Номер 404, страница 145 - гдз по геометрии 11 класс учебник Латотин, Чеботаревский

Геометрия, 11 класс Учебник, авторы: Латотин Леонид Александрович, Чеботаревский Борис Дмитриевич, Горбунова Ирина Владимировна, Цыбулько Оксана Евгеньевна, издательство Белорусская Энциклопедия имени Петруся Бровки, Минск, 2020, белого цвета

Авторы: Латотин Л. А., Чеботаревский Б. Д., Горбунова И. В., Цыбулько О. Е.

Тип: Учебник

Издательство: Белорусская Энциклопедия имени Петруся Бровки

Год издания: 2020 - 2026

Уровень обучения: базовый и повышенный

Цвет обложки: белый в клеточку

ISBN: 978-985-11-1251-3

Допущено Министерством образования Республики Беларусь

Популярные ГДЗ в 11 классе

Раздел 4. Повторение. Параграф 8. Геометрические фигуры и их свойства - номер 404, страница 145.

№404 (с. 145)
Условие. №404 (с. 145)
скриншот условия
Геометрия, 11 класс Учебник, авторы: Латотин Леонид Александрович, Чеботаревский Борис Дмитриевич, Горбунова Ирина Владимировна, Цыбулько Оксана Евгеньевна, издательство Белорусская Энциклопедия имени Петруся Бровки, Минск, 2020, белого цвета, страница 145, номер 404, Условие Геометрия, 11 класс Учебник, авторы: Латотин Леонид Александрович, Чеботаревский Борис Дмитриевич, Горбунова Ирина Владимировна, Цыбулько Оксана Евгеньевна, издательство Белорусская Энциклопедия имени Петруся Бровки, Минск, 2020, белого цвета, страница 145, номер 404, Условие (продолжение 2)

404. Найдите:

а) проведенную к гипотенузе высоту прямоугольного треугольника, учитывая, что его катеты равны $a$ и $b$;

б) сторону треугольника, учитывая, что проведенная к ней высота равна $h$, а две другие стороны — $a$ и $b$;

в) высоты треугольника и его площадь, учитывая, что его стороны равны $a, b, c$;

г) площадь треугольника, учитывая, что его высоты равны $h_a, h_b, h_c$;

д) медианы треугольника, учитывая, что его стороны равны $a, b, c$;

е) стороны треугольника и его площадь, учитывая, что его медианы равны $m_a, m_b, m_c$;

ж) биссектрисы треугольника, учитывая, что его стороны равны $a, b, c$;

з) радиус описанной около треугольника окружности, учитывая, что его стороны равны $a, b, c$.

Решение 2. №404 (с. 145)
Геометрия, 11 класс Учебник, авторы: Латотин Леонид Александрович, Чеботаревский Борис Дмитриевич, Горбунова Ирина Владимировна, Цыбулько Оксана Евгеньевна, издательство Белорусская Энциклопедия имени Петруся Бровки, Минск, 2020, белого цвета, страница 145, номер 404, Решение 2 Геометрия, 11 класс Учебник, авторы: Латотин Леонид Александрович, Чеботаревский Борис Дмитриевич, Горбунова Ирина Владимировна, Цыбулько Оксана Евгеньевна, издательство Белорусская Энциклопедия имени Петруся Бровки, Минск, 2020, белого цвета, страница 145, номер 404, Решение 2 (продолжение 2)
Решение 3. №404 (с. 145)

а) проведенную к гипотенузе высоту прямоугольного треугольника, учитывая, что его катеты равны a и b;

Пусть дан прямоугольный треугольник с катетами $a$ и $b$ и гипотенузой $c$. Высоту, проведенную к гипотенузе, обозначим $h_c$.

Площадь прямоугольного треугольника можно вычислить двумя способами:

  1. Через катеты: $S = \frac{1}{2}ab$.
  2. Через гипотенузу и высоту, проведенную к ней: $S = \frac{1}{2}ch_c$.

Приравнивая два выражения для площади, получаем: $\frac{1}{2}ab = \frac{1}{2}ch_c$, откуда следует, что $ab = ch_c$.

