Номер 2.213, страница 96 - гдз по алгебре 7 класс учебник Арефьева, Пирютко

Алгебра, 7 класс Учебник, авторы: Арефьева Ирина Глебовна, Пирютко Ольга Николаевна, издательство Народная асвета, Минск, 2022, зелёного цвета

Авторы: Арефьева И. Г., Пирютко О. Н.

Тип: Учебник

Издательство: Народная асвета

Год издания: 2022 - 2026

Цвет обложки: зелёный с графиком

ISBN: ISBN 978-985-03-3770-2

Допущено Министерством образования Республики Беларусь

Популярные ГДЗ в 7 классе

Глава 2. Выражения и их преобразования. Параграф 10. Умножение и деление многочлена на одночлен - номер 2.213, страница 96.

№2.213 (с. 96)
Условие. №2.213 (с. 96)
скриншот условия
Алгебра, 7 класс Учебник, авторы: Арефьева Ирина Глебовна, Пирютко Ольга Николаевна, издательство Народная асвета, Минск, 2022, зелёного цвета, страница 96, номер 2.213, Условие

2.213. Выполните умножение:

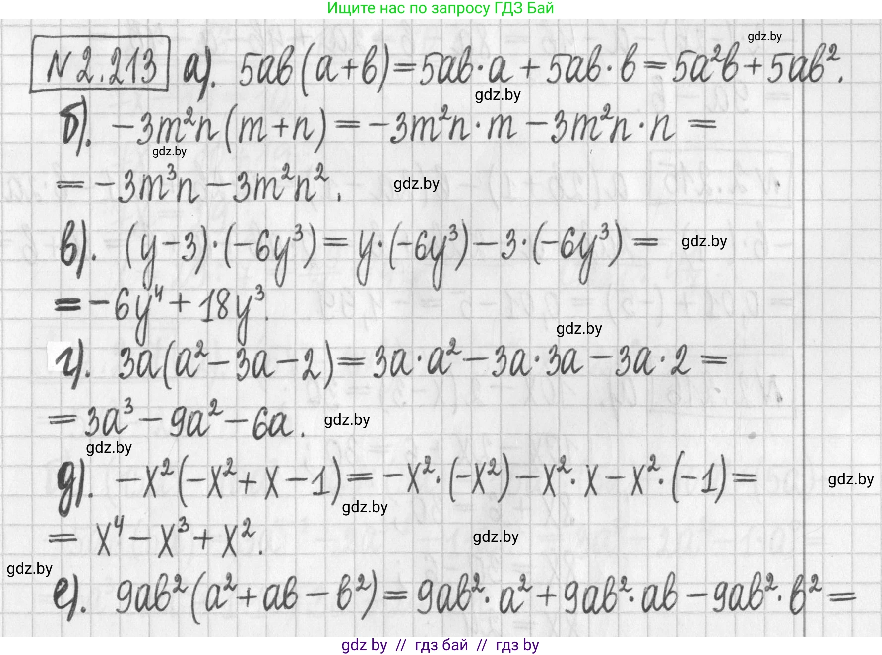
а) $5ab(a + b);$

б) $-3m^2n(m + n);$

в) $(y - 3) \cdot (-6y^3);$

г) $3a(a^2 - 3a - 2);$

д) $-x^2(-x^2 + x - 1);$

е) $9ab^2(a^2 + ab - b^2).$

Решение. №2.213 (с. 96)
Алгебра, 7 класс Учебник, авторы: Арефьева Ирина Глебовна, Пирютко Ольга Николаевна, издательство Народная асвета, Минск, 2022, зелёного цвета, страница 96, номер 2.213, Решение Алгебра, 7 класс Учебник, авторы: Арефьева Ирина Глебовна, Пирютко Ольга Николаевна, издательство Народная асвета, Минск, 2022, зелёного цвета, страница 96, номер 2.213, Решение (продолжение 2)
Решение 2. №2.213 (с. 96)

а) Чтобы выполнить умножение одночлена на многочлен, необходимо умножить этот одночлен на каждый член многочлена, используя распределительное свойство умножения $c(x+y) = cx+cy$.
Для выражения $5ab(a + b)$ умножим $5ab$ на $a$ и на $b$:

$5ab(a + b) = (5ab \cdot a) + (5ab \cdot b)$

Применяя свойство степеней $x^m \cdot x^n = x^{m+n}$, получаем:

$5a^{1+1}b + 5ab^{1+1} = 5a^2b + 5ab^2$

Ответ: $5a^2b + 5ab^2$

б) Умножим одночлен $-3m^2n$ на каждый член многочлена $(m + n)$:

$-3m^2n(m + n) = (-3m^2n \cdot m) + (-3m^2n \cdot n)$

Упрощаем, складывая показатели степеней при одинаковых основаниях:

$-3m^{2+1}n - 3m^2n^{1+1} = -3m^3n - 3m^2n^2$

Ответ: $-3m^3n - 3m^2n^2$

в) Умножим каждый член многочлена $(y - 3)$ на одночлен $(-6y^3)$. Это эквивалентно умножению $(-6y^3)$ на $(y-3)$:

$(y - 3) \cdot (-6y^3) = (y \cdot (-6y^3)) + (-3 \cdot (-6y^3))$

Выполняем умножение:

$-6y^{1+3} + 18y^3 = -6y^4 + 18y^3$

Ответ: $-6y^4 + 18y^3$

г) Умножим одночлен $3a$ на каждый член многочлена $(a^2 - 3a - 2)$:

$3a(a^2 - 3a - 2) = (3a \cdot a^2) + (3a \cdot (-3a)) + (3a \cdot (-2))$

Выполняем умножение и упрощаем:

$3a^{1+2} - 9a^{1+1} - 6a = 3a^3 - 9a^2 - 6a$

Ответ: $3a^3 - 9a^2 - 6a$

д) Умножим одночлен $-x^2$ на каждый член многочлена $(-x^2 + x - 1)$, обращая внимание на знаки:

$-x^2(-x^2 + x - 1) = (-x^2 \cdot (-x^2)) + (-x^2 \cdot x) + (-x^2 \cdot (-1))$

Выполняем умножение:

$x^{2+2} - x^{2+1} + x^2 = x^4 - x^3 + x^2$

Ответ: $x^4 - x^3 + x^2$

е) Умножим одночлен $9ab^2$ на каждый член многочлена $(a^2 + ab - b^2)$:

$9ab^2(a^2 + ab - b^2) = (9ab^2 \cdot a^2) + (9ab^2 \cdot ab) + (9ab^2 \cdot (-b^2))$

Выполняем умножение, складывая показатели степеней для $a$ и $b$ соответственно:

$9a^{1+2}b^2 + 9a^{1+1}b^{2+1} - 9ab^{2+2} = 9a^3b^2 + 9a^2b^3 - 9ab^4$

Ответ: $9a^3b^2 + 9a^2b^3 - 9ab^4$

Помогло решение? Оставьте отзыв в комментариях ниже.

Присоединяйтесь к Телеграм-группе @gdz_by_belarus

Присоединиться

Мы подготовили для вас ответ c подробным объяснением домашего задания по алгебре за 7 класс, для упражнения номер 2.213 расположенного на странице 96 к учебнику 2022 года издания для учащихся школ и гимназий.

Теперь на нашем сайте ГДЗ.ТОП вы всегда легко и бесплатно найдёте условие с правильным ответом на вопрос «Как решить ДЗ» и «Как сделать» задание по алгебре к упражнению №2.213 (с. 96), авторов: Арефьева (Ирина Глебовна), Пирютко (Ольга Николаевна), учебного пособия издательства Народная асвета.