Номер 24.9, страница 114 - гдз по алгебре 7-9 класс сборник задач Арефьева, Пирютко
Авторы: Арефьева И. Г., Пирютко О. Н.
Тип: Сборник задач
Издательство: Народная асвета
Год издания: 2020 - 2026
Цвет обложки: синий с графиками
Допущено Министерством образования Республики Беларусь
Популярные ГДЗ в 7 классе
8 класс. Параграф 24. Системы и совокупности линейных неравенств с одной переменной. Решение двойных неравенств. Числовые промежутки - номер 24.9, страница 114.
№24.9 (с. 114)
Условие. №24.9 (с. 114)
скриншот условия
24.9. Найдите наибольшее и наименьшее целые решения системы неравенств:
a) $\begin{cases} \sqrt{17} - x > 0, \\ 2x + 1 \ge 0; \end{cases}$
б) $\begin{cases} x + \sqrt{3} > 0, \\ 8 - 5x > 0; \end{cases}$
в) $\begin{cases} x + \sqrt{5} < 0, \\ 3x + 16 \ge 0; \end{cases}$
г) $\begin{cases} \sqrt{3}x < \sqrt{27}, \\ x + 8 \ge 0; \end{cases}$
д) $\begin{cases} \sqrt{5}x > -7\sqrt{5}, \\ -x \ge -2,8; \end{cases}$
е) $\begin{cases} \sqrt{3}x \ge -9, \\ -x > -10. \end{cases}$
Решение. №24.9 (с. 114)
Решение 2. №24.9 (с. 114)
а)
Дана система неравенств: $ \begin{cases} \sqrt{17-x} > 0, \\ 2x+1 \geq 0. \end{cases} $
Решим первое неравенство: $\sqrt{17-x} > 0$. Квадратный корень определён и положителен, если подкоренное выражение строго больше нуля.
$17 - x > 0 \implies x < 17$.
Решим второе неравенство: $2x+1 \geq 0$.
$2x \geq -1 \implies x \geq -0.5$.
Найдём пересечение решений: $x \in [-0.5, 17)$.
Целые решения, принадлежащие этому промежутку: $0, 1, 2, \dots, 16$.
Следовательно, наименьшее целое решение равно 0, а наибольшее целое решение равно 16.
Ответ: наименьшее целое решение 0, наибольшее целое решение 16.
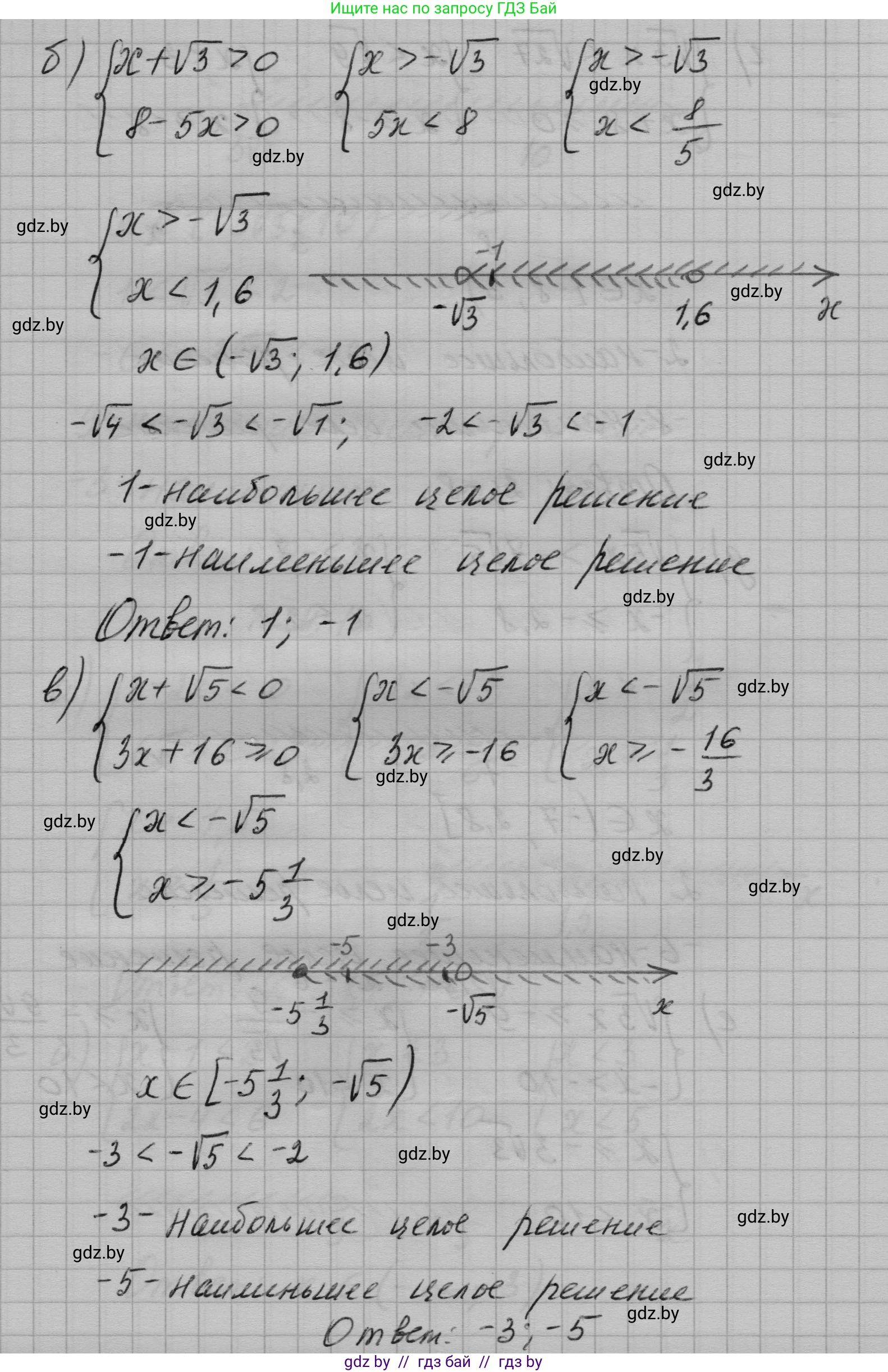
б)
Дана система неравенств: $ \begin{cases} x + \sqrt{3} > 0, \\ 8 - 5x > 0. \end{cases} $
Решим первое неравенство: $x + \sqrt{3} > 0$.
