Номер 23.35, страница 110 - гдз по алгебре 7-9 класс сборник задач Арефьева, Пирютко

Алгебра, 7-9 класс Сборник задач, авторы: Арефьева Ирина Глебовна, Пирютко Ольга Николаевна, издательство Народная асвета, Минск, 2020

Авторы: Арефьева И. Г., Пирютко О. Н.

Тип: Сборник задач

Издательство: Народная асвета

Год издания: 2020 - 2026

Цвет обложки: синий с графиками

Допущено Министерством образования Республики Беларусь

Популярные ГДЗ в 7 классе

8 класс. Параграф 23. Применение свойств квадратных корней - номер 23.35, страница 110.

№23.35 (с. 110)
Условие. №23.35 (с. 110)
скриншот условия
Алгебра, 7-9 класс Сборник задач, авторы: Арефьева Ирина Глебовна, Пирютко Ольга Николаевна, издательство Народная асвета, Минск, 2020, страница 110, номер 23.35, Условие

23.35. Сократите дробь:

а) $\frac{\sqrt{13} + 13}{\sqrt{13}}$;

б) $\frac{3\sqrt{5}}{5 - \sqrt{5}}$;

В) $\frac{\sqrt{7} + 1}{\sqrt{21} + \sqrt{3}}$;

Г) $\frac{\sqrt{5} - 3}{\sqrt{10} - 3\sqrt{2}}$.

Решение. №23.35 (с. 110)
Алгебра, 7-9 класс Сборник задач, авторы: Арефьева Ирина Глебовна, Пирютко Ольга Николаевна, издательство Народная асвета, Минск, 2020, страница 110, номер 23.35, Решение Алгебра, 7-9 класс Сборник задач, авторы: Арефьева Ирина Глебовна, Пирютко Ольга Николаевна, издательство Народная асвета, Минск, 2020, страница 110, номер 23.35, Решение (продолжение 2)
Решение 2. №23.35 (с. 110)

а) Чтобы сократить дробь $\frac{\sqrt{13} + 13}{\sqrt{13}}$, необходимо найти общий множитель в числителе. Представим число $13$ в числителе как $(\sqrt{13})^2$.
Тогда числитель примет вид: $\sqrt{13} + 13 = \sqrt{13} + (\sqrt{13})^2$.
Вынесем общий множитель $\sqrt{13}$ за скобки: $\sqrt{13}(1 + \sqrt{13})$.
Теперь вся дробь выглядит так: $\frac{\sqrt{13}(1 + \sqrt{13})}{\sqrt{13}}$.
Сокращаем общий множитель $\sqrt{13}$ в числителе и знаменателе. В результате получаем $1 + \sqrt{13}$.
Ответ: $1 + \sqrt{13}$.

б) Рассмотрим дробь $\frac{3\sqrt{5}}{5 - \sqrt{5}}$. Для её сокращения вынесем общий множитель в знаменателе. Представим $5$ как $(\sqrt{5})^2$.
Знаменатель: $5 - \sqrt{5} = (\sqrt{5})^2 - \sqrt{5} = \sqrt{5}(\sqrt{5} - 1)$.
Подставим полученное выражение в дробь: $\frac{3\sqrt{5}}{\sqrt{5}(\sqrt{5} - 1)}$.
Сократим дробь на $\sqrt{5}$: $\frac{3}{\sqrt{5} - 1}$.
Часто в таких заданиях требуется также избавиться от иррациональности в знаменателе. Для этого домножим числитель и знаменатель на сопряженное выражение $(\sqrt{5} + 1)$:
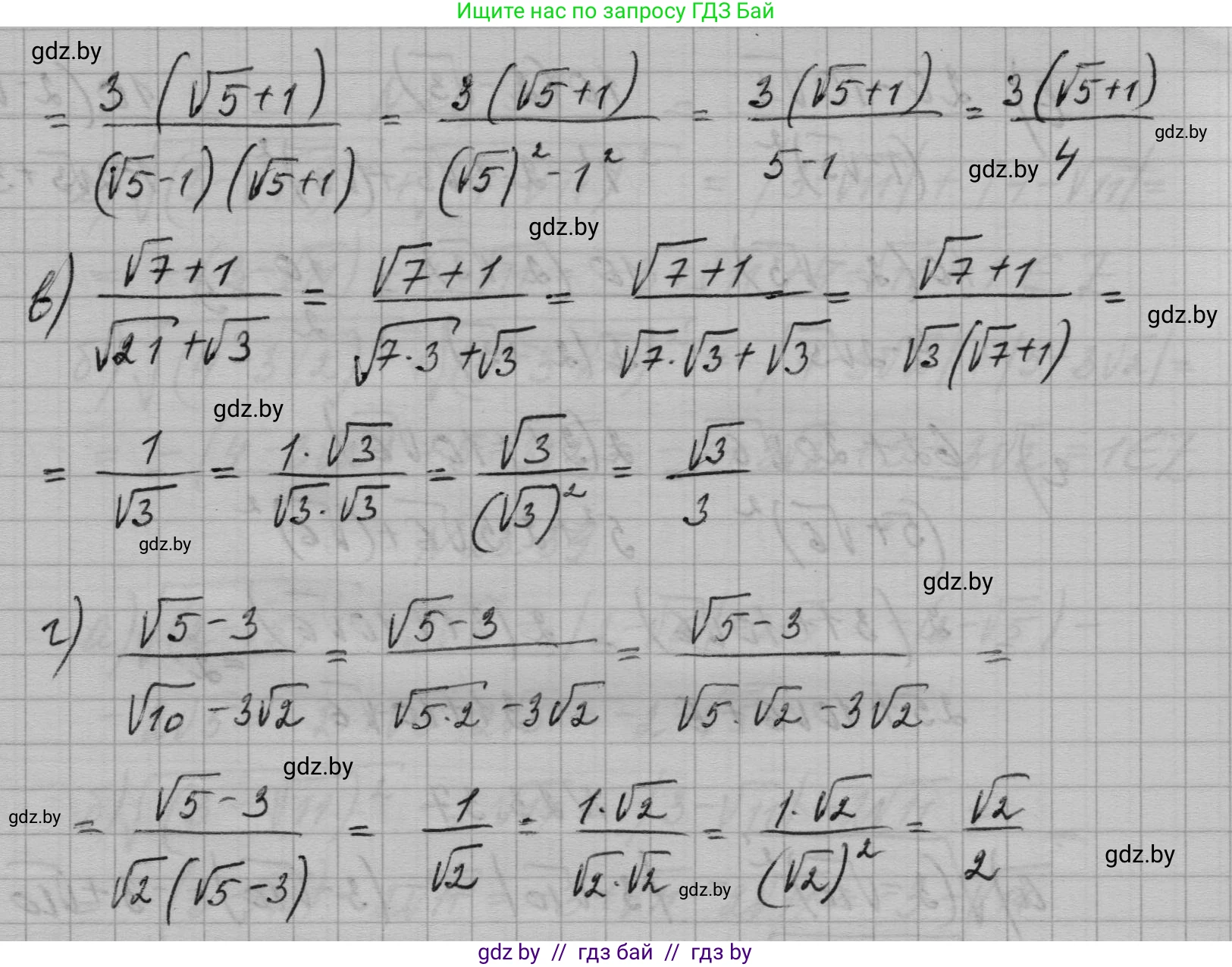
$\frac{3(\sqrt{5} + 1)}{(\sqrt{5} - 1)(\sqrt{5} + 1)} = \frac{3\sqrt{5} + 3}{(\sqrt{5})^2 - 1^2} = \frac{3\sqrt{5} + 3}{5 - 1} = \frac{3(\sqrt{5} + 1)}{4}$.
Ответ: $\frac{3(\sqrt{5} + 1)}{4}$.

