Номер 2.2, страница 48 - гдз по алгебре 7 класс учебник Арефьева, Пирютко
Авторы: Арефьева И. Г., Пирютко О. Н.
Тип: Учебник
Издательство: Народная асвета
Год издания: 2022 - 2026
Цвет обложки: зелёный с графиком
ISBN: ISBN 978-985-03-3770-2
Допущено Министерством образования Республики Беларусь
Популярные ГДЗ в 7 классе
Глава 2. Выражения и их преобразования. Параграф 4. Числовые выражения и выражения с переменными - номер 2.2, страница 48.
№2.2 (с. 48)
Условие. №2.2 (с. 48)
скриншот условия
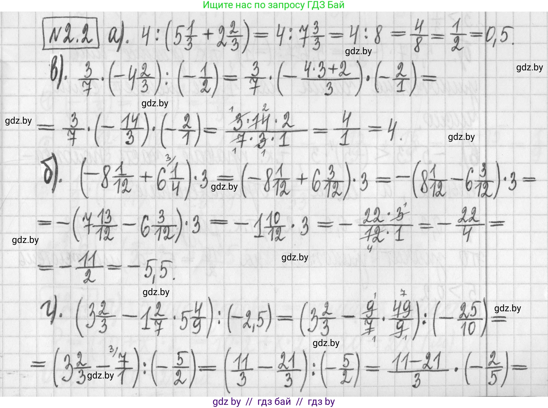
2.2. Найдите значение выражения:
а) $4 \div \left(5 \frac{1}{3} + 2 \frac{2}{3}\right);$
б) $\left(-8 \frac{1}{12} + 6 \frac{1}{4}\right) \cdot 3;$
в) $\frac{3}{7} \cdot \left(-4 \frac{2}{3}\right) \div \left(-\frac{1}{2}\right);$
г) $\left(3 \frac{2}{3} - 1 \frac{2}{7} \cdot 5 \frac{4}{9}\right) \div (-2.5).$
Решение. №2.2 (с. 48)
Решение 2. №2.2 (с. 48)
а) $4 : (5\frac{1}{3} + 2\frac{2}{3})$
1. Первым действием выполним сложение в скобках. Сложим целые и дробные части смешанных чисел:
$5\frac{1}{3} + 2\frac{2}{3} = (5+2) + (\frac{1}{3} + \frac{2}{3}) = 7 + \frac{1+2}{3} = 7 + \frac{3}{3} = 7 + 1 = 8$
2. Вторым действием выполним деление:
$4 : 8 = \frac{4}{8} = \frac{1}{2}$
Ответ: $\frac{1}{2}$
б) $(-8\frac{1}{12} + 6\frac{1}{4}) \cdot 3$
1. Выполним действие в скобках. Для этого приведем дроби к общему знаменателю 12:
$6\frac{1}{4} = 6\frac{1 \cdot 3}{4 \cdot 3} = 6\frac{3}{12}$
Теперь выражение в скобках имеет вид: $-8\frac{1}{12} + 6\frac{3}{12}$.
Для удобства вычислений переведем смешанные числа в неправильные дроби:
$-8\frac{1}{12} = -\frac{8 \cdot 12 + 1}{12} = -\frac{97}{12}$
$6\frac{3}{12} = \frac{6 \cdot 12 + 3}{12} = \frac{72+3}{12} = \frac{75}{12}$
Теперь сложим дроби:
$-\frac{97}{12} + \frac{75}{12} = \frac{-97+75}{12} = -\frac{22}{12} = -\frac{11}{6}$
2. Выполним умножение:
$-\frac{11}{6} \cdot 3 = -\frac{11 \cdot 3}{6} = -\frac{11}{2}$
3. Преобразуем неправильную дробь в смешанное число, выделив целую часть:
$-\frac{11}{2} = -5\frac{1}{2}$
Ответ: $-5\frac{1}{2}$
в) $\frac{3}{7} \cdot (-4\frac{2}{3}) : (-\frac{1}{2})$
1. Выполним умножение. Сначала переведем смешанное число в неправильную дробь:
$-4\frac{2}{3} = -\frac{4 \cdot 3 + 2}{3} = -\frac{14}{3}$
Теперь умножим дроби, сократив общие множители:
$\frac{3}{7} \cdot (-\frac{14}{3}) = -\frac{3 \cdot 14}{7 \cdot 3} = -\frac{\cancel{3} \cdot 14}{\cancel{3} \cdot 7} = -\frac{14}{7} = -2$
2. Выполним деление. Деление на дробь равносильно умножению на обратную ей дробь:
$-2 : (-\frac{1}{2}) = -2 \cdot (-2) = 4$
Ответ: $4$
г) $(3\frac{2}{3} - 1\frac{2}{7} \cdot 5\frac{4}{9}) : (-2,5)$
1. Первым действием выполним умножение в скобках. Переведем смешанные числа в неправильные дроби:
$1\frac{2}{7} = \frac{1 \cdot 7 + 2}{7} = \frac{9}{7}$
$5\frac{4}{9} = \frac{5 \cdot 9 + 4}{9} = \frac{45+4}{9} = \frac{49}{9}$
Выполним умножение, сократив дроби:
$\frac{9}{7} \cdot \frac{49}{9} = \frac{\cancel{9} \cdot 49}{7 \cdot \cancel{9}} = \frac{49}{7} = 7$
2. Выполним вычитание в скобках:
$3\frac{2}{3} - 7 = \frac{11}{3} - \frac{21}{3} = \frac{11-21}{3} = -\frac{10}{3}$
3. Выполним деление. Переведем десятичную дробь $-2,5$ в обыкновенную:
$-2,5 = -2\frac{5}{10} = -2\frac{1}{2} = -\frac{5}{2}$
Теперь разделим, заменив деление умножением на обратную дробь:
$-\frac{10}{3} : (-\frac{5}{2}) = -\frac{10}{3} \cdot (-\frac{2}{5}) = \frac{10 \cdot 2}{3 \cdot 5} = \frac{20}{15} = \frac{4}{3}$
4. Преобразуем неправильную дробь в смешанное число, выделив целую часть:
$\frac{4}{3} = 1\frac{1}{3}$
Ответ: $1\frac{1}{3}$
Другие задания:
Помогло решение? Оставьте отзыв в комментариях ниже.
Присоединяйтесь к Телеграм-группе @gdz_by_belarus
ПрисоединитьсяМы подготовили для вас ответ c подробным объяснением домашего задания по алгебре за 7 класс, для упражнения номер 2.2 расположенного на странице 48 к учебнику 2022 года издания для учащихся школ и гимназий.
Теперь на нашем сайте ГДЗ.ТОП вы всегда легко и бесплатно найдёте условие с правильным ответом на вопрос «Как решить ДЗ» и «Как сделать» задание по алгебре к упражнению №2.2 (с. 48), авторов: Арефьева (Ирина Глебовна), Пирютко (Ольга Николаевна), учебного пособия издательства Народная асвета.