Номер 4.125, страница 288 - гдз по алгебре 7 класс учебник Арефьева, Пирютко

Алгебра, 7 класс Учебник, авторы: Арефьева Ирина Глебовна, Пирютко Ольга Николаевна, издательство Народная асвета, Минск, 2022, зелёного цвета

Авторы: Арефьева И. Г., Пирютко О. Н.

Тип: Учебник

Издательство: Народная асвета

Год издания: 2022 - 2026

Цвет обложки: зелёный с графиком

ISBN: ISBN 978-985-03-3770-2

Допущено Министерством образования Республики Беларусь

Популярные ГДЗ в 7 классе

Глава 4. Системы двух линейных уравнений с двумя переменными. Параграф 24. Способы решения системы линейных уравнений с двумя переменными - номер 4.125, страница 288.

№4.125 (с. 288)
Условие. №4.125 (с. 288)
скриншот условия
Алгебра, 7 класс Учебник, авторы: Арефьева Ирина Глебовна, Пирютко Ольга Николаевна, издательство Народная асвета, Минск, 2022, зелёного цвета, страница 288, номер 4.125, Условие

4.125. Решите систему уравнений:

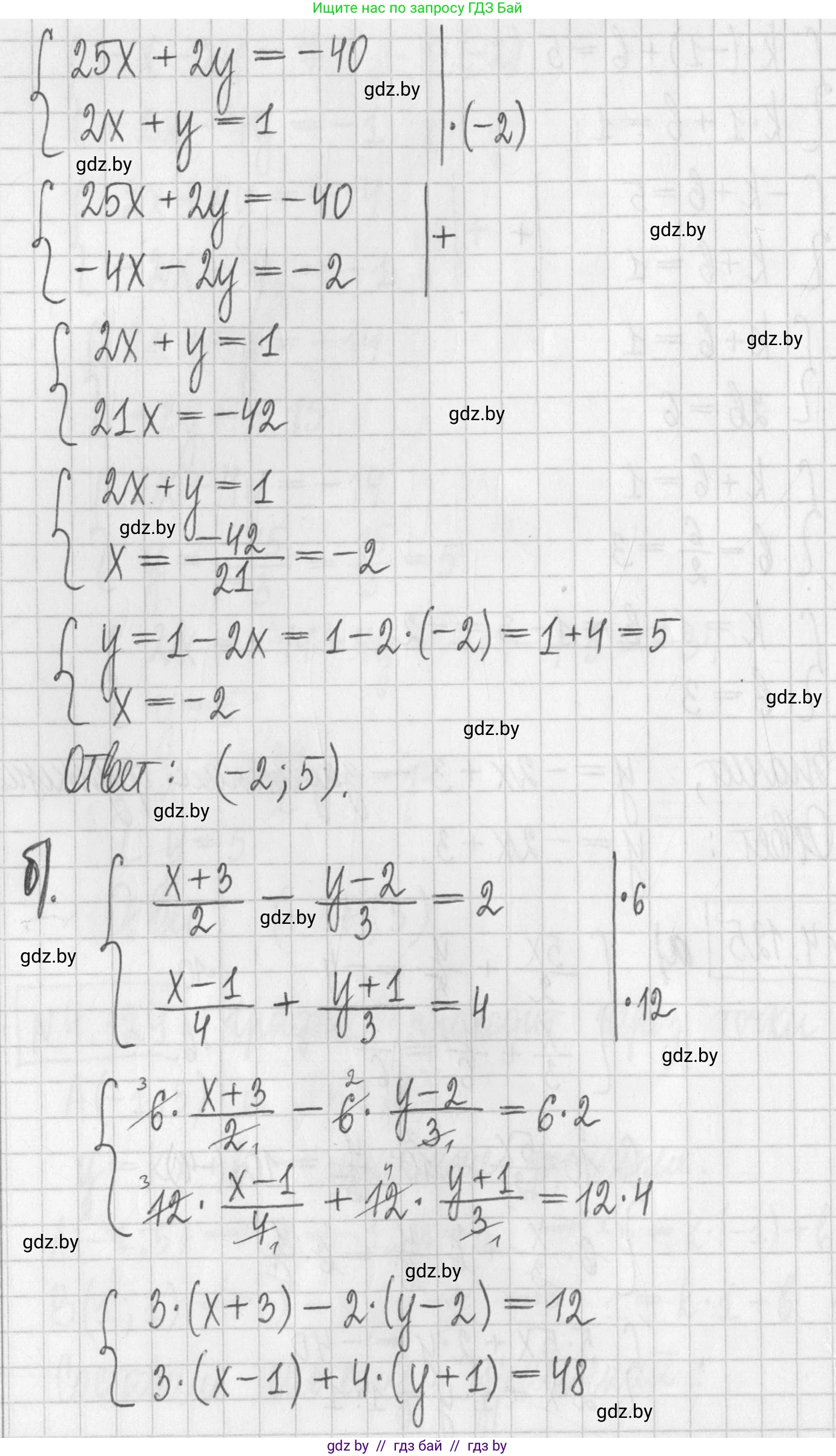
а) $\begin{cases} \frac{5x}{2} + \frac{y}{5} = -4, \\ \frac{x}{3} + \frac{y}{6} = \frac{1}{6}; \end{cases}$