в) Рассмотрим дробь $\frac{\sqrt{7} + 1}{\sqrt{21} + \sqrt{3}}$. Упростим знаменатель, вынеся общий множитель. Представим $\sqrt{21}$ как $\sqrt{7 \cdot 3} = \sqrt{7}\sqrt{3}$.
Знаменатель: $\sqrt{21} + \sqrt{3} = \sqrt{7}\sqrt{3} + \sqrt{3} = \sqrt{3}(\sqrt{7} + 1)$.
Подставим в дробь: $\frac{\sqrt{7} + 1}{\sqrt{3}(\sqrt{7} + 1)}$.
Сократим общий множитель $(\sqrt{7} + 1)$ в числителе и знаменателе. Получаем $\frac{1}{\sqrt{3}}$.
Избавимся от иррациональности в знаменателе, домножив числитель и знаменатель на $\sqrt{3}$:
$\frac{1 \cdot \sqrt{3}}{\sqrt{3} \cdot \sqrt{3}} = \frac{\sqrt{3}}{3}$.
Ответ: $\frac{\sqrt{3}}{3}$.

г) Рассмотрим дробь $\frac{\sqrt{5} - 3}{\sqrt{10} - 3\sqrt{2}}$. Упростим знаменатель, вынеся общий множитель. Представим $\sqrt{10}$ как $\sqrt{5 \cdot 2} = \sqrt{5}\sqrt{2}$.
Знаменатель: $\sqrt{10} - 3\sqrt{2} = \sqrt{5}\sqrt{2} - 3\sqrt{2} = \sqrt{2}(\sqrt{5} - 3)$.
Подставим в дробь: $\frac{\sqrt{5} - 3}{\sqrt{2}(\sqrt{5} - 3)}$.
Сократим общий множитель $(\sqrt{5} - 3)$ в числителе и знаменателе. Получаем $\frac{1}{\sqrt{2}}$.
Избавимся от иррациональности в знаменателе, домножив числитель и знаменатель на $\sqrt{2}$:
$\frac{1 \cdot \sqrt{2}}{\sqrt{2} \cdot \sqrt{2}} = \frac{\sqrt{2}}{2}$.
Ответ: $\frac{\sqrt{2}}{2}$.

Помогло решение? Оставьте отзыв в комментариях ниже.

Присоединяйтесь к Телеграм-группе @gdz_by_belarus

Присоединиться

Мы подготовили для вас ответ c подробным объяснением домашего задания по алгебре за 7-9 класс, для упражнения номер 23.35 расположенного на странице 110 к сборнику задач 2020 года издания для учащихся школ и гимназий.

Теперь на нашем сайте ГДЗ.ТОП вы всегда легко и бесплатно найдёте условие с правильным ответом на вопрос «Как решить ДЗ» и «Как сделать» задание по алгебре к упражнению №23.35 (с. 110), авторов: Арефьева (Ирина Глебовна), Пирютко (Ольга Николаевна), учебного пособия издательства Народная асвета.