Номер 7b, страница 42 - гдз по немецкому языку 11 класс учебник Будько, Урбанович

Немецкий язык (Deutsch), 11 класс Учебник (Schülerbuch), авторы: Будько Антонина Филипповна (Budjko Antonina), Урбанович Инна Ювинальевна (Urbanowitsch Ina), издательство Вышэйшая школа, Минск, 2019, бирюзового цвета

Авторы: Будько А. Ф., Урбанович И. Ю.

Тип: Schülerbuch (Учебник)

Издательство: Вышэйшая школа

Год издания: 2019 - 2026

Цвет обложки: бирюзовый, белый

ISBN: 978-985-06-3112-1

Допущено Министерством образования Республики Беларусь

Популярные ГДЗ в 11 классе

1. Berufswahl. C. Wege zum Wunschberuf. 7. Studieren, aber wo? An der Universität (Uni)? An der Fachhochschule (FHS / FH)? - номер 7b, страница 42.

№7b (с. 42)
Условие. №7b (с. 42)
скриншот условия
Немецкий язык (Deutsch), 11 класс Учебник (Schülerbuch), авторы: Будько Антонина Филипповна (Budjko Antonina), Урбанович Инна Ювинальевна (Urbanowitsch Ina), издательство Вышэйшая школа, Минск, 2019, бирюзового цвета, страница 42, номер 7b, Условие

b. Ordnen Sie die Aussagen den Spalten der Tabelle zu.

Studium
an der FHSan der Uni
NachteileVorteileNachteileVorteile
............

1. Das Studium an den Fachhochschulen ist praktischer. Die Studenten lernen Dinge, die sie direkt im Beruf nutzen können.

2. Man kann solche Fächer wie Jura, Medizin und Philosophie nur an einer Universität studieren.

3. Die Studenten einer Fachhochschule machen viele Praktika.

4. In manchen Studiengängen gibt es ein Praxissemester. Man arbeitet ein halbes Jahr in einem Betrieb.

5. Die Dozenten an den Universitäten und Fachhochschulen haben viel praktisches Wissen und geben es an die Studenten weiter.

6. Wer wissenschaftlich arbeiten möchte, der sollte eine Universität wählen.

7. Man verdient als Absolvent einer Universität oft mehr Geld als mit einem Fachhochschulabschluss.

Решение. №7b (с. 42)
Немецкий язык (Deutsch), 11 класс Учебник (Schülerbuch), авторы: Будько Антонина Филипповна (Budjko Antonina), Урбанович Инна Ювинальевна (Urbanowitsch Ina), издательство Вышэйшая школа, Минск, 2019, бирюзового цвета, страница 42, номер 7b, Решение Немецкий язык (Deutsch), 11 класс Учебник (Schülerbuch), авторы: Будько Антонина Филипповна (Budjko Antonina), Урбанович Инна Ювинальевна (Urbanowitsch Ina), издательство Вышэйшая школа, Минск, 2019, бирюзового цвета, страница 42, номер 7b, Решение (продолжение 2)
Решение 2. №7b (с. 42)

