Номер 22.22, страница 101 - гдз по алгебре 7-9 класс сборник задач Арефьева, Пирютко

Алгебра, 7-9 класс Сборник задач, авторы: Арефьева Ирина Глебовна, Пирютко Ольга Николаевна, издательство Народная асвета, Минск, 2020

Авторы: Арефьева И. Г., Пирютко О. Н.

Тип: Сборник задач

Издательство: Народная асвета

Год издания: 2020 - 2026

Цвет обложки: синий с графиками

Допущено Министерством образования Республики Беларусь

Популярные ГДЗ в 7 классе

8 класс. Параграф 22. Свойства квадратных корней - номер 22.22, страница 101.

№22.22 (с. 101)
Условие. №22.22 (с. 101)
скриншот условия
Алгебра, 7-9 класс Сборник задач, авторы: Арефьева Ирина Глебовна, Пирютко Ольга Николаевна, издательство Народная асвета, Минск, 2020, страница 101, номер 22.22, Условие

22.22. Определите, рациональными или иррациональными числами являются значения выражений $a^2$, $a^3$ и $5a\sqrt{5}$ при:

а) $a = \sqrt{5}$;

б) $a = -2\sqrt{5}$;

в) $a = \frac{\sqrt{5}}{2}$;

г) $a = -\frac{2\sqrt{5}}{3}$.

Решение. №22.22 (с. 101)
Алгебра, 7-9 класс Сборник задач, авторы: Арефьева Ирина Глебовна, Пирютко Ольга Николаевна, издательство Народная асвета, Минск, 2020, страница 101, номер 22.22, Решение Алгебра, 7-9 класс Сборник задач, авторы: Арефьева Ирина Глебовна, Пирютко Ольга Николаевна, издательство Народная асвета, Минск, 2020, страница 101, номер 22.22, Решение (продолжение 2)
Решение 2. №22.22 (с. 101)

а) При $a=\sqrt{5}$ имеем:
Выражение $a^2 = (\sqrt{5})^2 = 5$. Число 5 является целым, а значит, и рациональным.
Выражение $a^3 = (\sqrt{5})^3 = (\sqrt{5})^2 \cdot \sqrt{5} = 5\sqrt{5}$. Это число является иррациональным, так как представляет собой произведение рационального числа 5 и иррационального числа $\sqrt{5}$.
Выражение $5a\sqrt{5} = 5 \cdot (\sqrt{5}) \cdot \sqrt{5} = 5 \cdot 5 = 25$. Число 25 является целым, а значит, и рациональным.
Ответ: $a^2$ – рациональное число, $a^3$ – иррациональное число, $5a\sqrt{5}$ – рациональное число.

б) При $a=-2\sqrt{5}$ имеем:
Выражение $a^2 = (-2\sqrt{5})^2 = (-2)^2 \cdot (\sqrt{5})^2 = 4 \cdot 5 = 20$. Число 20 является целым, а значит, и рациональным.
Выражение $a^3 = (-2\sqrt{5})^3 = (-2)^3 \cdot (\sqrt{5})^3 = -8 \cdot 5\sqrt{5} = -40\sqrt{5}$. Это число является иррациональным, так как представляет собой произведение рационального числа -40 и иррационального числа $\sqrt{5}$.
Выражение $5a\sqrt{5} = 5 \cdot (-2\sqrt{5}) \cdot \sqrt{5} = -10 \cdot (\sqrt{5})^2 = -10 \cdot 5 = -50$. Число -50 является целым, а значит, и рациональным.
Ответ: $a^2$ – рациональное число, $a^3$ – иррациональное число, $5a\sqrt{5}$ – рациональное число.