$x > -\sqrt{3}$. Поскольку $\sqrt{3} \approx 1.732$, то $x > -1.732$.
Решим второе неравенство: $8 - 5x > 0$.
$8 > 5x \implies x < \frac{8}{5} \implies x < 1.6$.
Пересечение решений дает нам интервал $(-\sqrt{3}, 1.6)$, или примерно $(-1.732, 1.6)$.
Целые решения, принадлежащие этому промежутку: $-1, 0, 1$.
Следовательно, наименьшее целое решение равно -1, а наибольшее целое решение равно 1.
Ответ: наименьшее целое решение -1, наибольшее целое решение 1.
в)
Дана система неравенств: $ \begin{cases} x + \sqrt{5} < 0, \\ 3x + 16 \geq 0. \end{cases} $
Решим первое неравенство: $x + \sqrt{5} < 0$.
$x < -\sqrt{5}$. Поскольку $\sqrt{5} \approx 2.236$, то $x < -2.236$.
Решим второе неравенство: $3x + 16 \geq 0$.
$3x \geq -16 \implies x \geq -\frac{16}{3} \implies x \geq -5.333...$
Пересечение решений дает нам полуинтервал $[-\frac{16}{3}, -\sqrt{5})$, или примерно $[-5.333..., -2.236)$.
Целые решения, принадлежащие этому промежутку: $-5, -4, -3$.
Следовательно, наименьшее целое решение равно -5, а наибольшее целое решение равно -3.
Ответ: наименьшее целое решение -5, наибольшее целое решение -3.
г)
Дана система неравенств: $ \begin{cases} \sqrt{3}x < \sqrt{27}, \\ x+8 \geq 0. \end{cases} $
Решим первое неравенство: $\sqrt{3}x < \sqrt{27}$. Упростим правую часть: $\sqrt{27} = \sqrt{9 \cdot 3} = 3\sqrt{3}$.
$\sqrt{3}x < 3\sqrt{3}$. Разделим обе части на $\sqrt{3}$ (это положительное число, знак неравенства не меняется): $x < 3$.
Решим второе неравенство: $x + 8 \geq 0$.
$x \geq -8$.
Пересечение решений дает нам полуинтервал $[-8, 3)$.
Целые решения, принадлежащие этому промежутку: $-8, -7, -6, \dots, 2$.
Следовательно, наименьшее целое решение равно -8, а наибольшее целое решение равно 2.
Ответ: наименьшее целое решение -8, наибольшее целое решение 2.
д)
Дана система неравенств: $ \begin{cases} \sqrt{5}x > -7\sqrt{5}, \\ -x \geq -2.8. \end{cases} $
Решим первое неравенство: $\sqrt{5}x > -7\sqrt{5}$. Разделим обе части на $\sqrt{5}$: $x > -7$.
Решим второе неравенство: $-x \geq -2.8$. Умножим обе части на -1 и сменим знак неравенства на противоположный:
$x \leq 2.8$.
Пересечение решений дает нам полуинтервал $(-7, 2.8]$.
Целые решения, принадлежащие этому промежутку: $-6, -5, -4, \dots, 2$.
Следовательно, наименьшее целое решение равно -6, а наибольшее целое решение равно 2.
Ответ: наименьшее целое решение -6, наибольшее целое решение 2.
е)
Дана система неравенств: $ \begin{cases} \sqrt{3}x \geq -9, \\ -x > -10. \end{cases} $
Решим первое неравенство: $\sqrt{3}x \geq -9$.
$x \geq -\frac{9}{\sqrt{3}} = -\frac{9\sqrt{3}}{3} = -3\sqrt{3}$. Поскольку $\sqrt{3} \approx 1.732$, то $x \geq -3 \cdot 1.732 \approx -5.196$.
Решим второе неравенство: $-x > -10$. Умножим обе части на -1 и сменим знак неравенства:
$x < 10$.
Пересечение решений дает нам полуинтервал $[-3\sqrt{3}, 10)$, или примерно $[-5.196, 10)$.
Целые решения, принадлежащие этому промежутку: $-5, -4, -3, \dots, 9$.
Следовательно, наименьшее целое решение равно -5, а наибольшее целое решение равно 9.
Ответ: наименьшее целое решение -5, наибольшее целое решение 9.
Другие задания:
Помогло решение? Оставьте отзыв в комментариях ниже.
Присоединяйтесь к Телеграм-группе @gdz_by_belarus
ПрисоединитьсяМы подготовили для вас ответ c подробным объяснением домашего задания по алгебре за 7-9 класс, для упражнения номер 24.9 расположенного на странице 114 к сборнику задач 2020 года издания для учащихся школ и гимназий.
Теперь на нашем сайте ГДЗ.ТОП вы всегда легко и бесплатно найдёте условие с правильным ответом на вопрос «Как решить ДЗ» и «Как сделать» задание по алгебре к упражнению №24.9 (с. 114), авторов: Арефьева (Ирина Глебовна), Пирютко (Ольга Николаевна), учебного пособия издательства Народная асвета.