Номер 28, страница 17 - гдз по геометрии 11 класс учебник Латотин, Чеботаревский

Геометрия, 11 класс Учебник, авторы: Латотин Леонид Александрович, Чеботаревский Борис Дмитриевич, Горбунова Ирина Владимировна, Цыбулько Оксана Евгеньевна, издательство Белорусская Энциклопедия имени Петруся Бровки, Минск, 2020, белого цвета

Авторы: Латотин Л. А., Чеботаревский Б. Д., Горбунова И. В., Цыбулько О. Е.

Тип: Учебник

Издательство: Белорусская Энциклопедия имени Петруся Бровки

Год издания: 2020 - 2026

Уровень обучения: базовый и повышенный

Цвет обложки: белый в клеточку

ISBN: 978-985-11-1251-3

Допущено Министерством образования Республики Беларусь

Популярные ГДЗ в 11 классе

Раздел 1. Призма и цилиндр. Параграф 1. Призма - номер 28, страница 17.

№28 (с. 17)
Условие. №28 (с. 17)
скриншот условия
Геометрия, 11 класс Учебник, авторы: Латотин Леонид Александрович, Чеботаревский Борис Дмитриевич, Горбунова Ирина Владимировна, Цыбулько Оксана Евгеньевна, издательство Белорусская Энциклопедия имени Петруся Бровки, Минск, 2020, белого цвета, страница 17, номер 28, Условие

28. Найдите полную поверхность и объем прямоугольного параллелепипеда, учитывая, что:

а) его диагональ равна 81 см, а измерения относятся как 2 : 7 : 26;

б) диагонали его граней равны 7 см, 8 см и 9 см;

в) его диагональ длиной 12 см составляет с одной боковой гранью угол в $30^{\circ}$, а с другой — угол в $45^{\circ}$;

г) сторона его основания длиной $a$ составляет с диагональю основания угол $\alpha$, а с диагональю боковой грани, в которой эта сторона лежит, — угол $\beta$;

д) диагональ прямоугольного параллелепипеда равна $l$ и составляет с одной боковой гранью угол в $30^{\circ}$, а с другой — угол в $45^{\circ}$.

Решение 1. №28 (с. 17)
Геометрия, 11 класс Учебник, авторы: Латотин Леонид Александрович, Чеботаревский Борис Дмитриевич, Горбунова Ирина Владимировна, Цыбулько Оксана Евгеньевна, издательство Белорусская Энциклопедия имени Петруся Бровки, Минск, 2020, белого цвета, страница 17, номер 28, Решение 1 Геометрия, 11 класс Учебник, авторы: Латотин Леонид Александрович, Чеботаревский Борис Дмитриевич, Горбунова Ирина Владимировна, Цыбулько Оксана Евгеньевна, издательство Белорусская Энциклопедия имени Петруся Бровки, Минск, 2020, белого цвета, страница 17, номер 28, Решение 1 (продолжение 2)
Решение 2. №28 (с. 17)
Геометрия, 11 класс Учебник, авторы: Латотин Леонид Александрович, Чеботаревский Борис Дмитриевич, Горбунова Ирина Владимировна, Цыбулько Оксана Евгеньевна, издательство Белорусская Энциклопедия имени Петруся Бровки, Минск, 2020, белого цвета, страница 17, номер 28, Решение 2 Геометрия, 11 класс Учебник, авторы: Латотин Леонид Александрович, Чеботаревский Борис Дмитриевич, Горбунова Ирина Владимировна, Цыбулько Оксана Евгеньевна, издательство Белорусская Энциклопедия имени Петруся Бровки, Минск, 2020, белого цвета, страница 17, номер 28, Решение 2 (продолжение 2)
Решение 3. №28 (с. 17)

а)

Пусть измерения прямоугольного параллелепипеда (длина, ширина, высота) равны $a, b, c$. По условию, их отношение $a : b : c = 2 : 7 : 26$. Введем коэффициент пропорциональности $k$, тогда измерения можно записать как $a = 2k$, $b = 7k$, $c = 26k$.

Квадрат диагонали $d$ прямоугольного параллелепипеда равен сумме квадратов его трех измерений: $d^2 = a^2 + b^2 + c^2$.

Подставим данные из условия: диагональ $d = 81$ см.