Выразим высоту $h_c$: $h_c = \frac{ab}{c}$.

По теореме Пифагора гипотенуза $c$ связана с катетами соотношением: $c^2 = a^2 + b^2$, следовательно, $c = \sqrt{a^2 + b^2}$.

Подставим выражение для $c$ в формулу для высоты:

$h_c = \frac{ab}{\sqrt{a^2 + b^2}}$

Ответ: $\frac{ab}{\sqrt{a^2 + b^2}}$.

б) сторону треугольника, учитывая, что проведенная к ней высота равна h, а две другие стороны — a и b;

Пусть искомая сторона треугольника равна $c$. К этой стороне проведена высота $h$. Две другие стороны равны $a$ и $b$.

Высота $h$ делит треугольник на два прямоугольных треугольника. Основание высоты делит сторону $c$ (или ее продолжение) на два отрезка.

В первом прямоугольном треугольнике гипотенуза равна $a$, один катет — $h$. Второй катет, $x$, найдем по теореме Пифагора: $x^2 + h^2 = a^2$, откуда $x = \sqrt{a^2 - h^2}$.

Во втором прямоугольном треугольнике гипотенуза равна $b$, один катет — $h$. Второй катет, $y$, найдем по теореме Пифагора: $y^2 + h^2 = b^2$, откуда $y = \sqrt{b^2 - h^2}$.

Возможны два случая в зависимости от того, лежит ли основание высоты внутри стороны $c$ или вне ее (т.е. является ли треугольник остроугольным или тупоугольным относительно углов при стороне $c$):

  1. Если оба угла при стороне $c$ острые, высота падает на саму сторону $c$. Тогда длина стороны $c$ равна сумме длин отрезков $x$ и $y$: $c = x + y = \sqrt{a^2 - h^2} + \sqrt{b^2 - h^2}$.
  2. Если один из углов при стороне $c$ тупой, высота падает на продолжение стороны $c$. Тогда длина стороны $c$ равна модулю разности длин отрезков $x$ и $y$: $c = |x - y| = |\sqrt{a^2 - h^2} - \sqrt{b^2 - h^2}|$.

Так как в условии задачи тип треугольника не уточнен, существуют два возможных решения.

Ответ: $\sqrt{a^2 - h^2} + \sqrt{b^2 - h^2}$ (если высота падает на сторону) или $|\sqrt{a^2 - h^2} - \sqrt{b^2 - h^2}|$ (если высота падает на продолжение стороны).

в) высоты треугольника и его площадь, учитывая, что его стороны равны a, b, c;

Сначала найдем площадь треугольника $S$ по его сторонам $a, b, c$. Для этого воспользуемся формулой Герона.

1. Вычисляем полупериметр треугольника $p$:
$p = \frac{a+b+c}{2}$.

2. Площадь треугольника $S$ по формуле Герона равна:
$S = \sqrt{p(p-a)(p-b)(p-c)}$.

Теперь найдем высоты треугольника $h_a, h_b, h_c$, проведенные к сторонам $a, b, c$ соответственно. Площадь треугольника также можно выразить через сторону и проведенную к ней высоту:

$S = \frac{1}{2}ah_a = \frac{1}{2}bh_b = \frac{1}{2}ch_c$.

Из этих равенств выразим высоты:

$h_a = \frac{2S}{a} = \frac{2\sqrt{p(p-a)(p-b)(p-c)}}{a}$

$h_b = \frac{2S}{b} = \frac{2\sqrt{p(p-a)(p-b)(p-c)}}{b}$

$h_c = \frac{2S}{c} = \frac{2\sqrt{p(p-a)(p-b)(p-c)}}{c}$

где $p = \frac{a+b+c}{2}$.

Ответ: Площадь: $S = \sqrt{p(p-a)(p-b)(p-c)}$, где $p = \frac{a+b+c}{2}$. Высоты: $h_a = \frac{2S}{a}$, $h_b = \frac{2S}{b}$, $h_c = \frac{2S}{c}$.

