Номер 33.54, страница 164 - гдз по алгебре 7-9 класс сборник задач Арефьева, Пирютко

Алгебра, 7-9 класс Сборник задач, авторы: Арефьева Ирина Глебовна, Пирютко Ольга Николаевна, издательство Народная асвета, Минск, 2020

Авторы: Арефьева И. Г., Пирютко О. Н.

Тип: Сборник задач

Издательство: Народная асвета

Год издания: 2020 - 2026

Цвет обложки: синий с графиками

Допущено Министерством образования Республики Беларусь

Популярные ГДЗ в 7 классе

9 класс. Параграф 33. Действия с рациональными дробями - номер 33.54, страница 164.

№33.54 (с. 164)
Условие. №33.54 (с. 164)
скриншот условия
Алгебра, 7-9 класс Сборник задач, авторы: Арефьева Ирина Глебовна, Пирютко Ольга Николаевна, издательство Народная асвета, Минск, 2020, страница 164, номер 33.54, Условие

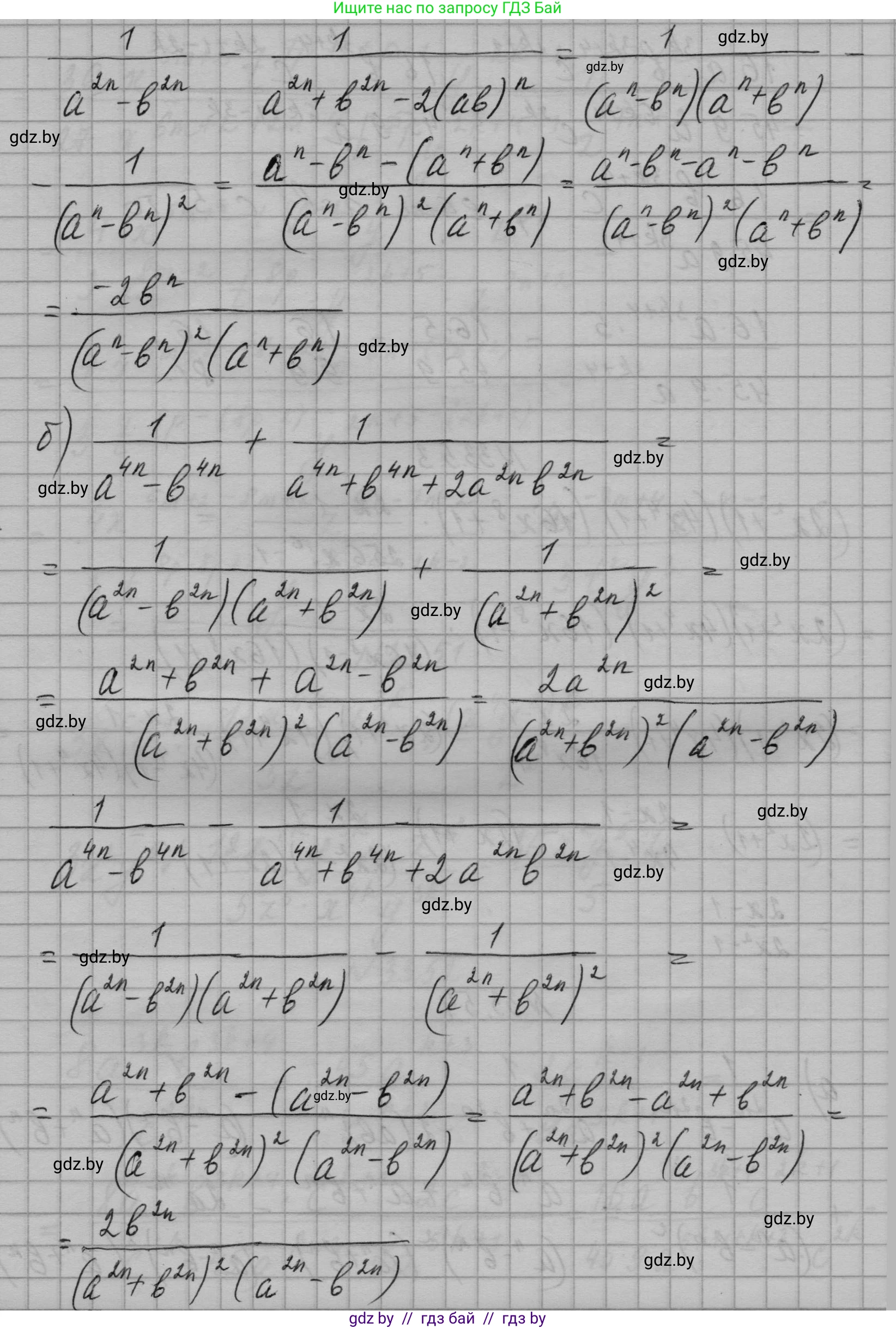
33.54*. Найдите сумму и разность дробей:

а) $ \frac{1}{a^{2n}-b^{2n}} $ И $ \frac{1}{a^{2n}+b^{2n}-2(ab)^n} $;

б) $ \frac{1}{a^{4n}-b^{4n}} $ И $ \frac{1}{a^{4n}+b^{4n}+2a^{2n}b^{2n}} $.

Решение. №33.54 (с. 164)
Алгебра, 7-9 класс Сборник задач, авторы: Арефьева Ирина Глебовна, Пирютко Ольга Николаевна, издательство Народная асвета, Минск, 2020, страница 164, номер 33.54, Решение Алгебра, 7-9 класс Сборник задач, авторы: Арефьева Ирина Глебовна, Пирютко Ольга Николаевна, издательство Народная асвета, Минск, 2020, страница 164, номер 33.54, Решение (продолжение 2)
Решение 2. №33.54 (с. 164)

а)

Даны дроби: $\frac{1}{a^{2n} - b^{2n}}$ и $\frac{1}{a^{2n} + b^{2n} - 2(ab)^n}$.