$81^2 = (2k)^2 + (7k)^2 + (26k)^2$

$6561 = 4k^2 + 49k^2 + 676k^2$

$6561 = (4 + 49 + 676)k^2$

$6561 = 729k^2$

$k^2 = \frac{6561}{729} = 9$

$k = \sqrt{9} = 3$ (так как измерения должны быть положительными).

Теперь найдем измерения параллелепипеда:

$a = 2k = 2 \cdot 3 = 6$ см.

$b = 7k = 7 \cdot 3 = 21$ см.

$c = 26k = 26 \cdot 3 = 78$ см.

Объем $V$ прямоугольного параллелепипеда вычисляется по формуле $V = abc$.

$V = 6 \cdot 21 \cdot 78 = 9828$ см3.

Площадь полной поверхности $S$ вычисляется по формуле $S = 2(ab + ac + bc)$.

$S = 2(6 \cdot 21 + 6 \cdot 78 + 21 \cdot 78) = 2(126 + 468 + 1638) = 2(2232) = 4464$ см2.

Ответ: объем $V = 9828$ см3, площадь полной поверхности $S = 4464$ см2.

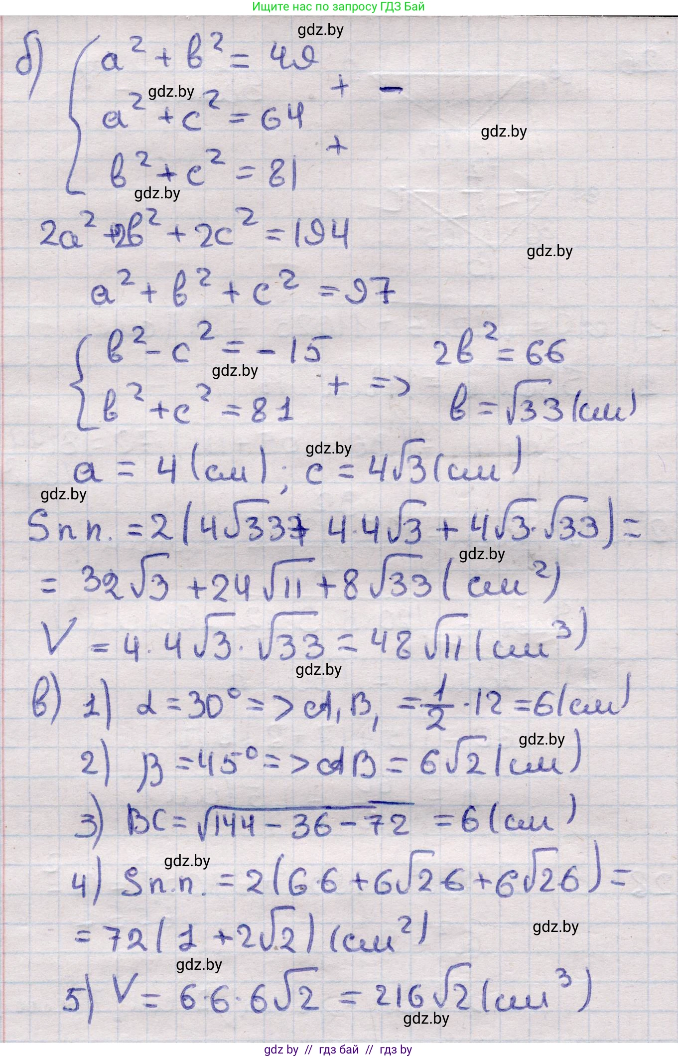
б)

Пусть измерения параллелепипеда равны $a, b, c$. Диагонали его граней — это диагонали прямоугольников со сторонами $(a,b)$, $(a,c)$ и $(b,c)$. Их длины, согласно теореме Пифагора, равны $d_{ab} = \sqrt{a^2+b^2}$, $d_{ac} = \sqrt{a^2+c^2}$, $d_{bc} = \sqrt{b^2+c^2}$.

По условию, диагонали граней равны 7 см, 8 см и 9 см. Получаем систему уравнений:

$a^2 + b^2 = 7^2 = 49$

$a^2 + c^2 = 8^2 = 64$

$b^2 + c^2 = 9^2 = 81$

Сложим все три уравнения: $(a^2 + b^2) + (a^2 + c^2) + (b^2 + c^2) = 49 + 64 + 81$.