б) $\begin{cases} \frac{x+3}{2} - \frac{y-2}{3} = 2, \\ \frac{x-1}{4} + \frac{y+1}{3} = 4; \end{cases}$

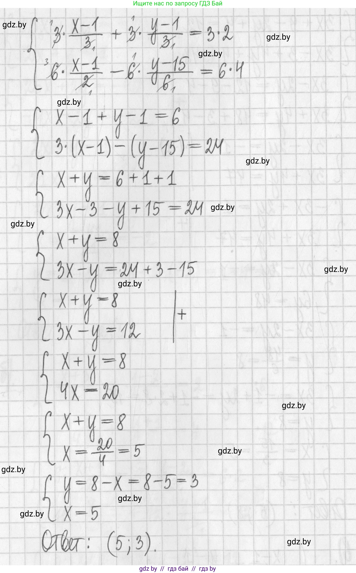
в) $\begin{cases} \frac{x-1}{3} + \frac{y-1}{3} = 2, \\ \frac{x-1}{2} - \frac{y-15}{6} = 4; \end{cases}$

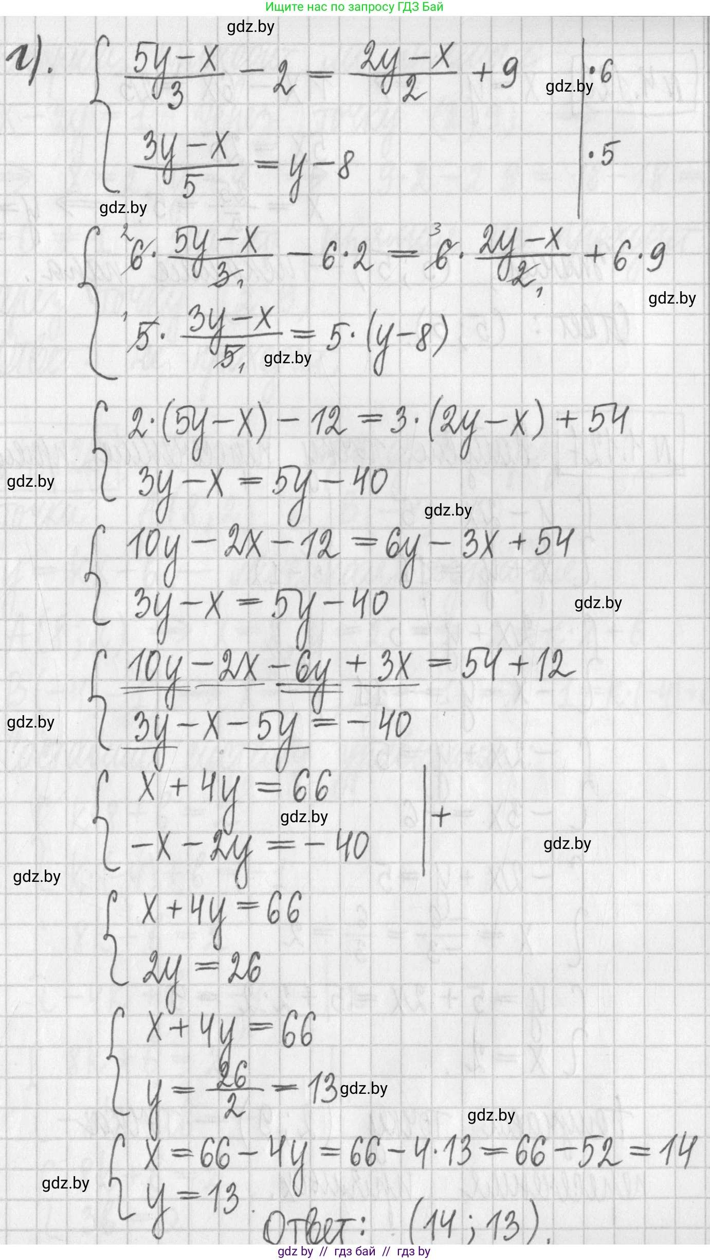
г) $\begin{cases} \frac{5y-x}{3} - 2 = \frac{2y-x}{2} + 9, \\ \frac{3y-x}{5} = y-8. \end{cases}$