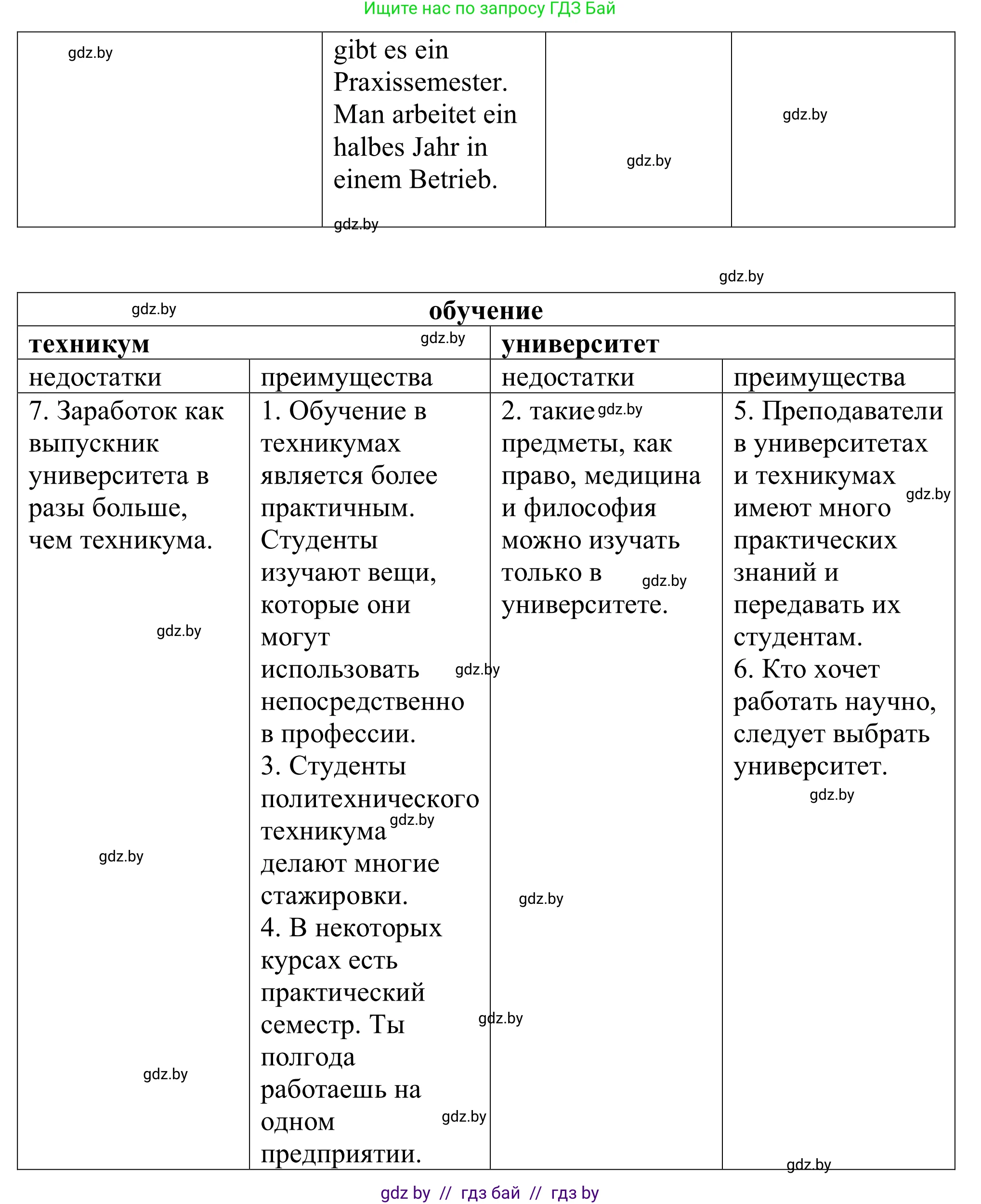
b. Распределите утверждения по столбцам таблицы.

Обучение
в FHS (Университет прикладных наук)в Uni (Университет)
НедостаткиПреимуществаНедостаткиПреимущества
............

1. Обучение в университетах прикладных наук более практичное. Студенты изучают вещи, которые они могут непосредственно использовать в своей профессии.

2. Такие предметы, как право, медицина и философия, можно изучать только в университете.

3. Студенты университета прикладных наук проходят много практик.

4. На некоторых учебных программах есть практический семестр. Студенты полгода работают на предприятии.

5. Преподаватели в университетах и университетах прикладных наук обладают большим количеством практических знаний и передают их студентам.

6. Тот, кто хочет заниматься научной работой, должен выбрать университет.

7. Выпускники университета часто зарабатывают больше денег, чем выпускники университета прикладных наук.

Ответ:

Studium
an der FHSan der Uni
NachteileVorteileNachteileVorteile
2, 6, 71, 3, 41, 3, 42, 6, 7

Перевод:

Обучение
в FHS (Университет прикладных наук)в Uni (Университет)
НедостаткиПреимуществаНедостаткиПреимущества
2, 6, 71, 3, 41, 3, 42, 6, 7

Помогло решение? Оставьте отзыв в комментариях ниже.

Присоединяйтесь к Телеграм-группе @gdz_by_belarus

Присоединиться

Мы подготовили для вас ответ c подробным объяснением домашего задания по немецкому языку за 11 класс, для упражнения номер 7b расположенного на странице 42 к учебнику (Schülerbuch) 2019 года издания для учащихся школ и гимназий.

Теперь на нашем сайте ГДЗ.ТОП вы всегда легко и бесплатно найдёте условие с правильным ответом на вопрос «Как решить ДЗ» и «Как сделать» задание по немецкому языку к упражнению №7b (с. 42), авторов: Будько (Антонина Филипповна), Урбанович (Инна Ювинальевна), учебного пособия издательства Вышэйшая школа.