$2(a^2 + b^2 + c^2) = 194$, откуда $a^2 + b^2 + c^2 = 97$.

Теперь, вычитая из последнего уравнения каждое из исходных, найдем квадраты измерений:

$c^2 = (a^2 + b^2 + c^2) - (a^2 + b^2) = 97 - 49 = 48$

$b^2 = (a^2 + b^2 + c^2) - (a^2 + c^2) = 97 - 64 = 33$

$a^2 = (a^2 + b^2 + c^2) - (b^2 + c^2) = 97 - 81 = 16$

Таким образом, измерения равны:

$a = \sqrt{16} = 4$ см.

$b = \sqrt{33}$ см.

$c = \sqrt{48} = \sqrt{16 \cdot 3} = 4\sqrt{3}$ см.

Объем $V = abc$:

$V = 4 \cdot \sqrt{33} \cdot 4\sqrt{3} = 16\sqrt{33 \cdot 3} = 16\sqrt{99} = 16\sqrt{9 \cdot 11} = 16 \cdot 3\sqrt{11} = 48\sqrt{11}$ см3.

Площадь полной поверхности $S = 2(ab + ac + bc)$:

$S = 2(4\sqrt{33} + 4 \cdot 4\sqrt{3} + \sqrt{33} \cdot 4\sqrt{3}) = 2(4\sqrt{33} + 16\sqrt{3} + 4\sqrt{99}) = 2(4\sqrt{33} + 16\sqrt{3} + 12\sqrt{11})$ см2.

Ответ: объем $V = 48\sqrt{11}$ см3, площадь полной поверхности $S = 2(4\sqrt{33} + 16\sqrt{3} + 12\sqrt{11})$ см2.

в)

Пусть измерения параллелепипеда равны $a, b, c$, а его диагональ $d=12$ см. Угол между диагональю параллелепипеда и плоскостью его грани — это угол между диагональю и ее проекцией на эту грань. Синус этого угла равен отношению длины ребра, перпендикулярного этой грани, к длине диагонали параллелепипеда.

Пусть диагональ составляет угол $30^\circ$ с гранью, перпендикулярной ребру $a$, и угол $45^\circ$ с гранью, перпендикулярной ребру $b$.

Тогда $a = d \sin(30^\circ)$ и $b = d \sin(45^\circ)$.

$a = 12 \cdot \frac{1}{2} = 6$ см.

$b = 12 \cdot \frac{\sqrt{2}}{2} = 6\sqrt{2}$ см.

Третье измерение $c$ найдем из формулы для квадрата диагонали $d^2 = a^2 + b^2 + c^2$.

$12^2 = 6^2 + (6\sqrt{2})^2 + c^2$

$144 = 36 + 72 + c^2$

$144 = 108 + c^2$

$c^2 = 144 - 108 = 36 \Rightarrow c = 6$ см.

Объем $V = abc$:

$V = 6 \cdot 6\sqrt{2} \cdot 6 = 216\sqrt{2}$ см3.

Площадь полной поверхности $S = 2(ab + ac + bc)$:

$S = 2(6 \cdot 6\sqrt{2} + 6 \cdot 6 + 6\sqrt{2} \cdot 6) = 2(36\sqrt{2} + 36 + 36\sqrt{2}) = 2(36 + 72\sqrt{2}) = 72(1 + 2\sqrt{2})$ см2.

Ответ: объем $V = 216\sqrt{2}$ см3, площадь полной поверхности $S = 72(1 + 2\sqrt{2})$ см2.

г)

Пусть измерения параллелепипеда равны $x, y, z$, где $x$ и $y$ — стороны основания, а $z$ — высота. По условию, одна из сторон основания имеет длину $a$. Пусть $x=a$.

Эта сторона ($x=a$) составляет с диагональю основания угол $\alpha$. Диагональ основания, сторона $x=a$ и сторона $y$ образуют прямоугольный треугольник. В этом треугольнике $\tan(\alpha) = \frac{y}{x} = \frac{y}{a}$, откуда $y = a \tan(\alpha)$.

