Номер 15, страница 255 - гдз по алгебре 11 класс учебник Арефьева, Пирютко

Алгебра, 11 класс Учебник, авторы: Арефьева Ирина Глебовна, Пирютко Ольга Николаевна, издательство Народная асвета, Минск, 2020, бирюзового цвета

Авторы: Арефьева И. Г., Пирютко О. Н.

Тип: Учебник

Издательство: Народная асвета

Год издания: 2020 - 2026

Цвет обложки: бирюзовый, зелёный с графиком

ISBN: 978-985-03-3165-6

Популярные ГДЗ в 11 классе

Тематические тесты. Тест 9. Логарифмическая функция. Свойства логарифмов - номер 15, страница 255.

№15 (с. 255)
Условие. №15 (с. 255)
скриншот условия
Алгебра, 11 класс Учебник, авторы: Арефьева Ирина Глебовна, Пирютко Ольга Николаевна, издательство Народная асвета, Минск, 2020, бирюзового цвета, страница 255, номер 15, Условие

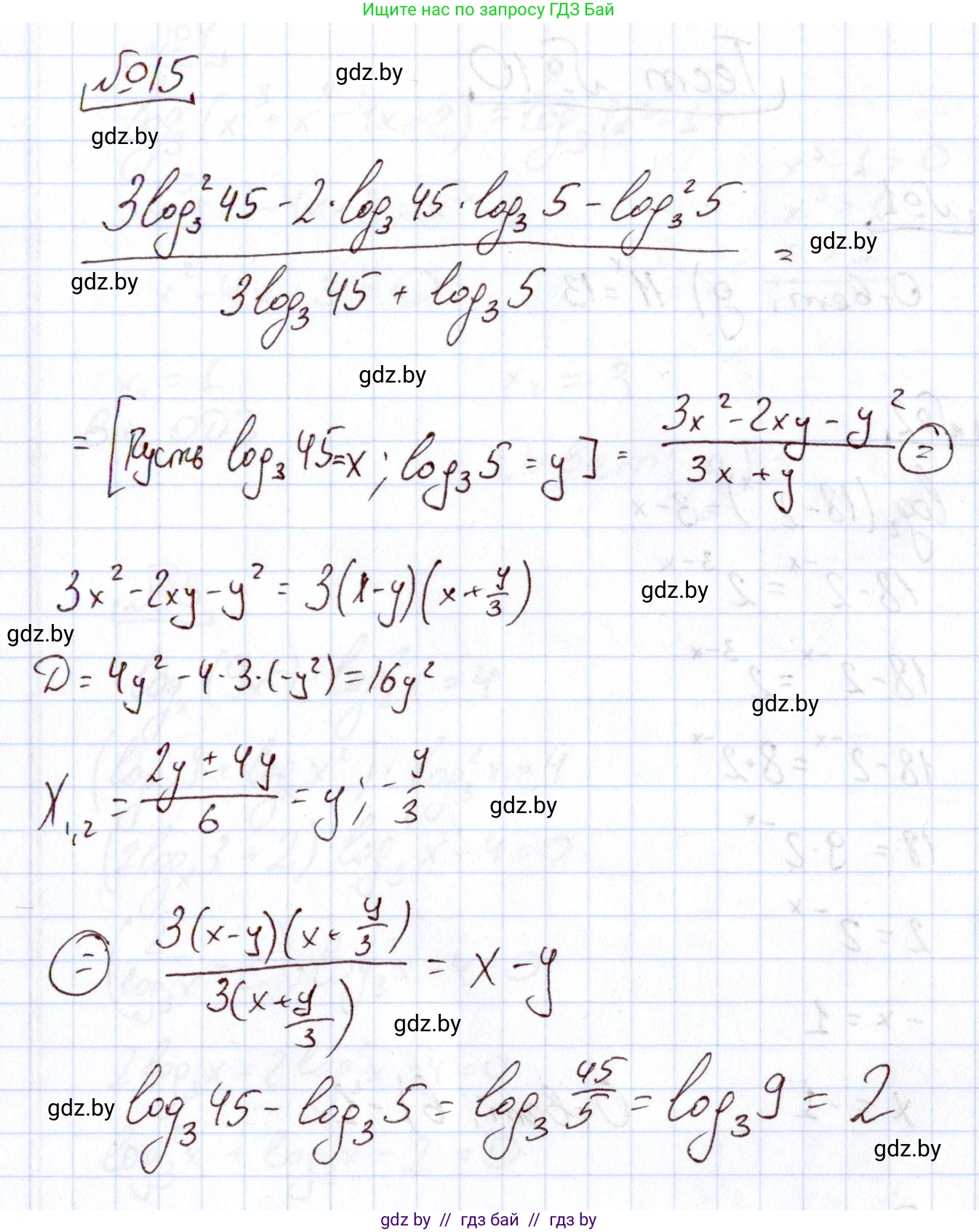
15. Найдите значение выражения $\frac{3\log_3^2 45 - 2\cdot \log_3 45 \cdot \log_3 5 - \log_3^2 5}{3\log_3 45 + \log_3 5}$.