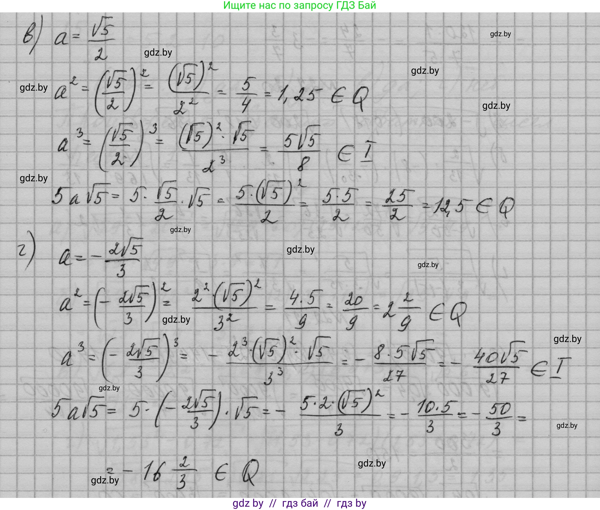
в) При $a=\frac{\sqrt{5}}{2}$ имеем:
Выражение $a^2 = \left(\frac{\sqrt{5}}{2}\right)^2 = \frac{(\sqrt{5})^2}{2^2} = \frac{5}{4}$. Число $\frac{5}{4}$ является рациональным.
Выражение $a^3 = \left(\frac{\sqrt{5}}{2}\right)^3 = \frac{(\sqrt{5})^3}{2^3} = \frac{5\sqrt{5}}{8}$. Это число является иррациональным, так как представляет собой произведение рационального числа $\frac{5}{8}$ и иррационального числа $\sqrt{5}$.
Выражение $5a\sqrt{5} = 5 \cdot \left(\frac{\sqrt{5}}{2}\right) \cdot \sqrt{5} = \frac{5 \cdot (\sqrt{5})^2}{2} = \frac{5 \cdot 5}{2} = \frac{25}{2}$. Число $\frac{25}{2}$ является рациональным.
Ответ: $a^2$ – рациональное число, $a^3$ – иррациональное число, $5a\sqrt{5}$ – рациональное число.

г) При $a=-\frac{2\sqrt{5}}{3}$ имеем:
Выражение $a^2 = \left(-\frac{2\sqrt{5}}{3}\right)^2 = \frac{(-2)^2 \cdot (\sqrt{5})^2}{3^2} = \frac{4 \cdot 5}{9} = \frac{20}{9}$. Число $\frac{20}{9}$ является рациональным.
Выражение $a^3 = \left(-\frac{2\sqrt{5}}{3}\right)^3 = \frac{(-2)^3 \cdot (\sqrt{5})^3}{3^3} = \frac{-8 \cdot 5\sqrt{5}}{27} = -\frac{40\sqrt{5}}{27}$. Это число является иррациональным, так как представляет собой произведение рационального числа $-\frac{40}{27}$ и иррационального числа $\sqrt{5}$.
Выражение $5a\sqrt{5} = 5 \cdot \left(-\frac{2\sqrt{5}}{3}\right) \cdot \sqrt{5} = -\frac{5 \cdot 2 \cdot (\sqrt{5})^2}{3} = -\frac{10 \cdot 5}{3} = -\frac{50}{3}$. Число $-\frac{50}{3}$ является рациональным.
Ответ: $a^2$ – рациональное число, $a^3$ – иррациональное число, $5a\sqrt{5}$ – рациональное число.

Помогло решение? Оставьте отзыв в комментариях ниже.

Присоединяйтесь к Телеграм-группе @gdz_by_belarus

Присоединиться

Мы подготовили для вас ответ c подробным объяснением домашего задания по алгебре за 7-9 класс, для упражнения номер 22.22 расположенного на странице 101 к сборнику задач 2020 года издания для учащихся школ и гимназий.

Теперь на нашем сайте ГДЗ.ТОП вы всегда легко и бесплатно найдёте условие с правильным ответом на вопрос «Как решить ДЗ» и «Как сделать» задание по алгебре к упражнению №22.22 (с. 101), авторов: Арефьева (Ирина Глебовна), Пирютко (Ольга Николаевна), учебного пособия издательства Народная асвета.