Номер 2.96, страница 72 - гдз по алгебре 7 класс учебник Арефьева, Пирютко

Алгебра, 7 класс Учебник, авторы: Арефьева Ирина Глебовна, Пирютко Ольга Николаевна, издательство Народная асвета, Минск, 2022, зелёного цвета

Авторы: Арефьева И. Г., Пирютко О. Н.

Тип: Учебник

Издательство: Народная асвета

Год издания: 2022 - 2026

Цвет обложки: зелёный с графиком

ISBN: ISBN 978-985-03-3770-2

Допущено Министерством образования Республики Беларусь

Популярные ГДЗ в 7 классе

Глава 2. Выражения и их преобразования. Параграф 7. Действия с одночленами - номер 2.96, страница 72.

№2.96 (с. 72)
Условие. №2.96 (с. 72)
скриншот условия
Алгебра, 7 класс Учебник, авторы: Арефьева Ирина Глебовна, Пирютко Ольга Николаевна, издательство Народная асвета, Минск, 2022, зелёного цвета, страница 72, номер 2.96, Условие

2.96. Найдите произведение одночленов:

a) $\frac{2}{3}a^4b^3$ и $0,75a^4bc^2$;

б) $-\frac{3}{7}x^5y^2z$ и $1,4xy^2z^6$;

в) $-a^2b^7$ и $a^3c^4$;

г) $0,2m^4n$ и $5mnk$.

Найдите коэффициент полученного произведения.

Решение. №2.96 (с. 72)
Алгебра, 7 класс Учебник, авторы: Арефьева Ирина Глебовна, Пирютко Ольга Николаевна, издательство Народная асвета, Минск, 2022, зелёного цвета, страница 72, номер 2.96, Решение
Решение 2. №2.96 (с. 72)

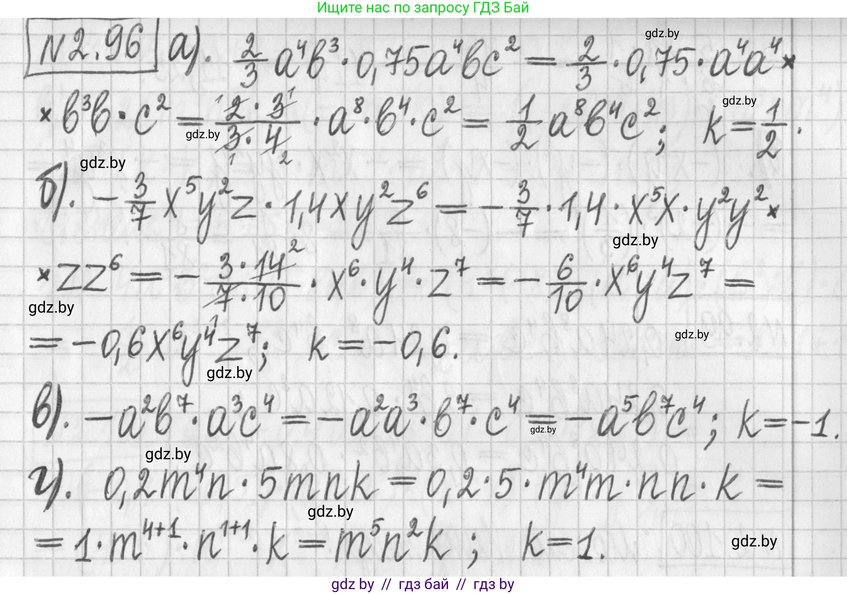
а) Чтобы найти произведение одночленов $ \frac{2}{3}a^4b^3 $ и $ 0,75a^4bc^2 $, нужно перемножить их коэффициенты и соответствующие переменные.
Сначала перемножим коэффициенты, представив десятичную дробь $0,75$ в виде обыкновенной: $0,75 = \frac{3}{4}$.
Произведение коэффициентов: $ \frac{2}{3} \cdot \frac{3}{4} = \frac{2 \cdot 3}{3 \cdot 4} = \frac{6}{12} = \frac{1}{2} $.
Теперь перемножим переменные, используя правило умножения степеней с одинаковыми основаниями ($x^m \cdot x^n = x^{m+n}$):
$ (a^4 \cdot a^4) \cdot (b^3 \cdot b^1) \cdot c^2 = a^{4+4}b^{3+1}c^2 = a^8b^4c^2 $.
Объединив результаты, получаем итоговое произведение: $ \frac{1}{2}a^8b^4c^2 $. Коэффициент этого одночлена равен $ \frac{1}{2} $.

