Номер 15, страница 239 - гдз по алгебре 11 класс учебник Арефьева, Пирютко

Алгебра, 11 класс Учебник, авторы: Арефьева Ирина Глебовна, Пирютко Ольга Николаевна, издательство Народная асвета, Минск, 2020, бирюзового цвета

Авторы: Арефьева И. Г., Пирютко О. Н.

Тип: Учебник

Издательство: Народная асвета

Год издания: 2020 - 2026

Цвет обложки: бирюзовый, зелёный с графиком

ISBN: 978-985-03-3165-6

Популярные ГДЗ в 11 классе

Тематические тесты. Тест 3. Применение свойств тригонометрических функций и формул тригонометрии - номер 15, страница 239.

№15 (с. 239)
Условие. №15 (с. 239)
скриншот условия
Алгебра, 11 класс Учебник, авторы: Арефьева Ирина Глебовна, Пирютко Ольга Николаевна, издательство Народная асвета, Минск, 2020, бирюзового цвета, страница 239, номер 15, Условие

15. Синусы двух острых углов треугольника равны $\frac{7}{25}$ и $\frac{4}{5}$. Найдите значение выражения $125\cos\gamma$, где $\gamma$ — третий угол треугольника.

Решение. №15 (с. 239)
Алгебра, 11 класс Учебник, авторы: Арефьева Ирина Глебовна, Пирютко Ольга Николаевна, издательство Народная асвета, Минск, 2020, бирюзового цвета, страница 239, номер 15, Решение
Решение 2. №15 (с. 239)

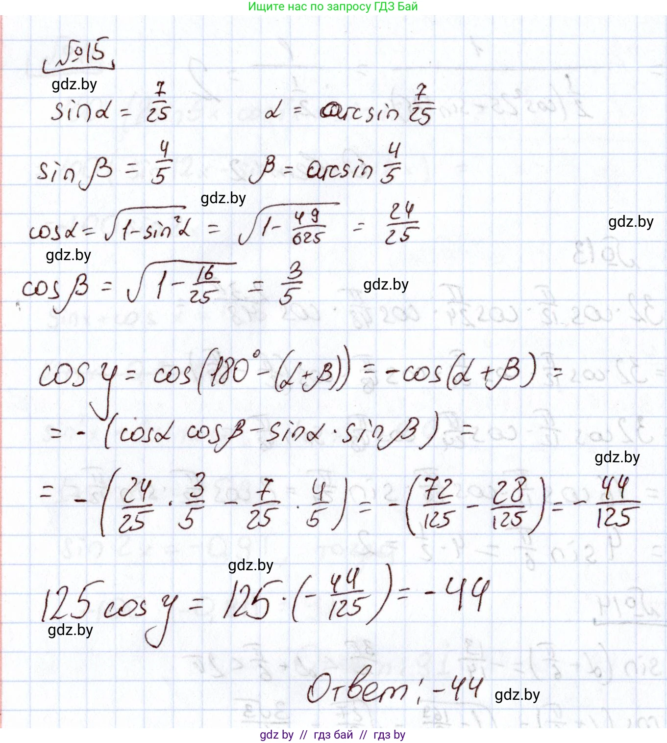
Пусть $\alpha$ и $\beta$ — два острых угла треугольника, а $\gamma$ — третий угол. По условию задачи нам даны синусы двух острых углов: $\sin\alpha = \frac{7}{25}$ и $\sin\beta = \frac{4}{5}$.

Для дальнейших вычислений нам понадобятся косинусы этих углов. Найдем их, используя основное тригонометрическое тождество $\sin^2x + \cos^2x = 1$, из которого следует, что $\cos x = \sqrt{1 - \sin^2x}$. Поскольку углы $\alpha$ и $\beta$ острые (принадлежат интервалу $(0^\circ, 90^\circ)$), их косинусы будут положительными.

Вычисляем $\cos\alpha$:
$\cos\alpha = \sqrt{1 - \sin^2\alpha} = \sqrt{1 - \left(\frac{7}{25}\right)^2} = \sqrt{1 - \frac{49}{625}} = \sqrt{\frac{625 - 49}{625}} = \sqrt{\frac{576}{625}} = \frac{24}{25}$.

Вычисляем $\cos\beta$:
$\cos\beta = \sqrt{1 - \sin^2\beta} = \sqrt{1 - \left(\frac{4}{5}\right)^2} = \sqrt{1 - \frac{16}{25}} = \sqrt{\frac{25 - 16}{25}} = \sqrt{\frac{9}{25}} = \frac{3}{5}$.

Сумма углов в любом треугольнике равна $180^\circ$, то есть $\alpha + \beta + \gamma = 180^\circ$. Выразим отсюда третий угол $\gamma$: $\gamma = 180^\circ - (\alpha + \beta)$.

Теперь мы можем найти косинус угла $\gamma$, используя формулу приведения $\cos(180^\circ - x) = -\cos x$: $\cos\gamma = \cos(180^\circ - (\alpha + \beta)) = -\cos(\alpha + \beta)$.

Для нахождения $\cos(\alpha + \beta)$ воспользуемся формулой косинуса суммы: $\cos(\alpha + \beta) = \cos\alpha\cos\beta - \sin\alpha\sin\beta$. Подставим найденные и данные значения: $\cos(\alpha + \beta) = \frac{24}{25} \cdot \frac{3}{5} - \frac{7}{25} \cdot \frac{4}{5} = \frac{72}{125} - \frac{28}{125} = \frac{72 - 28}{125} = \frac{44}{125}$.

Теперь найдем $\cos\gamma$: $\cos\gamma = -\cos(\alpha + \beta) = -\frac{44}{125}$.

Осталось найти значение требуемого выражения $125\cos\gamma$: $125\cos\gamma = 125 \cdot \left(-\frac{44}{125}\right) = -44$.

Ответ: -44.

Помогло решение? Оставьте отзыв в комментариях ниже.

Присоединяйтесь к Телеграм-группе @gdz_by_belarus

Присоединиться

Мы подготовили для вас ответ c подробным объяснением домашего задания по алгебре за 11 класс, для упражнения номер 15 расположенного на странице 239 к учебнику 2020 года издания для учащихся школ и гимназий.

Теперь на нашем сайте ГДЗ.ТОП вы всегда легко и бесплатно найдёте условие с правильным ответом на вопрос «Как решить ДЗ» и «Как сделать» задание по алгебре к упражнению №15 (с. 239), авторов: Арефьева (Ирина Глебовна), Пирютко (Ольга Николаевна), учебного пособия издательства Народная асвета.