Сначала преобразуем знаменатели, используя формулы сокращенного умножения.
Знаменатель первой дроби является разностью квадратов: $a^{2n} - b^{2n} = (a^n)^2 - (b^n)^2 = (a^n - b^n)(a^n + b^n)$.
Знаменатель второй дроби является квадратом разности: $a^{2n} + b^{2n} - 2(ab)^n = (a^n)^2 - 2a^n b^n + (b^n)^2 = (a^n - b^n)^2$.

Найдём сумму дробей.
Приведем дроби к общему знаменателю $(a^n - b^n)^2(a^n + b^n)$.
$\frac{1}{(a^n - b^n)(a^n + b^n)} + \frac{1}{(a^n - b^n)^2} = \frac{1 \cdot (a^n - b^n)}{(a^n - b^n)^2(a^n + b^n)} + \frac{1 \cdot (a^n + b^n)}{(a^n - b^n)^2(a^n + b^n)} = \frac{(a^n - b^n) + (a^n + b^n)}{(a^n - b^n)^2(a^n + b^n)} = \frac{2a^n}{(a^n - b^n)^2(a^n + b^n)}$.

Найдём разность дробей.
Используем тот же общий знаменатель.
$\frac{1}{(a^n - b^n)(a^n + b^n)} - \frac{1}{(a^n - b^n)^2} = \frac{a^n - b^n}{(a^n - b^n)^2(a^n + b^n)} - \frac{a^n + b^n}{(a^n - b^n)^2(a^n + b^n)} = \frac{(a^n - b^n) - (a^n + b^n)}{(a^n - b^n)^2(a^n + b^n)} = \frac{a^n - b^n - a^n - b^n}{(a^n - b^n)^2(a^n + b^n)} = \frac{-2b^n}{(a^n - b^n)^2(a^n + b^n)}$.

Ответ: сумма: $\frac{2a^n}{(a^n - b^n)^2(a^n + b^n)}$; разность: $\frac{-2b^n}{(a^n - b^n)^2(a^n + b^n)}$.

б)

Даны дроби: $\frac{1}{a^{4n} - b^{4n}}$ и $\frac{1}{a^{4n} + b^{4n} + 2a^{2n}b^{2n}}$.

Сначала преобразуем знаменатели, используя формулы сокращенного умножения.
Знаменатель первой дроби (разность квадратов): $a^{4n} - b^{4n} = (a^{2n})^2 - (b^{2n})^2 = (a^{2n} - b^{2n})(a^{2n} + b^{2n})$.
Знаменатель второй дроби (квадрат суммы): $a^{4n} + b^{4n} + 2a^{2n}b^{2n} = (a^{2n})^2 + 2a^{2n}b^{2n} + (b^{2n})^2 = (a^{2n} + b^{2n})^2$.

Найдём сумму дробей.
Приведем дроби к общему знаменателю $(a^{2n} - b^{2n})(a^{2n} + b^{2n})^2$.
$\frac{1}{(a^{2n} - b^{2n})(a^{2n} + b^{2n})} + \frac{1}{(a^{2n} + b^{2n})^2} = \frac{1 \cdot (a^{2n} + b^{2n})}{(a^{2n} - b^{2n})(a^{2n} + b^{2n})^2} + \frac{1 \cdot (a^{2n} - b^{2n})}{(a^{2n} - b^{2n})(a^{2n} + b^{2n})^2} = \frac{(a^{2n} + b^{2n}) + (a^{2n} - b^{2n})}{(a^{2n} - b^{2n})(a^{2n} + b^{2n})^2} = \frac{2a^{2n}}{(a^{2n} - b^{2n})(a^{2n} + b^{2n})^2}$.

Найдём разность дробей.
Используем тот же общий знаменатель.
$\frac{1}{(a^{2n} - b^{2n})(a^{2n} + b^{2n})} - \frac{1}{(a^{2n} + b^{2n})^2} = \frac{a^{2n} + b^{2n}}{(a^{2n} - b^{2n})(a^{2n} + b^{2n})^2} - \frac{a^{2n} - b^{2n}}{(a^{2n} - b^{2n})(a^{2n} + b^{2n})^2} = \frac{(a^{2n} + b^{2n}) - (a^{2n} - b^{2n})}{(a^{2n} - b^{2n})(a^{2n} + b^{2n})^2} = \frac{a^{2n} + b^{2n} - a^{2n} + b^{2n}}{(a^{2n} - b^{2n})(a^{2n} + b^{2n})^2} = \frac{2b^{2n}}{(a^{2n} - b^{2n})(a^{2n} + b^{2n})^2}$.

Ответ: сумма: $\frac{2a^{2n}}{(a^{2n} - b^{2n})(a^{2n} + b^{2n})^2}$; разность: $\frac{2b^{2n}}{(a^{2n} - b^{2n})(a^{2n} + b^{2n})^2}$.

Помогло решение? Оставьте отзыв в комментариях ниже.

Присоединяйтесь к Телеграм-группе @gdz_by_belarus

Присоединиться

Мы подготовили для вас ответ c подробным объяснением домашего задания по алгебре за 7-9 класс, для упражнения номер 33.54 расположенного на странице 164 к сборнику задач 2020 года издания для учащихся школ и гимназий.

Теперь на нашем сайте ГДЗ.ТОП вы всегда легко и бесплатно найдёте условие с правильным ответом на вопрос «Как решить ДЗ» и «Как сделать» задание по алгебре к упражнению №33.54 (с. 164), авторов: Арефьева (Ирина Глебовна), Пирютко (Ольга Николаевна), учебного пособия издательства Народная асвета.