Номер 2.201, страница 94 - гдз по алгебре 7 класс учебник Арефьева, Пирютко

Алгебра, 7 класс Учебник, авторы: Арефьева Ирина Глебовна, Пирютко Ольга Николаевна, издательство Народная асвета, Минск, 2022, зелёного цвета

Авторы: Арефьева И. Г., Пирютко О. Н.

Тип: Учебник

Издательство: Народная асвета

Год издания: 2022 - 2026

Цвет обложки: зелёный с графиком

ISBN: ISBN 978-985-03-3770-2

Допущено Министерством образования Республики Беларусь

Популярные ГДЗ в 7 классе

Глава 2. Выражения и их преобразования. Параграф 10. Умножение и деление многочлена на одночлен - номер 2.201, страница 94.

№2.201 (с. 94)
Условие. №2.201 (с. 94)
скриншот условия
Алгебра, 7 класс Учебник, авторы: Арефьева Ирина Глебовна, Пирютко Ольга Николаевна, издательство Народная асвета, Минск, 2022, зелёного цвета, страница 94, номер 2.201, Условие

2.201. Выполните умножение:

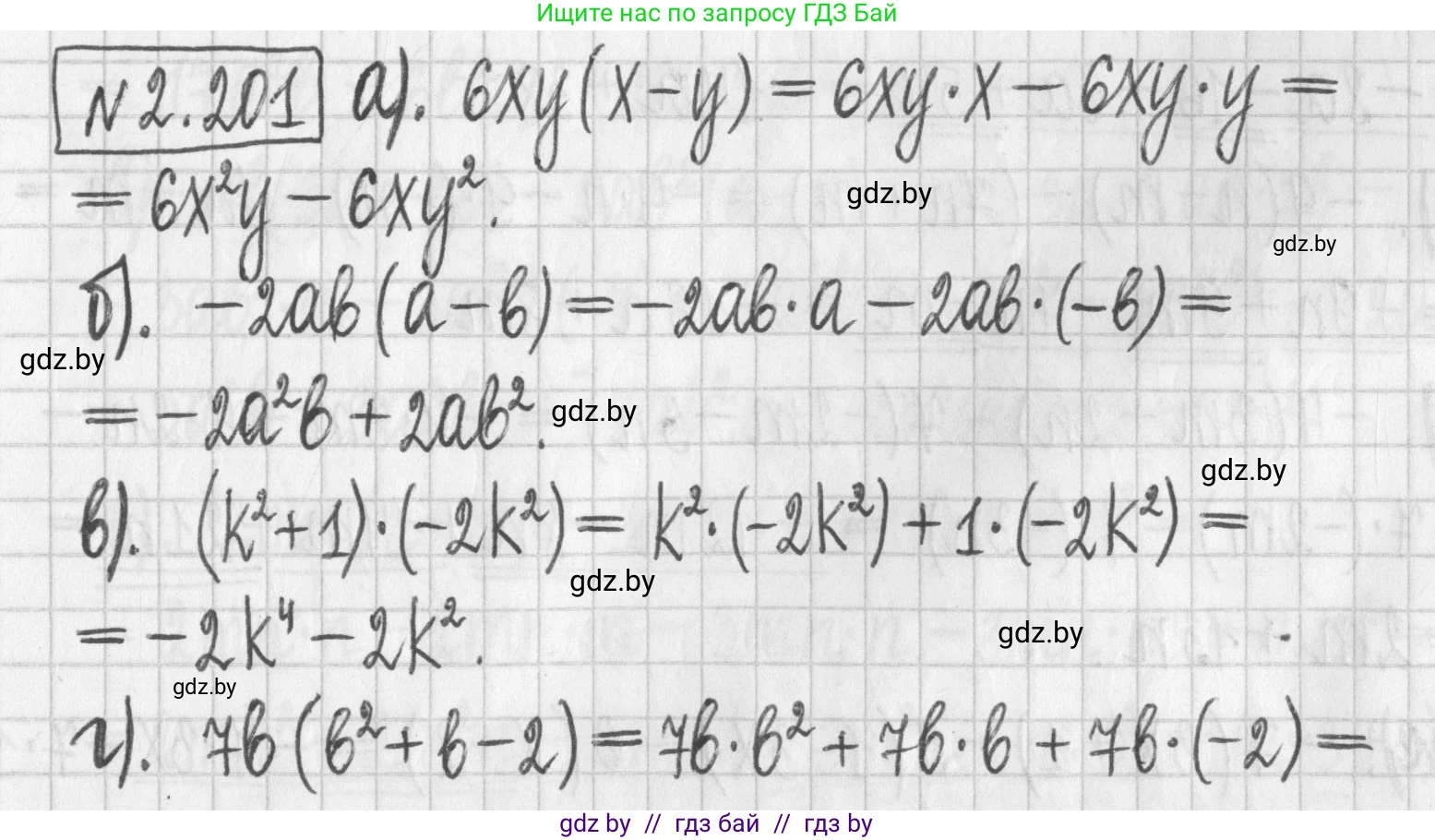
а) $6xy(x - y);$

б) $-2ab(a - b);$

в) $(k^2 + 1) \cdot (-2k^2);$

г) $7b(b^2 + b - 2);$

д) $-n^2(2n^3 + 6n^2 - n);$

е) $5x^2y(-x^2 - xy + y^2).$

Решение. №2.201 (с. 94)
Алгебра, 7 класс Учебник, авторы: Арефьева Ирина Глебовна, Пирютко Ольга Николаевна, издательство Народная асвета, Минск, 2022, зелёного цвета, страница 94, номер 2.201, Решение Алгебра, 7 класс Учебник, авторы: Арефьева Ирина Глебовна, Пирютко Ольга Николаевна, издательство Народная асвета, Минск, 2022, зелёного цвета, страница 94, номер 2.201, Решение (продолжение 2)
Решение 2. №2.201 (с. 94)

а) $6xy(x - y)$
Чтобы умножить одночлен на многочлен, необходимо умножить этот одночлен на каждый член многочлена и полученные произведения сложить. Это называется распределительным свойством умножения.
$6xy(x - y) = (6xy \cdot x) - (6xy \cdot y)$
При умножении степеней с одинаковыми основаниями их показатели складываются ($a^m \cdot a^n = a^{m+n}$):
$6x \cdot x \cdot y - 6x \cdot y \cdot y = 6x^{1+1}y - 6xy^{1+1} = 6x^2y - 6xy^2$
Ответ: $6x^2y - 6xy^2$

