Номер 35.3, страница 171 - гдз по алгебре 7-9 класс сборник задач Арефьева, Пирютко

Алгебра, 7-9 класс Сборник задач, авторы: Арефьева Ирина Глебовна, Пирютко Ольга Николаевна, издательство Народная асвета, Минск, 2020

Авторы: Арефьева И. Г., Пирютко О. Н.

Тип: Сборник задач

Издательство: Народная асвета

Год издания: 2020 - 2026

Цвет обложки: синий с графиками

Допущено Министерством образования Республики Беларусь

Популярные ГДЗ в 7 классе

9 класс. Параграф 35. Функции - номер 35.3, страница 171.

№35.3 (с. 171)
Условие. №35.3 (с. 171)
скриншот условия
Алгебра, 7-9 класс Сборник задач, авторы: Арефьева Ирина Глебовна, Пирютко Ольга Николаевна, издательство Народная асвета, Минск, 2020, страница 171, номер 35.3, Условие

35.3. Сравните с нулем значение выражения $f(-2)$, если:

а) $f(x) = -x^2 + 1$;

б) $f(x) = \sqrt{x + 2}$;

в) $f(x) = x^3 + 7$;

г) $f(x) = \frac{6}{x}$.

Решение. №35.3 (с. 171)
Алгебра, 7-9 класс Сборник задач, авторы: Арефьева Ирина Глебовна, Пирютко Ольга Николаевна, издательство Народная асвета, Минск, 2020, страница 171, номер 35.3, Решение Алгебра, 7-9 класс Сборник задач, авторы: Арефьева Ирина Глебовна, Пирютко Ольга Николаевна, издательство Народная асвета, Минск, 2020, страница 171, номер 35.3, Решение (продолжение 2)
Решение 2. №35.3 (с. 171)

а) Чтобы сравнить с нулем значение выражения $f(-2)$ для функции $f(x) = -x^2 + 1$, необходимо подставить значение $x = -2$ в формулу функции.
Вычисляем: $f(-2) = -(-2)^2 + 1 = -(4) + 1 = -4 + 1 = -3$.
Сравниваем полученный результат с нулем: $-3 < 0$.
Следовательно, значение выражения $f(-2)$ меньше нуля.
Ответ: $f(-2) < 0$.