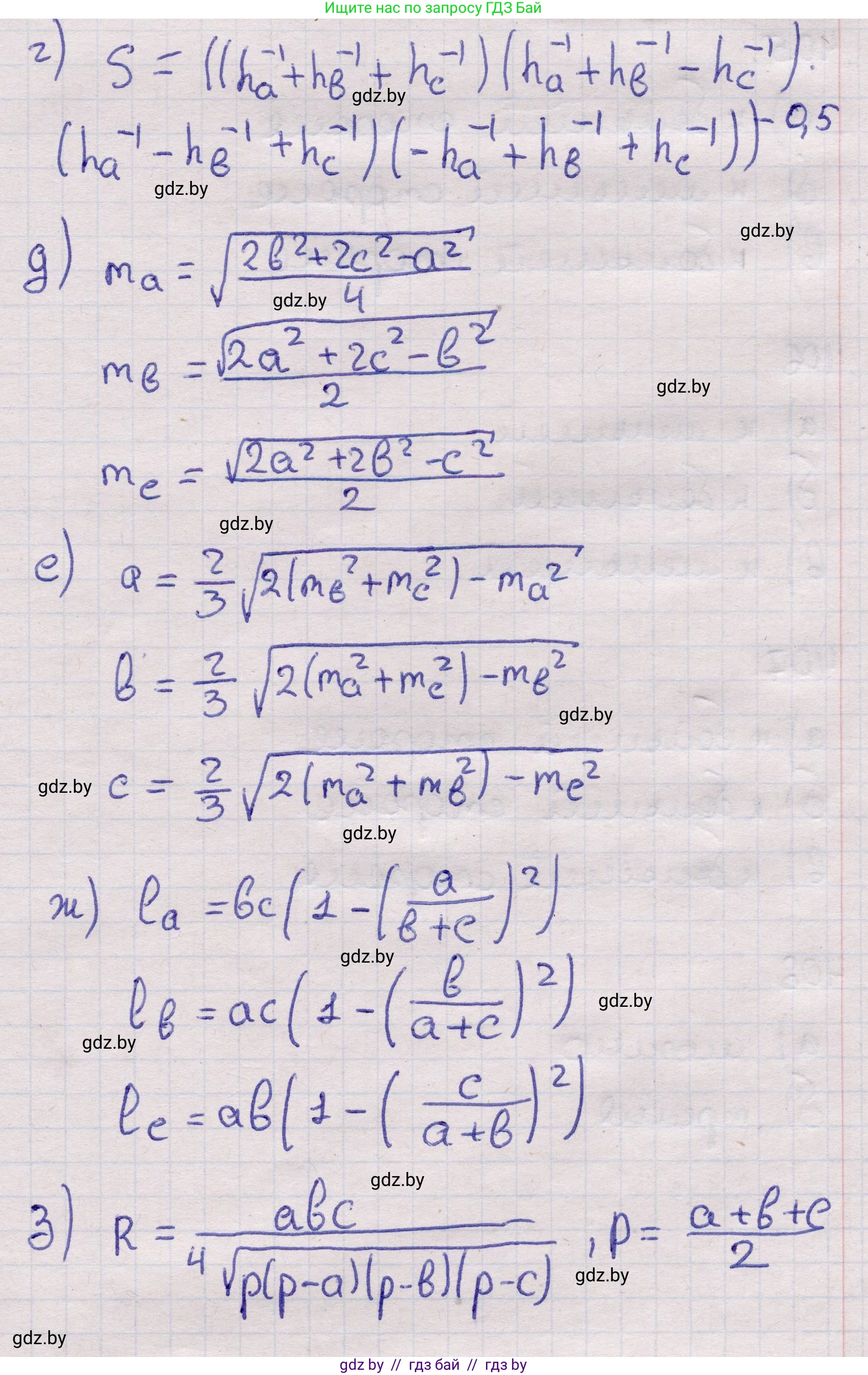
г) площадь треугольника, учитывая, что его высоты равны $h_a, h_b, h_c$;

Пусть стороны треугольника, соответствующие высотам $h_a, h_b, h_c$, равны $a, b, c$, а площадь треугольника равна $S$.