Решение. №4.125 (с. 288)
Алгебра, 7 класс Учебник, авторы: Арефьева Ирина Глебовна, Пирютко Ольга Николаевна, издательство Народная асвета, Минск, 2022, зелёного цвета, страница 288, номер 4.125, Решение Алгебра, 7 класс Учебник, авторы: Арефьева Ирина Глебовна, Пирютко Ольга Николаевна, издательство Народная асвета, Минск, 2022, зелёного цвета, страница 288, номер 4.125, Решение (продолжение 2)
Решение 2. №4.125 (с. 288)

а) Дана система уравнений:

$$ \begin{cases} \frac{5x}{2} + \frac{y}{5} = -4 \\ \frac{x}{3} + \frac{y}{6} = \frac{1}{6} \end{cases} $$

Шаг 1: Упростим уравнения, избавившись от дробей. Умножим каждое уравнение на наименьшее общее кратное (НОК) его знаменателей.

Для первого уравнения НОК(2, 5) = 10. Умножаем на 10:

$10 \cdot \left(\frac{5x}{2}\right) + 10 \cdot \left(\frac{y}{5}\right) = 10 \cdot (-4)$

$25x + 2y = -40$

Для второго уравнения НОК(3, 6) = 6. Умножаем на 6:

$6 \cdot \left(\frac{x}{3}\right) + 6 \cdot \left(\frac{y}{6}\right) = 6 \cdot \left(\frac{1}{6}\right)$

$2x + y = 1$

Шаг 2: Решим полученную систему:

$$ \begin{cases} 25x + 2y = -40 \\ 2x + y = 1 \end{cases} $$

Из второго уравнения выразим $y$ через $x$:

$y = 1 - 2x$

Шаг 3: Подставим это выражение в первое уравнение:

$25x + 2(1 - 2x) = -40$

$25x + 2 - 4x = -40$

$21x = -42$

$x = \frac{-42}{21} = -2$

Шаг 4: Найдем $y$, подставив значение $x$ в выражение для $y$:

$y = 1 - 2(-2) = 1 + 4 = 5$

Ответ: $x = -2, y = 5$.

б) Дана система уравнений:

$$ \begin{cases} \frac{x+3}{2} - \frac{y-2}{3} = 2 \\ \frac{x-1}{4} + \frac{y+1}{3} = 4 \end{cases} $$

Шаг 1: Упростим уравнения, избавившись от дробей.

