Номер 36.23, страница 181 - гдз по алгебре 7-9 класс сборник задач Арефьева, Пирютко

Алгебра, 7-9 класс Сборник задач, авторы: Арефьева Ирина Глебовна, Пирютко Ольга Николаевна, издательство Народная асвета, Минск, 2020

Авторы: Арефьева И. Г., Пирютко О. Н.

Тип: Сборник задач

Издательство: Народная асвета

Год издания: 2020 - 2026

Цвет обложки: синий с графиками

Допущено Министерством образования Республики Беларусь

Популярные ГДЗ в 7 классе

9 класс. Параграф 36. Дробно-рациональные уравнения - номер 36.23, страница 181.

№36.23 (с. 181)
Условие. №36.23 (с. 181)
скриншот условия
Алгебра, 7-9 класс Сборник задач, авторы: Арефьева Ирина Глебовна, Пирютко Ольга Николаевна, издательство Народная асвета, Минск, 2020, страница 181, номер 36.23, Условие

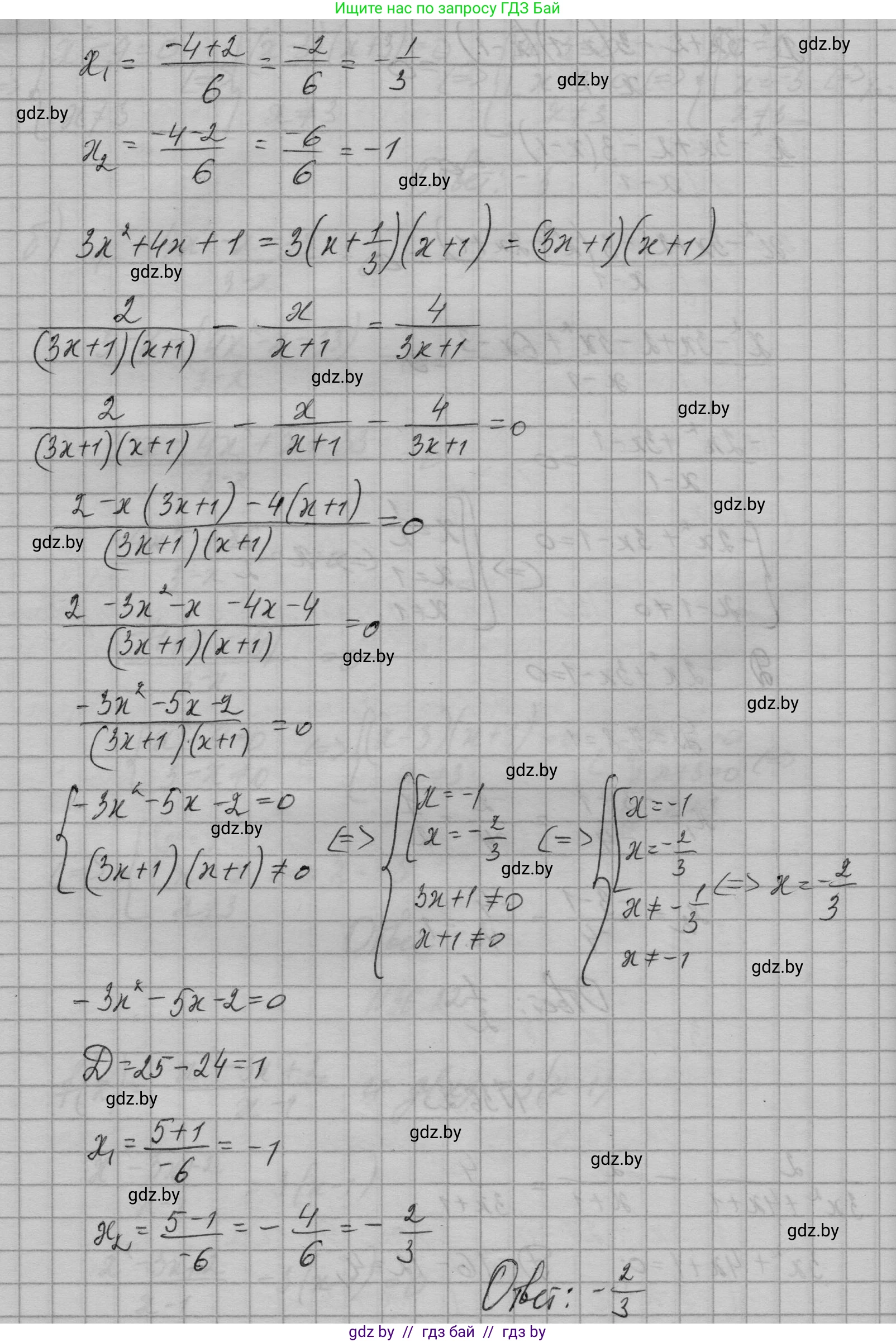
36.23. Решите уравнение $\frac{2}{3x^2+4x+1} - \frac{x}{x+1} = \frac{4}{3x+1}$

