{12}{6} \cdot \frac{1}{4} = 2 \cdot \frac{1}{4} = \frac{2}{4} = \frac{1}{2}$.
4) Находим разность результатов первого и третьего действий:
$-\frac{3}{2} - \frac{1}{2} = \frac{-3-1}{2} = \frac{-4}{2} = -2$.
Полученное значение является целым числом.
Ответ: -2.
Другие задания:
Помогло решение? Оставьте отзыв в комментариях ниже.
Присоединяйтесь к Телеграм-группе @gdz_by_belarus
ПрисоединитьсяМы подготовили для вас ответ c подробным объяснением домашего задания по алгебре за 7 класс, для упражнения номер 2.242 расположенного на странице 102 к учебнику 2022 года издания для учащихся школ и гимназий.
Теперь на нашем сайте ГДЗ.ТОП вы всегда легко и бесплатно найдёте условие с правильным ответом на вопрос «Как решить ДЗ» и «Как сделать» задание по алгебре к упражнению №2.242 (с. 102), авторов: Арефьева (Ирина Глебовна), Пирютко (Ольга Николаевна), учебного пособия издательства Народная асвета.