Номер 21.20, страница 97 - гдз по алгебре 7-9 класс сборник задач Арефьева, Пирютко

Алгебра, 7-9 класс Сборник задач, авторы: Арефьева Ирина Глебовна, Пирютко Ольга Николаевна, издательство Народная асвета, Минск, 2020

Авторы: Арефьева И. Г., Пирютко О. Н.

Тип: Сборник задач

Издательство: Народная асвета

Год издания: 2020 - 2026

Цвет обложки: синий с графиками

Допущено Министерством образования Республики Беларусь

Популярные ГДЗ в 7 классе

8 класс. Параграф 21. Арифметический квадратный корень. Множество действительных чисел - номер 21.20, страница 97.

№21.20 (с. 97)
Условие. №21.20 (с. 97)
скриншот условия
Алгебра, 7-9 класс Сборник задач, авторы: Арефьева Ирина Глебовна, Пирютко Ольга Николаевна, издательство Народная асвета, Минск, 2020, страница 97, номер 21.20, Условие

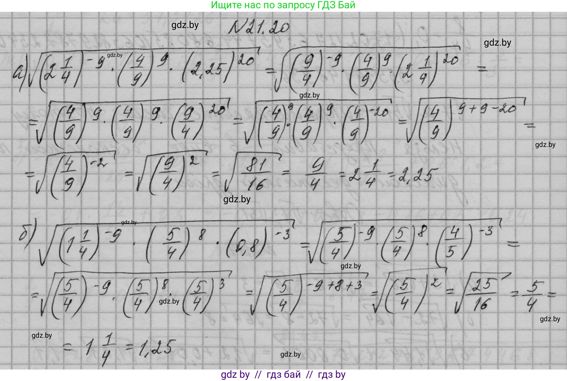
21.20. Примените свойства степени и вычислите:

а) $\sqrt{\left(2\frac{1}{4}\right)^{-9} \cdot \left(\frac{4}{9}\right)^9 \cdot (2,25)^{20}}$

б) $\sqrt{\left(1\frac{1}{4}\right)^{-9} \cdot \left(\frac{5}{4}\right)^8 \cdot (0,8)^{-3}}$

Решение. №21.20 (с. 97)
Алгебра, 7-9 класс Сборник задач, авторы: Арефьева Ирина Глебовна, Пирютко Ольга Николаевна, издательство Народная асвета, Минск, 2020, страница 97, номер 21.20, Решение
Решение 2. №21.20 (с. 97)
а)

Чтобы вычислить значение выражения, сначала преобразуем все числа к единому формату — неправильным дробям. Затем последовательно применим свойства степеней для упрощения выражения под корнем.

1. Преобразуем смешанную дробь и десятичную дробь в неправильные:

$2\frac{1}{4} = \frac{2 \cdot 4 + 1}{4} = \frac{9}{4}$

$2,25 = 2\frac{25}{100} = 2\frac{1}{4} = \frac{9}{4}$

2. Подставим полученные дроби в исходное выражение:

$\sqrt{(2\frac{1}{4})^{-9} \cdot (\frac{4}{9})^{9} \cdot (2,25)^{20}} = \sqrt{(\frac{9}{4})^{-9} \cdot (\frac{4}{9})^{9} \cdot (\frac{9}{4})^{20}}$

3. Воспользуемся свойством степени $a^{-n} = (\frac{1}{a})^n$, чтобы привести множители к общему основанию. Для первого множителя:

$(\frac{9}{4})^{-9} = (\frac{4}{9})^9$

4. Теперь сгруппируем множители с одинаковыми основаниями и применим свойство $a^m \cdot a^n = a^{m+n}$:

$\sqrt{(\frac{4}{9})^9 \cdot (\frac{4}{9})^{9} \cdot (\frac{9}{4})^{20}} = \sqrt{(\frac{4}{9})^{9+9} \cdot (\frac{9}{4})^{20}} = \sqrt{(\frac{4}{9})^{18} \cdot (\frac{9}{4})^{20}}$

5. Приведем оставшийся множитель к основанию $\frac{4}{9}$:

$(\frac{9}{4})^{20} = ((\frac{4}{9})^{-1})^{20} = (\frac{4}{9})^{-20}$

6. Подставим и снова применим свойство умножения степеней:

$\sqrt{(\frac{4}{9})^{18} \cdot (\frac{4}{9})^{-20}} = \sqrt{(\frac{4}{9})^{18-20}} = \sqrt{(\frac{4}{9})^{-2}}$

7. Используем свойство $a^{-n} = (\frac{1}{a})^n$ и извлечем корень:

$\sqrt{(\frac{9}{4})^2} = \frac{9}{4} = 2,25$

Ответ: 2,25

б)

Аналогично первому примеру, преобразуем все числа к виду обыкновенных дробей и применим свойства степеней.

1. Преобразуем числа:

$1\frac{1}{4} = \frac{1 \cdot 4 + 1}{4} = \frac{5}{4}$

$0,8 = \frac{8}{10} = \frac{4}{5}$

2. Подставим дроби в исходное выражение:

$\sqrt{(1\frac{1}{4})^{-9} \cdot (\frac{5}{4})^{8} \cdot (0,8)^{-3}} = \sqrt{(\frac{5}{4})^{-9} \cdot (\frac{5}{4})^{8} \cdot (\frac{4}{5})^{-3}}$

3. Упростим произведение первых двух множителей с одинаковым основанием, используя свойство $a^m \cdot a^n = a^{m+n}$:

$(\frac{5}{4})^{-9} \cdot (\frac{5}{4})^{8} = (\frac{5}{4})^{-9+8} = (\frac{5}{4})^{-1}$

4. Выражение примет вид:

$\sqrt{(\frac{5}{4})^{-1} \cdot (\frac{4}{5})^{-3}}$

5. Приведем второй множитель к основанию $\frac{5}{4}$, используя свойство $a^{-n} = (\frac{1}{a})^n$ и $(a^m)^n = a^{mn}$:

$(\frac{4}{5})^{-3} = ((\frac{5}{4})^{-1})^{-3} = (\frac{5}{4})^{(-1) \cdot (-3)} = (\frac{5}{4})^3$

6. Подставим полученное значение и завершим вычисления:

$\sqrt{(\frac{5}{4})^{-1} \cdot (\frac{5}{4})^{3}} = \sqrt{(\frac{5}{4})^{-1+3}} = \sqrt{(\frac{5}{4})^{2}}$

7. Извлекая квадратный корень, получаем результат:

$\sqrt{(\frac{5}{4})^{2}} = \frac{5}{4} = 1,25$

Ответ: 1,25

Помогло решение? Оставьте отзыв в комментариях ниже.

Присоединяйтесь к Телеграм-группе @gdz_by_belarus

Присоединиться

Мы подготовили для вас ответ c подробным объяснением домашего задания по алгебре за 7-9 класс, для упражнения номер 21.20 расположенного на странице 97 к сборнику задач 2020 года издания для учащихся школ и гимназий.

Теперь на нашем сайте ГДЗ.ТОП вы всегда легко и бесплатно найдёте условие с правильным ответом на вопрос «Как решить ДЗ» и «Как сделать» задание по алгебре к упражнению №21.20 (с. 97), авторов: Арефьева (Ирина Глебовна), Пирютко (Ольга Николаевна), учебного пособия издательства Народная асвета.