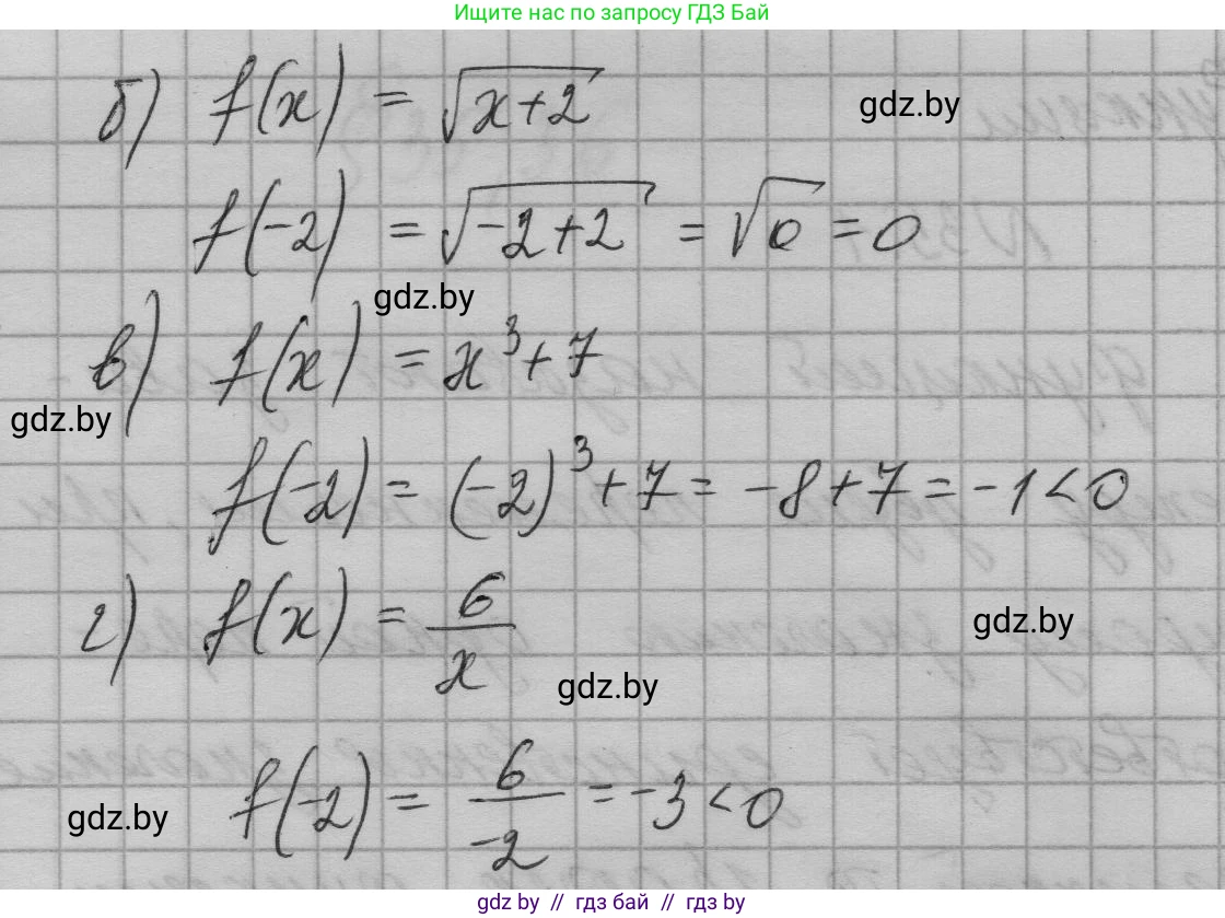
б) Чтобы сравнить с нулем значение выражения $f(-2)$ для функции $f(x) = \sqrt{x+2}$, подставим $x = -2$ в формулу.
Вычисляем: $f(-2) = \sqrt{-2+2} = \sqrt{0} = 0$.
Сравниваем полученный результат с нулем: $0 = 0$.
Следовательно, значение выражения $f(-2)$ равно нулю.
Ответ: $f(-2) = 0$.

в) Чтобы сравнить с нулем значение выражения $f(-2)$ для функции $f(x) = x^3 + 7$, подставим $x = -2$ в формулу.
Вычисляем: $f(-2) = (-2)^3 + 7 = -8 + 7 = -1$.
Сравниваем полученный результат с нулем: $-1 < 0$.
Следовательно, значение выражения $f(-2)$ меньше нуля.
Ответ: $f(-2) < 0$.

г) Чтобы сравнить с нулем значение выражения $f(-2)$ для функции $f(x) = \frac{6}{x}$, подставим $x = -2$ в формулу.
Вычисляем: $f(-2) = \frac{6}{-2} = -3$.
Сравниваем полученный результат с нулем: $-3 < 0$.
Следовательно, значение выражения $f(-2)$ меньше нуля.
Ответ: $f(-2) < 0$.

Помогло решение? Оставьте отзыв в комментариях ниже.

Присоединяйтесь к Телеграм-группе @gdz_by_belarus

Присоединиться

Мы подготовили для вас ответ c подробным объяснением домашего задания по алгебре за 7-9 класс, для упражнения номер 35.3 расположенного на странице 171 к сборнику задач 2020 года издания для учащихся школ и гимназий.

Теперь на нашем сайте ГДЗ.ТОП вы всегда легко и бесплатно найдёте условие с правильным ответом на вопрос «Как решить ДЗ» и «Как сделать» задание по алгебре к упражнению №35.3 (с. 171), авторов: Арефьева (Ирина Глебовна), Пирютко (Ольга Николаевна), учебного пособия издательства Народная асвета.