Номер 40.21, страница 201 - гдз по алгебре 7-9 класс сборник задач Арефьева, Пирютко
Авторы: Арефьева И. Г., Пирютко О. Н.
Тип: Сборник задач
Издательство: Народная асвета
Год издания: 2020 - 2026
Цвет обложки: синий с графиками
Допущено Министерством образования Республики Беларусь
Популярные ГДЗ в 7 классе
9 класс. Параграф 40. Геометрическая прогрессия - номер 40.21, страница 201.
№40.21 (с. 201)
Условие. №40.21 (с. 201)
скриншот условия
40.21. Последовательность $b_1$; $b_2$; $b_3$; \ldots — геометрическая прогрессия. Будет ли геометрической прогрессией последовательность:
а) $x_n = 3b_n$;
б) $x_n = 3b_n - 1$;
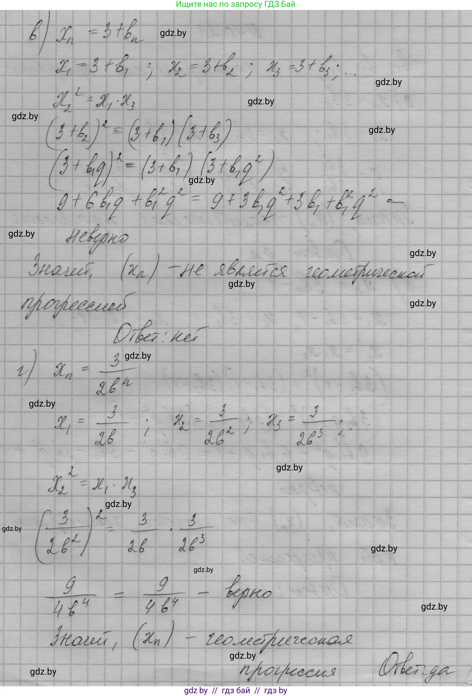
в) $x_n = 3 + b_n$;
г) $x_n = \frac{3}{2b^n}$?
Решение. №40.21 (с. 201)
Решение 2. №40.21 (с. 201)
По определению, последовательность $(x_n)$ является геометрической прогрессией, если отношение каждого ее члена, начиная со второго, к предыдущему члену является постоянным числом. Это число называется знаменателем прогрессии. Обозначим его через $Q$. То есть, для всех $n \ge 1$ должно выполняться равенство $\frac{x_{n+1}}{x_n} = Q$, где $Q$ — константа (не зависит от $n$).
Нам дано, что последовательность $b_1, b_2, b_3, \dots$ — геометрическая прогрессия. Обозначим ее первый член через $b_1$, а знаменатель — через $q$. Тогда для любого $n \ge 1$ справедливо $b_{n+1} = b_n \cdot q$. Мы предполагаем, что $b_1 \neq 0$ и $q \neq 0$, чтобы все члены прогрессии были ненулевыми.
а) $x_n = 3b_n$
Найдем отношение $\frac{x_{n+1}}{x_n}$:
$\frac{x_{n+1}}{x_n} = \frac{3b_{n+1}}{3b_n} = \frac{b_{n+1}}{b_n}$
Поскольку $(b_n)$ — геометрическая прогрессия со знаменателем $q$, то $\frac{b_{n+1}}{b_n} = q$.
Следовательно, $\frac{x_{n+1}}{x_n} = q$. Так как $q$ является постоянной величиной (не зависит от $n$), последовательность $(x_n)$ является геометрической прогрессией с тем же знаменателем $q$.
Ответ: да.
б) $x_n = 3b_n - 1$
Найдем отношение $\frac{x_{n+1}}{x_n}$:
$\frac{x_{n+1}}{x_n} = \frac{3b_{n+1} - 1}{3b_n - 1} = \frac{3(b_n \cdot q) - 1}{3b_n - 1}$
Это отношение зависит от $b_n$, а значит, и от номера члена $n$ (если $q \neq 1$). Если $q \neq 1$, то $b_n$ не является константой, и отношение $\frac{x_{n+1}}{x_n}$ будет меняться с изменением $n$.