Та же сторона $a$ составляет угол $\beta$ с диагональю боковой грани, в которой она лежит. Эта боковая грань является прямоугольником со сторонами $a$ и $z$. Диагональ этой грани, сторона $a$ и высота $z$ образуют прямоугольный треугольник. В этом треугольнике $\tan(\beta) = \frac{z}{a}$, откуда $z = a \tan(\beta)$.

Таким образом, измерения параллелепипеда равны $a$, $a \tan(\alpha)$ и $a \tan(\beta)$.

Объем $V = xyz$:

$V = a \cdot (a \tan(\alpha)) \cdot (a \tan(\beta)) = a^3 \tan(\alpha) \tan(\beta)$.

Площадь полной поверхности $S = 2(xy + xz + yz)$:

$S = 2(a \cdot a \tan(\alpha) + a \cdot a \tan(\beta) + a \tan(\alpha) \cdot a \tan(\beta)) = 2(a^2 \tan(\alpha) + a^2 \tan(\beta) + a^2 \tan(\alpha) \tan(\beta))$.

$S = 2a^2(\tan(\alpha) + \tan(\beta) + \tan(\alpha) \tan(\beta))$.

Ответ: объем $V = a^3 \tan(\alpha) \tan(\beta)$, площадь полной поверхности $S = 2a^2(\tan(\alpha) + \tan(\beta) + \tan(\alpha) \tan(\beta))$.

д)

Условия этой задачи аналогичны условиям задачи в), с той разницей, что длина диагонали равна $l$. Пусть измерения параллелепипеда равны $a, b, c$.

Диагональ $d = l$. Углы с боковыми гранями равны $30^\circ$ и $45^\circ$.

Аналогично решению задачи в), находим два измерения:

$a = d \sin(30^\circ) = l \cdot \frac{1}{2} = \frac{l}{2}$.

$b = d \sin(45^\circ) = l \cdot \frac{\sqrt{2}}{2}$.

Третье измерение $c$ находим из формулы $d^2 = a^2 + b^2 + c^2$:

$l^2 = \left(\frac{l}{2}\right)^2 + \left(\frac{l\sqrt{2}}{2}\right)^2 + c^2$

$l^2 = \frac{l^2}{4} + \frac{2l^2}{4} + c^2$

$l^2 = \frac{3l^2}{4} + c^2$

$c^2 = l^2 - \frac{3l^2}{4} = \frac{l^2}{4} \Rightarrow c = \frac{l}{2}$.

Объем $V = abc$:

$V = \frac{l}{2} \cdot \frac{l\sqrt{2}}{2} \cdot \frac{l}{2} = \frac{l^3\sqrt{2}}{8}$.

Площадь полной поверхности $S = 2(ab + ac + bc)$:

$S = 2\left(\frac{l}{2} \cdot \frac{l\sqrt{2}}{2} + \frac{l}{2} \cdot \frac{l}{2} + \frac{l\sqrt{2}}{2} \cdot \frac{l}{2}\right) = 2\left(\frac{l^2\sqrt{2}}{4} + \frac{l^2}{4} + \frac{l^2\sqrt{2}}{4}\right)$.

$S = 2\left(\frac{l^2 + 2l^2\sqrt{2}}{4}\right) = \frac{l^2(1 + 2\sqrt{2})}{2}$.

Ответ: объем $V = \frac{\sqrt{2}}{8}l^3$, площадь полной поверхности $S = \frac{1 + 2\sqrt{2}}{2}l^2$.

Помогло решение? Оставьте отзыв в комментариях ниже.

Присоединяйтесь к Телеграм-группе @gdz_by_belarus

Присоединиться

Мы подготовили для вас ответ c подробным объяснением домашего задания по геометрии за 11 класс, для упражнения номер 28 расположенного на странице 17 к учебнику 2020 года издания для учащихся школ и гимназий.

Теперь на нашем сайте ГДЗ.ТОП вы всегда легко и бесплатно найдёте условие с правильным ответом на вопрос «Как решить ДЗ» и «Как сделать» задание по геометрии к упражнению №28 (с. 17), авторов: Латотин (Леонид Александрович), Чеботаревский (Борис Дмитриевич), Горбунова (Ирина Владимировна), Цыбулько (Оксана Евгеньевна), базовый и повышенный уровень обучения учебного пособия издательства Белорусская Энциклопедия имени Петруся Бровки.