Номер 2, страница 70, часть 1 - гдз по математике 3 класс учебник Муравьева, Урбан

Математика, 3 класс Учебник, авторы: Муравьева Галина Леонидовна, Урбан Мария Анатольевна, издательство Национальный институт образования, Минск, 2021, оранжевого цвета, часть 1

Авторы: Муравьева Г. Л., Урбан М. А.

Тип: Учебник

Издательство: Национальный институт образования

Год издания: 2021 - 2026

Часть: 1

Цвет обложки: оранжевый, жёлтый с учениками

ISBN: 978-985-594-794-4 (общ.), 978-985-594-795-1 (ч. 1), 978-985-594-796-8 (ч. 2)

Допущено Министерством образования Республики Беларусь

Популярные ГДЗ в 3 классе

Часть 1. Умножение и деление. Урок 35 - номер 2, страница 70.

№2 (с. 70)
Условие. №2 (с. 70)
скриншот условия
Математика, 3 класс Учебник, авторы: Муравьева Галина Леонидовна, Урбан Мария Анатольевна, издательство Национальный институт образования, Минск, 2021, оранжевого цвета, Часть 1, страница 70, номер 2, Условие

2. Составь выражения. Найди их значения.

$c$ 3 5 6 8 1
$32 + c \cdot 4$ ? ? ? ? ?
$6 \cdot c - 6$ ? ? ? ? ?
Решение 1. №2 (с. 70)
Математика, 3 класс Учебник, авторы: Муравьева Галина Леонидовна, Урбан Мария Анатольевна, издательство Национальный институт образования, Минск, 2021, оранжевого цвета, Часть 1, страница 70, номер 2, Решение 1 Математика, 3 класс Учебник, авторы: Муравьева Галина Леонидовна, Урбан Мария Анатольевна, издательство Национальный институт образования, Минск, 2021, оранжевого цвета, Часть 1, страница 70, номер 2, Решение 1 (продолжение 2)
Решение 2. №2 (с. 70)
Математика, 3 класс Учебник, авторы: Муравьева Галина Леонидовна, Урбан Мария Анатольевна, издательство Национальный институт образования, Минск, 2021, оранжевого цвета, Часть 1, страница 70, номер 2, Решение 2 Математика, 3 класс Учебник, авторы: Муравьева Галина Леонидовна, Урбан Мария Анатольевна, издательство Национальный институт образования, Минск, 2021, оранжевого цвета, Часть 1, страница 70, номер 2, Решение 2 (продолжение 2)
Решение 3. №2 (с. 70)
Математика, 3 класс Учебник, авторы: Муравьева Галина Леонидовна, Урбан Мария Анатольевна, издательство Национальный институт образования, Минск, 2021, оранжевого цвета, Часть 1, страница 70, номер 2, Решение 3 Математика, 3 класс Учебник, авторы: Муравьева Галина Леонидовна, Урбан Мария Анатольевна, издательство Национальный институт образования, Минск, 2021, оранжевого цвета, Часть 1, страница 70, номер 2, Решение 3 (продолжение 2)
Решение 4. №2 (с. 70)

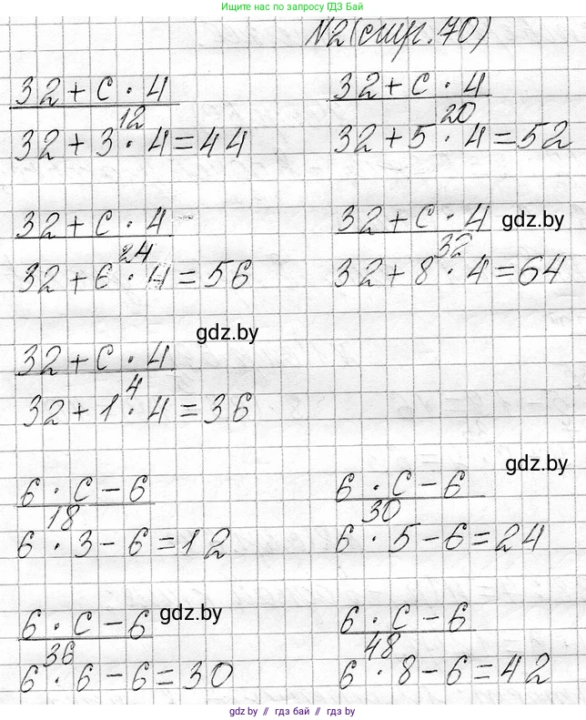
32 + c · 4

Для нахождения значений выражения $32 + c \cdot 4$ необходимо последовательно подставить вместо переменной $c$ числа из верхней строки таблицы. При вычислении необходимо соблюдать порядок действий: сначала выполняется умножение, а затем сложение.

Если $c = 3$, то $32 + 3 \cdot 4 = 32 + 12 = 44$.
Ответ: 44

Если $c = 5$, то $32 + 5 \cdot 4 = 32 + 20 = 52$.
Ответ: 52

Если $c = 6$, то $32 + 6 \cdot 4 = 32 + 24 = 56$.
Ответ: 56

Если $c = 8$, то $32 + 8 \cdot 4 = 32 + 32 = 64$.
Ответ: 64

Если $c = 1$, то $32 + 1 \cdot 4 = 32 + 4 = 36$.
Ответ: 36

6 · c – 6

Для нахождения значений выражения $6 \cdot c - 6$ необходимо последовательно подставить вместо переменной $c$ числа из верхней строки таблицы. Порядок действий: сначала умножение, затем вычитание.

Если $c = 3$, то $6 \cdot 3 - 6 = 18 - 6 = 12$.
Ответ: 12

Если $c = 5$, то $6 \cdot 5 - 6 = 30 - 6 = 24$.
Ответ: 24

Если $c = 6$, то $6 \cdot 6 - 6 = 36 - 6 = 30$.
Ответ: 30

Если $c = 8$, то $6 \cdot 8 - 6 = 48 - 6 = 42$.
Ответ: 42

Если $c = 1$, то $6 \cdot 1 - 6 = 6 - 6 = 0$.
Ответ: 0

Помогло решение? Оставьте отзыв в комментариях ниже.

Присоединяйтесь к Телеграм-группе @gdz_by_belarus

Присоединиться

Мы подготовили для вас ответ c подробным объяснением домашего задания по математике за 3 класс, для упражнения номер 2 расположенного на странице 70 для 1-й части к учебнику 2021 года издания для учащихся школ и гимназий.

Теперь на нашем сайте ГДЗ.ТОП вы всегда легко и бесплатно найдёте условие с правильным ответом на вопрос «Как решить ДЗ» и «Как сделать» задание по математике к упражнению №2 (с. 70), авторов: Муравьева (Галина Леонидовна), Урбан (Мария Анатольевна), 1-й части учебного пособия издательства Национальный институт образования.