Номер 2.139, страница 77 - гдз по алгебре 7 класс учебник Арефьева, Пирютко

Алгебра, 7 класс Учебник, авторы: Арефьева Ирина Глебовна, Пирютко Ольга Николаевна, издательство Народная асвета, Минск, 2022, зелёного цвета

Авторы: Арефьева И. Г., Пирютко О. Н.

Тип: Учебник

Издательство: Народная асвета

Год издания: 2022 - 2026

Цвет обложки: зелёный с графиком

ISBN: ISBN 978-985-03-3770-2

Допущено Министерством образования Республики Беларусь

Популярные ГДЗ в 7 классе

Глава 2. Выражения и их преобразования. Параграф 7. Действия с одночленами - номер 2.139, страница 77.

№2.139 (с. 77)
Условие. №2.139 (с. 77)
скриншот условия
Алгебра, 7 класс Учебник, авторы: Арефьева Ирина Глебовна, Пирютко Ольга Николаевна, издательство Народная асвета, Минск, 2022, зелёного цвета, страница 77, номер 2.139, Условие

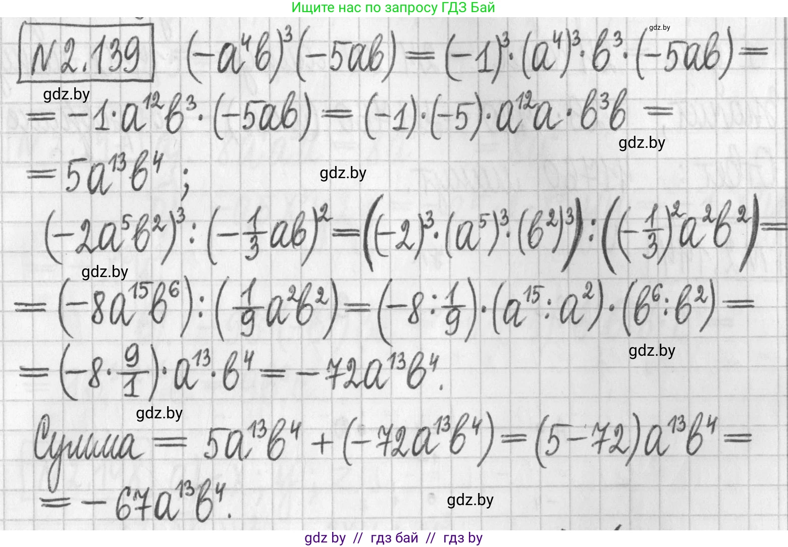
2.139. Представьте в виде одночленов стандартного вида выражения $(-a^4b)^3(-5ab)$ и $(-2a^5b^2)^3 : (-\frac{1}{3}ab)^2$. Выполните сложение полученных одночленов.

Решение. №2.139 (с. 77)
Алгебра, 7 класс Учебник, авторы: Арефьева Ирина Глебовна, Пирютко Ольга Николаевна, издательство Народная асвета, Минск, 2022, зелёного цвета, страница 77, номер 2.139, Решение
Решение 2. №2.139 (с. 77)

Для решения задачи необходимо выполнить три шага: сначала привести к стандартному виду первый одночлен, затем второй, и в конце сложить полученные результаты.

1. Представим в виде одночлена стандартного вида выражение $(-a^4b)^3(-5ab)$

Сначала возведем в куб первый множитель, используя свойства степеней:

$(-a^4b)^3 = (-1)^3 \cdot (a^4)^3 \cdot b^3 = -1 \cdot a^{4 \cdot 3} \cdot b^3 = -a^{12}b^3$

Теперь умножим полученный результат на второй множитель $(-5ab)$:

$(-a^{12}b^3) \cdot (-5ab) = (-1 \cdot -5) \cdot (a^{12} \cdot a^1) \cdot (b^3 \cdot b^1) = 5a^{12+1}b^{3+1} = 5a^{13}b^4$

Ответ: $5a^{13}b^4$

2. Представим в виде одночлена стандартного вида выражение $(-2a^5b^2)^3 : (-\frac{1}{3}ab)^2$

Сначала возведем в степень делимое и делитель по отдельности.

Возведение в степень делимого: $(-2a^5b^2)^3 = (-2)^3 \cdot (a^5)^3 \cdot (b^2)^3 = -8a^{15}b^6$.

Возведение в степень делителя: $(-\frac{1}{3}ab)^2 = (-\frac{1}{3})^2 \cdot a^2 \cdot b^2 = \frac{1}{9}a^2b^2$.

Теперь выполним деление полученных одночленов:

$(-8a^{15}b^6) : (\frac{1}{9}a^2b^2) = (\frac{-8}{1/9}) \cdot (\frac{a^{15}}{a^2}) \cdot (\frac{b^6}{b^2}) = (-8 \cdot 9) \cdot a^{15-2} \cdot b^{6-2} = -72a^{13}b^4$.

Ответ: $-72a^{13}b^4$

3. Выполним сложение полученных одночленов

Складываем одночлены, полученные в результате упрощений в пунктах 1 и 2:

$5a^{13}b^4 + (-72a^{13}b^4)$

Так как одночлены имеют одинаковую буквенную часть ($a^{13}b^4$), они являются подобными. Для их сложения нужно сложить их числовые коэффициенты:

$(5 - 72)a^{13}b^4 = -67a^{13}b^4$.

Ответ: $-67a^{13}b^4$

Помогло решение? Оставьте отзыв в комментариях ниже.

Присоединяйтесь к Телеграм-группе @gdz_by_belarus

Присоединиться

Мы подготовили для вас ответ c подробным объяснением домашего задания по алгебре за 7 класс, для упражнения номер 2.139 расположенного на странице 77 к учебнику 2022 года издания для учащихся школ и гимназий.

Теперь на нашем сайте ГДЗ.ТОП вы всегда легко и бесплатно найдёте условие с правильным ответом на вопрос «Как решить ДЗ» и «Как сделать» задание по алгебре к упражнению №2.139 (с. 77), авторов: Арефьева (Ирина Глебовна), Пирютко (Ольга Николаевна), учебного пособия издательства Народная асвета.