Решение. №36.23 (с. 181)
Алгебра, 7-9 класс Сборник задач, авторы: Арефьева Ирина Глебовна, Пирютко Ольга Николаевна, издательство Народная асвета, Минск, 2020, страница 181, номер 36.23, Решение Алгебра, 7-9 класс Сборник задач, авторы: Арефьева Ирина Глебовна, Пирютко Ольга Николаевна, издательство Народная асвета, Минск, 2020, страница 181, номер 36.23, Решение (продолжение 2)
Решение 2. №36.23 (с. 181)

Найдем область допустимых значений (ОДЗ) уравнения. Знаменатели дробей не должны обращаться в ноль: $3x^2 + 4x + 1 \neq 0$, $x + 1 \neq 0$, $3x + 1 \neq 0$.

Рассмотрим квадратный трехчлен $3x^2 + 4x + 1$. Найдем его корни, решив уравнение $3x^2 + 4x + 1 = 0$. Дискриминант $D = b^2 - 4ac = 4^2 - 4 \cdot 3 \cdot 1 = 16 - 12 = 4$. Корни уравнения: $x_1 = \frac{-4 - \sqrt{4}}{2 \cdot 3} = \frac{-6}{6} = -1$; $x_2 = \frac{-4 + \sqrt{4}}{2 \cdot 3} = \frac{-2}{6} = -\frac{1}{3}$. Следовательно, разложение на множители имеет вид: $3x^2 + 4x + 1 = 3(x+1)(x+\frac{1}{3}) = (x+1)(3x+1)$.

Таким образом, ОДЗ определяется условиями: $x \neq -1$ и $x \neq -\frac{1}{3}$.

Перепишем исходное уравнение, используя разложение знаменателя на множители: $$ \frac{2}{(x+1)(3x+1)} - \frac{x}{x+1} = \frac{4}{3x+1} $$

Умножим обе части уравнения на общий знаменатель $(x+1)(3x+1)$, чтобы избавиться от дробей, учитывая ОДЗ: $$ 2 - x(3x+1) = 4(x+1) $$

Раскроем скобки и приведем подобные слагаемые: $$ 2 - 3x^2 - x = 4x + 4 $$ Перенесем все члены в одну сторону: $$ 0 = 3x^2 + x + 4x + 4 - 2 $$ $$ 3x^2 + 5x + 2 = 0 $$

Решим полученное квадратное уравнение. Дискриминант $D = b^2 - 4ac = 5^2 - 4 \cdot 3 \cdot 2 = 25 - 24 = 1$. Корни уравнения: $x_1 = \frac{-5 - \sqrt{1}}{2 \cdot 3} = \frac{-6}{6} = -1$; $x_2 = \frac{-5 + \sqrt{1}}{2 \cdot 3} = \frac{-4}{6} = -\frac{2}{3}$.

Проверим найденные корни на принадлежность ОДЗ. Корень $x_1 = -1$ не принадлежит ОДЗ, так как при этом значении знаменатели $x+1$ и $3x^2+4x+1$ обращаются в ноль. Следовательно, это посторонний корень. Корень $x_2 = -\frac{2}{3}$ принадлежит ОДЗ.

Ответ: $-\frac{2}{3}$

Помогло решение? Оставьте отзыв в комментариях ниже.

Присоединяйтесь к Телеграм-группе @gdz_by_belarus

Присоединиться

Мы подготовили для вас ответ c подробным объяснением домашего задания по алгебре за 7-9 класс, для упражнения номер 36.23 расположенного на странице 181 к сборнику задач 2020 года издания для учащихся школ и гимназий.

Теперь на нашем сайте ГДЗ.ТОП вы всегда легко и бесплатно найдёте условие с правильным ответом на вопрос «Как решить ДЗ» и «Как сделать» задание по алгебре к упражнению №36.23 (с. 181), авторов: Арефьева (Ирина Глебовна), Пирютко (Ольга Николаевна), учебного пособия издательства Народная асвета.