Решение. №15 (с. 255)
Алгебра, 11 класс Учебник, авторы: Арефьева Ирина Глебовна, Пирютко Ольга Николаевна, издательство Народная асвета, Минск, 2020, бирюзового цвета, страница 255, номер 15, Решение
Решение 2. №15 (с. 255)

Для упрощения исходного выражения $ \frac{3\log_3^2 45 - 2\log_3 45 \cdot \log_3 5 - \log_3^2 5}{3\log_3 45 + \log_3 5} $ введем переменные. Пусть $a = \log_3 45$ и $b = \log_3 5$. Тогда выражение примет вид:

$ \frac{3a^2 - 2ab - b^2}{3a + b} $

Разложим числитель дроби $3a^2 - 2ab - b^2$ на множители. Мы можем рассматривать его как квадратный трехчлен относительно переменной $a$. Найдем корни уравнения $3a^2 - (2b)a - b^2 = 0$ с помощью дискриминанта.

Дискриминант $D = (-2b)^2 - 4 \cdot 3 \cdot (-b^2) = 4b^2 + 12b^2 = 16b^2 = (4b)^2$.

Теперь найдем корни уравнения для $a$:

$ a_1 = \frac{-(-2b) + \sqrt{(4b)^2}}{2 \cdot 3} = \frac{2b + 4b}{6} = \frac{6b}{6} = b $

$ a_2 = \frac{-(-2b) - \sqrt{(4b)^2}}{2 \cdot 3} = \frac{2b - 4b}{6} = \frac{-2b}{6} = -\frac{b}{3} $

Используя формулу разложения квадратного трехчлена $k(x-x_1)(x-x_2)$, получаем:

$ 3a^2 - 2ab - b^2 = 3(a - b)(a - (-\frac{b}{3})) = 3(a - b)(a + \frac{b}{3}) = (a-b)(3a+b) $

Подставим полученное разложение обратно в дробь:

$ \frac{(a-b)(3a+b)}{3a+b} $

Сократим дробь на общий множитель $(3a+b)$. (Это действие корректно, так как $3a+b = 3\log_3 45 + \log_3 5 = \log_3(45^3) + \log_3 5 = \log_3(45^3 \cdot 5)$, что очевидно не равно нулю).

После сокращения остается:

$ a - b $

Теперь вернемся к исходным логарифмам, выполнив обратную подстановку:

$ a - b = \log_3 45 - \log_3 5 $

Используем свойство разности логарифмов $ \log_c x - \log_c y = \log_c(\frac{x}{y}) $:

$ \log_3 45 - \log_3 5 = \log_3\left(\frac{45}{5}\right) = \log_3 9 $

Так как $9 = 3^2$, то значение выражения равно:

$ \log_3 9 = \log_3(3^2) = 2 $

Ответ: 2

Помогло решение? Оставьте отзыв в комментариях ниже.

Присоединяйтесь к Телеграм-группе @gdz_by_belarus

Присоединиться

Мы подготовили для вас ответ c подробным объяснением домашего задания по алгебре за 11 класс, для упражнения номер 15 расположенного на странице 255 к учебнику 2020 года издания для учащихся школ и гимназий.

Теперь на нашем сайте ГДЗ.ТОП вы всегда легко и бесплатно найдёте условие с правильным ответом на вопрос «Как решить ДЗ» и «Как сделать» задание по алгебре к упражнению №15 (с. 255), авторов: Арефьева (Ирина Глебовна), Пирютко (Ольга Николаевна), учебного пособия издательства Народная асвета.