Из формулы площади треугольника имеем: $a = \frac{2S}{h_a}$, $b = \frac{2S}{h_b}$, $c = \frac{2S}{h_c}$.

Подставим эти выражения для сторон в формулу Герона $S^2 = p(p-a)(p-b)(p-c)$, где $p = \frac{a+b+c}{2}$.

Выразим полупериметр $p$ и разности $p-a, p-b, p-c$ через $S$ и высоты:

$p = \frac{1}{2}\left(\frac{2S}{h_a} + \frac{2S}{h_b} + \frac{2S}{h_c}\right) = S\left(\frac{1}{h_a} + \frac{1}{h_b} + \frac{1}{h_c}\right)$

$p-a = S\left(-\frac{1}{h_a} + \frac{1}{h_b} + \frac{1}{h_c}\right)$

$p-b = S\left(\frac{1}{h_a} - \frac{1}{h_b} + \frac{1}{h_c}\right)$

$p-c = S\left(\frac{1}{h_a} + \frac{1}{h_b} - \frac{1}{h_c}\right)$

Подставим все в формулу Герона:

$S^2 = S^4 \left(\frac{1}{h_a} + \frac{1}{h_b} + \frac{1}{h_c}\right) \left(-\frac{1}{h_a} + \frac{1}{h_b} + \frac{1}{h_c}\right) \left(\frac{1}{h_a} - \frac{1}{h_b} + \frac{1}{h_c}\right) \left(\frac{1}{h_a} + \frac{1}{h_b} - \frac{1}{h_c}\right)$

Сократив на $S^2$ (считая $S \neq 0$), получим $S^{-2}$. Выражая $S$, получаем:

Ответ: $S = \left[ \left(\frac{1}{h_a} + \frac{1}{h_b} + \frac{1}{h_c}\right) \left(-\frac{1}{h_a} + \frac{1}{h_b} + \frac{1}{h_c}\right) \left(\frac{1}{h_a} - \frac{1}{h_b} + \frac{1}{h_c}\right) \left(\frac{1}{h_a} + \frac{1}{h_b} - \frac{1}{h_c}\right) \right]^{-\frac{1}{2}}$.

д) медианы треугольника, учитывая, что его стороны равны a, b, c;

Длины медиан треугольника можно найти, используя формулу Аполлония. Пусть $m_a, m_b, m_c$ — медианы, проведенные к сторонам $a, b, c$ соответственно.

Длина медианы, проведенной к стороне $a$, вычисляется по формуле:

$m_a = \frac{1}{2}\sqrt{2b^2 + 2c^2 - a^2}$

Аналогично, путем циклической перестановки сторон, находим длины двух других медиан:

$m_b = \frac{1}{2}\sqrt{2a^2 + 2c^2 - b^2}$

$m_c = \frac{1}{2}\sqrt{2a^2 + 2b^2 - c^2}$

Ответ: $m_a = \frac{1}{2}\sqrt{2b^2 + 2c^2 - a^2}$, $m_b = \frac{1}{2}\sqrt{2a^2 + 2c^2 - b^2}$, $m_c = \frac{1}{2}\sqrt{2a^2 + 2b^2 - c^2}$.

е) стороны треугольника и его площадь, учитывая, что его медианы равны $m_a, m_b, m_c$;

1. Нахождение сторон треугольника.

Используя формулы для длин медиан из предыдущего пункта, можно составить систему уравнений и решить ее относительно квадратов сторон $a^2, b^2, c^2$. Решение системы дает следующие формулы для сторон:

$a = \frac{2}{3}\sqrt{2m_b^2 + 2m_c^2 - m_a^2}$

$b = \frac{2}{3}\sqrt{2m_a^2 + 2m_c^2 - m_b^2}$

$c = \frac{2}{3}\sqrt{2m_a^2 + 2m_b^2 - m_c^2}$

2. Нахождение площади треугольника.