б) $-2ab(a - b)$
Применим распределительное свойство умножения:
$-2ab(a - b) = (-2ab \cdot a) - (-2ab \cdot b)$
Выполним умножение, обращая внимание на знаки:
$-2a^{1+1}b - (-2ab^{1+1}) = -2a^2b + 2ab^2$
Ответ: $-2a^2b + 2ab^2$

в) $(k^2 + 1) \cdot (-2k^2)$
Умножим каждый член многочлена $(k^2 + 1)$ на одночлен $(-2k^2)$:
$(k^2 \cdot (-2k^2)) + (1 \cdot (-2k^2))$
Упростим каждое слагаемое:
$-2k^{2+2} - 2k^2 = -2k^4 - 2k^2$
Ответ: $-2k^4 - 2k^2$

г) $7b(b^2 + b - 2)$
Умножим одночлен $7b$ на каждый член многочлена $(b^2 + b - 2)$:
$(7b \cdot b^2) + (7b \cdot b) - (7b \cdot 2)$
Выполним умножение:
$7b^{1+2} + 7b^{1+1} - 14b = 7b^3 + 7b^2 - 14b$
Ответ: $7b^3 + 7b^2 - 14b$

д) $-n^2(2n^3 + 6n^2 - n)$
Умножим одночлен $-n^2$ на каждый член многочлена в скобках:
$(-n^2 \cdot 2n^3) + (-n^2 \cdot 6n^2) - (-n^2 \cdot n)$
Упростим выражение, помня про правило знаков и сложение степеней:
$-2n^{2+3} - 6n^{2+2} + n^{2+1} = -2n^5 - 6n^4 + n^3$
Ответ: $-2n^5 - 6n^4 + n^3$

е) $5x^2y(-x^2 - xy + y^2)$
Применим распределительное свойство, умножая $5x^2y$ на каждый член в скобках:
$(5x^2y \cdot (-x^2)) + (5x^2y \cdot (-xy)) + (5x^2y \cdot y^2)$
Выполним умножение для каждого члена:
$-5x^{2+2}y - 5x^{2+1}y^{1+1} + 5x^2y^{1+2} = -5x^4y - 5x^3y^2 + 5x^2y^3$
Ответ: $-5x^4y - 5x^3y^2 + 5x^2y^3$

Помогло решение? Оставьте отзыв в комментариях ниже.

Присоединяйтесь к Телеграм-группе @gdz_by_belarus

Присоединиться

Мы подготовили для вас ответ c подробным объяснением домашего задания по алгебре за 7 класс, для упражнения номер 2.201 расположенного на странице 94 к учебнику 2022 года издания для учащихся школ и гимназий.

Теперь на нашем сайте ГДЗ.ТОП вы всегда легко и бесплатно найдёте условие с правильным ответом на вопрос «Как решить ДЗ» и «Как сделать» задание по алгебре к упражнению №2.201 (с. 94), авторов: Арефьева (Ирина Глебовна), Пирютко (Ольга Николаевна), учебного пособия издательства Народная асвета.