Для иллюстрации рассмотрим пример. Пусть $b_1=1$ и $q=2$. Тогда $b_1=1, b_2=2, b_3=4$.
Для последовательности $x_n$ получаем:
$x_1 = 3b_1 - 1 = 3(1) - 1 = 2$
$x_2 = 3b_2 - 1 = 3(2) - 1 = 5$
$x_3 = 3b_3 - 1 = 3(4) - 1 = 11$
Найдем отношения: $\frac{x_2}{x_1} = \frac{5}{2} = 2.5$ и $\frac{x_3}{x_2} = \frac{11}{5} = 2.2$.
Поскольку $2.5 \neq 2.2$, отношение не является постоянным. Следовательно, последовательность $(x_n)$ в общем случае не является геометрической прогрессией. Она будет таковой только в частном случае, когда $q=1$ (и $b_n$ постоянна).
Ответ: нет.
в) $x_n = 3 + b_n$
Найдем отношение $\frac{x_{n+1}}{x_n}$:
$\frac{x_{n+1}}{x_n} = \frac{3 + b_{n+1}}{3 + b_n} = \frac{3 + b_n q}{3 + b_n}$
Как и в предыдущем пункте, это отношение зависит от $n$ через $b_n$, поэтому в общем случае оно не является постоянным.
Рассмотрим пример. Пусть $b_1=1$ и $q=2$. Тогда $b_1=1, b_2=2, b_3=4$.
Для последовательности $x_n$ получаем:
$x_1 = 3 + b_1 = 3 + 1 = 4$
$x_2 = 3 + b_2 = 3 + 2 = 5$
$x_3 = 3 + b_3 = 3 + 4 = 7$
Найдем отношения: $\frac{x_2}{x_1} = \frac{5}{4} = 1.25$ и $\frac{x_3}{x_2} = \frac{7}{5} = 1.4$.
Поскольку $1.25 \neq 1.4$, отношение не является постоянным. Следовательно, последовательность $(x_n)$ в общем случае не является геометрической прогрессией.
Ответ: нет.
г) $x_n = \frac{3}{2b^n}$
В записи формулы $x_n = \frac{3}{2b^n}$ наиболее вероятна опечатка, и имелась в виду формула $x_n = \frac{3}{2b_n}$, где $n$ — индекс, а не степень. Решим задачу для этого случая.
Найдем отношение $\frac{x_{n+1}}{x_n}$ для последовательности $x_n = \frac{3}{2b_n}$:
$\frac{x_{n+1}}{x_n} = \frac{\frac{3}{2b_{n+1}}}{\frac{3}{2b_n}} = \frac{3}{2b_{n+1}} \cdot \frac{2b_n}{3} = \frac{b_n}{b_{n+1}}$
Поскольку $(b_n)$ — геометрическая прогрессия со знаменателем $q$, то $b_{n+1} = b_n \cdot q$, и, следовательно, $\frac{b_n}{b_{n+1}} = \frac{b_n}{b_n \cdot q} = \frac{1}{q}$.
Отношение $\frac{x_{n+1}}{x_n} = \frac{1}{q}$ является постоянной величиной (при $q \neq 0$). Значит, последовательность $(x_n)$ является геометрической прогрессией со знаменателем $Q = \frac{1}{q}$.
Ответ: да, если считать, что в условии опечатка и верная формула $x_n = \frac{3}{2b_n}$.
Другие задания:
Помогло решение? Оставьте отзыв в комментариях ниже.
Присоединяйтесь к Телеграм-группе @gdz_by_belarus
ПрисоединитьсяМы подготовили для вас ответ c подробным объяснением домашего задания по алгебре за 7-9 класс, для упражнения номер 40.21 расположенного на странице 201 к сборнику задач 2020 года издания для учащихся школ и гимназий.
Теперь на нашем сайте ГДЗ.ТОП вы всегда легко и бесплатно найдёте условие с правильным ответом на вопрос «Как решить ДЗ» и «Как сделать» задание по алгебре к упражнению №40.21 (с. 201), авторов: Арефьева (Ирина Глебовна), Пирютко (Ольга Николаевна), учебного пособия издательства Народная асвета.