Площадь треугольника $S$ связана с площадью $S_m$ треугольника, построенного на его медианах, соотношением: $S = \frac{4}{3}S_m$.

Найдем площадь $S_m$ треугольника со сторонами $m_a, m_b, m_c$ по формуле Герона.

Полупериметр "медианного" треугольника $p_m$: $p_m = \frac{m_a+m_b+m_c}{2}$.

Площадь $S_m$: $S_m = \sqrt{p_m(p_m-m_a)(p_m-m_b)(p_m-m_c)}$.

Искомая площадь исходного треугольника $S$ равна: $S = \frac{4}{3}S_m$.

Ответ: Стороны: $a = \frac{2}{3}\sqrt{2m_b^2 + 2m_c^2 - m_a^2}$, $b = \frac{2}{3}\sqrt{2m_a^2 + 2m_c^2 - m_b^2}$, $c = \frac{2}{3}\sqrt{2m_a^2 + 2m_b^2 - m_c^2}$. Площадь: $S = \frac{4}{3}\sqrt{p_m(p_m-m_a)(p_m-m_b)(p_m-m_c)}$, где $p_m = \frac{m_a+m_b+m_c}{2}$.

ж) биссектрисы треугольника, учитывая, что его стороны равны a, b, c;

Длину биссектрисы треугольника можно вычислить по формуле. Пусть $l_a, l_b, l_c$ — длины биссектрис, проведенных из вершин к сторонам $a, b, c$ соответственно.

Формула для длины биссектрисы $l_a$, проведенной к стороне $a$, имеет вид:

$l_a = \frac{2}{b+c}\sqrt{bcp(p-a)}$, где $p = \frac{a+b+c}{2}$ — полупериметр.

По аналогии находим длины двух других биссектрис:

$l_b = \frac{2}{a+c}\sqrt{acp(p-b)}$

$l_c = \frac{2}{a+b}\sqrt{abp(p-c)}$

Ответ: $l_a = \frac{2}{b+c}\sqrt{bcp(p-a)}$, $l_b = \frac{2}{a+c}\sqrt{acp(p-b)}$, $l_c = \frac{2}{a+b}\sqrt{abp(p-c)}$, где $p = \frac{a+b+c}{2}$.

з) радиус описанной около треугольника окружности, учитывая, что его стороны равны a, b, c.

Радиус $R$ описанной окружности треугольника со сторонами $a, b, c$ и площадью $S$ находится по формуле: $R = \frac{abc}{4S}$.

Чтобы выразить радиус только через стороны, необходимо сначала выразить площадь $S$ через стороны. Для этого используется формула Герона.

1. Вычисляем полупериметр $p$: $p = \frac{a+b+c}{2}$.

2. Вычисляем площадь $S$ по формуле Герона: $S = \sqrt{p(p-a)(p-b)(p-c)}$.

3. Подставляем выражение для площади в формулу для радиуса описанной окружности:

$R = \frac{abc}{4\sqrt{p(p-a)(p-b)(p-c)}}$.

Ответ: $R = \frac{abc}{4\sqrt{p(p-a)(p-b)(p-c)}}$, где $p = \frac{a+b+c}{2}$.

Помогло решение? Оставьте отзыв в комментариях ниже.

Присоединяйтесь к Телеграм-группе @gdz_by_belarus

Присоединиться

Мы подготовили для вас ответ c подробным объяснением домашего задания по геометрии за 11 класс, для упражнения номер 404 расположенного на странице 145 к учебнику 2020 года издания для учащихся школ и гимназий.

Теперь на нашем сайте ГДЗ.ТОП вы всегда легко и бесплатно найдёте условие с правильным ответом на вопрос «Как решить ДЗ» и «Как сделать» задание по геометрии к упражнению №404 (с. 145), авторов: Латотин (Леонид Александрович), Чеботаревский (Борис Дмитриевич), Горбунова (Ирина Владимировна), Цыбулько (Оксана Евгеньевна), базовый и повышенный уровень обучения учебного пособия издательства Белорусская Энциклопедия имени Петруся Бровки.