Ответ: произведение равно $ \frac{1}{2}a^8b^4c^2 $, коэффициент равен $ \frac{1}{2} $.

б) Чтобы найти произведение одночленов $ -\frac{3}{7}x^5y^2z $ и $ 1,4xy^2z^6 $, перемножим их коэффициенты и переменные.
Сначала перемножим коэффициенты, представив $1,4$ в виде обыкновенной дроби: $1,4 = \frac{14}{10} = \frac{7}{5}$.
Произведение коэффициентов: $ -\frac{3}{7} \cdot \frac{7}{5} = -\frac{3 \cdot 7}{7 \cdot 5} = -\frac{3}{5} $.
Теперь перемножим переменные:
$ (x^5 \cdot x^1) \cdot (y^2 \cdot y^2) \cdot (z^1 \cdot z^6) = x^{5+1}y^{2+2}z^{1+6} = x^6y^4z^7 $.
Итоговое произведение: $ -\frac{3}{5}x^6y^4z^7 $. Коэффициент этого одночлена равен $ -\frac{3}{5} $.

Ответ: произведение равно $ -\frac{3}{5}x^6y^4z^7 $, коэффициент равен $ -\frac{3}{5} $.

в) Чтобы найти произведение одночленов $ -a^2b^7 $ и $ a^3c^4 $, перемножим их.
Коэффициент первого одночлена $ -a^2b^7 $ равен $-1$, а второго $ a^3c^4 $ равен $1$.
Произведение коэффициентов: $ -1 \cdot 1 = -1 $.
Произведение переменных:
$ (a^2 \cdot a^3) \cdot b^7 \cdot c^4 = a^{2+3}b^7c^4 = a^5b^7c^4 $.
Итоговое произведение: $ -1 \cdot a^5b^7c^4 = -a^5b^7c^4 $. Коэффициент равен $-1$.

Ответ: произведение равно $ -a^5b^7c^4 $, коэффициент равен $-1$.

г) Чтобы найти произведение одночленов $ 0,2m^4n $ и $ 5mnk $, перемножим их.
Произведение коэффициентов: $ 0,2 \cdot 5 = 1 $.
Произведение переменных:
$ (m^4 \cdot m^1) \cdot (n^1 \cdot n^1) \cdot k = m^{4+1}n^{1+1}k = m^5n^2k $.
Итоговое произведение: $ 1 \cdot m^5n^2k = m^5n^2k $. Коэффициент равен $1$.

Ответ: произведение равно $ m^5n^2k $, коэффициент равен $1$.

Помогло решение? Оставьте отзыв в комментариях ниже.

Присоединяйтесь к Телеграм-группе @gdz_by_belarus

Присоединиться

Мы подготовили для вас ответ c подробным объяснением домашего задания по алгебре за 7 класс, для упражнения номер 2.96 расположенного на странице 72 к учебнику 2022 года издания для учащихся школ и гимназий.

Теперь на нашем сайте ГДЗ.ТОП вы всегда легко и бесплатно найдёте условие с правильным ответом на вопрос «Как решить ДЗ» и «Как сделать» задание по алгебре к упражнению №2.96 (с. 72), авторов: Арефьева (Ирина Глебовна), Пирютко (Ольга Николаевна), учебного пособия издательства Народная асвета.