Номер 2.127, страница 76 - гдз по алгебре 7 класс учебник Арефьева, Пирютко
Авторы: Арефьева И. Г., Пирютко О. Н.
Тип: Учебник
Издательство: Народная асвета
Год издания: 2022 - 2026
Цвет обложки: зелёный с графиком
ISBN: ISBN 978-985-03-3770-2
Допущено Министерством образования Республики Беларусь
Популярные ГДЗ в 7 классе
Глава 2. Выражения и их преобразования. Параграф 7. Действия с одночленами - номер 2.127, страница 76.
№2.127 (с. 76)
Условие. №2.127 (с. 76)
скриншот условия
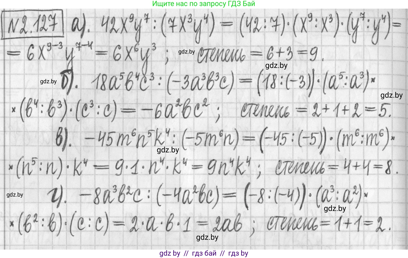
2.127. Выполните деление одночленов:
а) $42x^9y^7 : (7x^3y^4);$
б) $18a^5b^4c^3 : (-3a^3b^3c);$
в) $-45m^6n^5k^4 : (-5m^6n);$
г) $-8a^3b^2c : (-4a^2bc).$
Определите степень полученного результата.
Решение. №2.127 (с. 76)
Решение 2. №2.127 (с. 76)
Чтобы разделить один одночлен на другой, необходимо выполнить деление их коэффициентов и для каждой переменной вычесть показатель степени делителя из показателя степени делимого, используя правило $ \frac{a^m}{a^n} = a^{m-n} $. Степень полученного одночлена - это сумма показателей степеней всех его переменных.
а) $ 42x^9y^7 : (7x^3y^4) $
Представим деление в виде дроби: $ \frac{42x^9y^7}{7x^3y^4} $.
1. Делим коэффициенты: $ 42 : 7 = 6 $.
2. Делим переменные:
- $ x^9 : x^3 = x^{9-3} = x^6 $
- $ y^7 : y^4 = y^{7-3} = y^3 $
Результат деления: $ 6x^6y^3 $.
3. Определяем степень: сумма показателей степеней $ 6 + 3 = 9 $.
Ответ: Результат деления $ 6x^6y^3 $, степень полученного одночлена равна 9.
б) $ 18a^5b^4c^3 : (-3a^3b^3c) $
Представим деление в виде дроби: $ \frac{18a^5b^4c^3}{-3a^3b^3c} $.
1. Делим коэффициенты: $ 18 : (-3) = -6 $.
2. Делим переменные (помним, что $ c = c^1 $):
- $ a^5 : a^3 = a^{5-3} = a^2 $
- $ b^4 : b^3 = b^{4-3} = b^1 = b $
- $ c^3 : c^1 = c^{3-1} = c^2 $
Результат деления: $ -6a^2bc^2 $.
3. Определяем степень: сумма показателей степеней $ 2 + 1 + 2 = 5 $.
Ответ: Результат деления $ -6a^2bc^2 $, степень полученного одночлена равна 5.
в) $ -45m^6n^5k^4 : (-5m^6n) $
Представим деление в виде дроби: $ \frac{-45m^6n^5k^4}{-5m^6n} $.
1. Делим коэффициенты: $ -45 : (-5) = 9 $.
2. Делим переменные (помним, что $ n = n^1 $):
- $ m^6 : m^6 = m^{6-6} = m^0 = 1 $
- $ n^5 : n^1 = n^{5-1} = n^4 $
- $ k^4 $ остается без изменений, так как в делителе нет переменной $k$.
Результат деления: $ 9 \cdot 1 \cdot n^4k^4 = 9n^4k^4 $.
3. Определяем степень: сумма показателей степеней $ 4 + 4 = 8 $.
Ответ: Результат деления $ 9n^4k^4 $, степень полученного одночлена равна 8.
г) $ -8a^3b^2c : (-4a^2bc) $
Представим деление в виде дроби: $ \frac{-8a^3b^2c}{-4a^2bc} $.
1. Делим коэффициенты: $ -8 : (-4) = 2 $.
2. Делим переменные (помним, что $ b = b^1, c = c^1 $):
- $ a^3 : a^2 = a^{3-2} = a^1 = a $
- $ b^2 : b^1 = b^{2-1} = b^1 = b $
- $ c^1 : c^1 = c^{1-1} = c^0 = 1 $
Результат деления: $ 2 \cdot a \cdot b \cdot 1 = 2ab $.
3. Определяем степень: сумма показателей степеней $ 1 + 1 = 2 $.
Ответ: Результат деления $ 2ab $, степень полученного одночлена равна 2.
Другие задания:
Помогло решение? Оставьте отзыв в комментариях ниже.
Присоединяйтесь к Телеграм-группе @gdz_by_belarus
ПрисоединитьсяМы подготовили для вас ответ c подробным объяснением домашего задания по алгебре за 7 класс, для упражнения номер 2.127 расположенного на странице 76 к учебнику 2022 года издания для учащихся школ и гимназий.
Теперь на нашем сайте ГДЗ.ТОП вы всегда легко и бесплатно найдёте условие с правильным ответом на вопрос «Как решить ДЗ» и «Как сделать» задание по алгебре к упражнению №2.127 (с. 76), авторов: Арефьева (Ирина Глебовна), Пирютко (Ольга Николаевна), учебного пособия издательства Народная асвета.