Для первого уравнения НОК(2, 3) = 6. Умножаем на 6:

$3(x+3) - 2(y-2) = 12$

$3x + 9 - 2y + 4 = 12$

$3x - 2y = -1$

Для второго уравнения НОК(4, 3) = 12. Умножаем на 12:

$3(x-1) + 4(y+1) = 48$

$3x - 3 + 4y + 4 = 48$

$3x + 4y = 47$

Шаг 2: Решим полученную систему:

$$ \begin{cases} 3x - 2y = -1 \\ 3x + 4y = 47 \end{cases} $$

Шаг 3: Используем метод сложения (вычитания). Вычтем первое уравнение из второго:

$(3x + 4y) - (3x - 2y) = 47 - (-1)$

$6y = 48$

$y = \frac{48}{6} = 8$

Шаг 4: Подставим значение $y$ в первое упрощенное уравнение:

$3x - 2(8) = -1$

$3x - 16 = -1$

$3x = 15$

$x = \frac{15}{3} = 5$

Ответ: $x = 5, y = 8$.

в) Дана система уравнений:

$$ \begin{cases} \frac{x-1}{3} + \frac{y-1}{3} = 2 \\ \frac{x-1}{2} - \frac{y-15}{6} = 4 \end{cases} $$

Шаг 1: Упростим уравнения.

Для первого уравнения умножаем на 3:

$(x-1) + (y-1) = 6$

$x + y - 2 = 6$

$x + y = 8$

Для второго уравнения НОК(2, 6) = 6. Умножаем на 6:

$3(x-1) - (y-15) = 24$

$3x - 3 - y + 15 = 24$

$3x - y = 12$

Шаг 2: Решим полученную систему:

$$ \begin{cases} x + y = 8 \\ 3x - y = 12 \end{cases} $$

Шаг 3: Используем метод сложения. Сложим два уравнения:

$(x + y) + (3x - y) = 8 + 12$

$4x = 20$

$x = \frac{20}{4} = 5$

Шаг 4: Подставим значение $x$ в первое упрощенное уравнение:

$5 + y = 8$

$y = 3$

Ответ: $x = 5, y = 3$.

г) Дана система уравнений:

$$ \begin{cases} \frac{5y-x}{3} - 2 = \frac{2y-x}{2} + 9 \\ \frac{3y-x}{5} = y - 8 \end{cases} $$

Шаг 1: Упростим уравнения.

Преобразуем первое уравнение. Перенесем числа в одну сторону, а дроби в другую:

$\frac{5y-x}{3} - \frac{2y-x}{2} = 9 + 2$

$\frac{5y-x}{3} - \frac{2y-x}{2} = 11$

Умножим на НОК(3, 2) = 6:

$2(5y-x) - 3(2y-x) = 66$

$10y - 2x - 6y + 3x = 66$

$x + 4y = 66$

Преобразуем второе уравнение. Умножим на 5:

$3y - x = 5(y-8)$

$3y - x = 5y - 40$

$40 = 5y - 3y + x$

$x + 2y = 40$

Шаг 2: Решим полученную систему:

$$ \begin{cases} x + 4y = 66 \\ x + 2y = 40 \end{cases} $$

Шаг 3: Используем метод вычитания. Вычтем второе уравнение из первого:

$(x + 4y) - (x + 2y) = 66 - 40$

$2y = 26$

$y = \frac{26}{2} = 13$

Шаг 4: Подставим значение $y$ во второе упрощенное уравнение:

$x + 2(13) = 40$

$x + 26 = 40$

$x = 14$

Ответ: $x = 14, y = 13$.

Помогло решение? Оставьте отзыв в комментариях ниже.

Присоединяйтесь к Телеграм-группе @gdz_by_belarus

Присоединиться

Мы подготовили для вас ответ c подробным объяснением домашего задания по алгебре за 7 класс, для упражнения номер 4.125 расположенного на странице 288 к учебнику 2022 года издания для учащихся школ и гимназий.

Теперь на нашем сайте ГДЗ.ТОП вы всегда легко и бесплатно найдёте условие с правильным ответом на вопрос «Как решить ДЗ» и «Как сделать» задание по алгебре к упражнению №4.125 (с. 288), авторов: Арефьева (Ирина Глебовна), Пирютко (Ольга Николаевна), учебного пособия издательства Народная асвета.