Номер 8, страница 259 - гдз по алгебре 11 класс учебник Арефьева, Пирютко

Алгебра, 11 класс Учебник, авторы: Арефьева Ирина Глебовна, Пирютко Ольга Николаевна, издательство Народная асвета, Минск, 2020, бирюзового цвета

Авторы: Арефьева И. Г., Пирютко О. Н.

Тип: Учебник

Издательство: Народная асвета

Год издания: 2020 - 2026

Цвет обложки: бирюзовый, зелёный с графиком

ISBN: 978-985-03-3165-6

Популярные ГДЗ в 11 классе

Тематические тесты. Тест 11. Логарифмические неравенства - номер 8, страница 259.

№8 (с. 259)
Условие. №8 (с. 259)
скриншот условия
Алгебра, 11 класс Учебник, авторы: Арефьева Ирина Глебовна, Пирютко Ольга Николаевна, издательство Народная асвета, Минск, 2020, бирюзового цвета, страница 259, номер 8, Условие

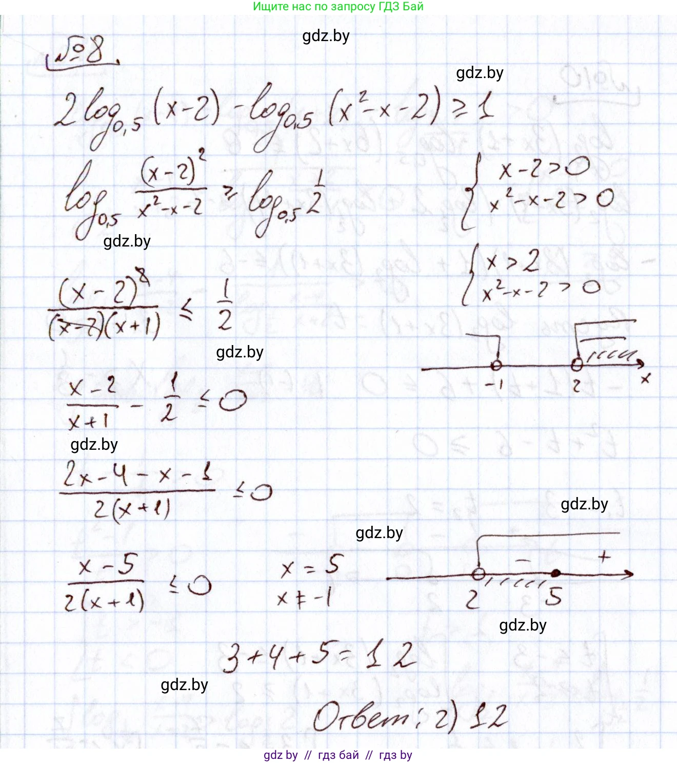
8. Найдите сумму целых решений неравенства

$2\log_{0,5} (x - 2) - \log_{0,5} (x^2 - x - 2)\ge 1.$

а) 10;

б) 15;

в) 7;

г) 12;

д) 14.

Решение. №8 (с. 259)
Алгебра, 11 класс Учебник, авторы: Арефьева Ирина Глебовна, Пирютко Ольга Николаевна, издательство Народная асвета, Минск, 2020, бирюзового цвета, страница 259, номер 8, Решение
Решение 2. №8 (с. 259)

Для решения данного логарифмического неравенства необходимо выполнить несколько шагов: найти область допустимых значений (ОДЗ), преобразовать неравенство с использованием свойств логарифмов, решить полученное рациональное неравенство и, наконец, найти сумму целых решений, удовлетворяющих ОДЗ.

1. Нахождение области допустимых значений (ОДЗ)

Аргументы логарифмических функций должны быть строго больше нуля. Поэтому запишем систему неравенств:

$$ \begin{cases} x - 2 > 0 \\ x^2 - x - 2 > 0 \end{cases}$$

Решим первое неравенство:

$x - 2 > 0 \Rightarrow x > 2$

Решим второе неравенство $x^2 - x - 2 > 0$. Сначала найдем корни соответствующего квадратного уравнения $x^2 - x - 2 = 0$. По теореме Виета или через дискриминант находим корни $x_1 = -1$ и $x_2 = 2$. Поскольку ветви параболы $y = x^2 - x - 2$ направлены вверх, неравенство $x^2 - x - 2 > 0$ выполняется при $x < -1$ или $x > 2$. То есть, $x \in (-\infty, -1) \cup (2, +\infty)$.

Теперь найдем пересечение решений обоих неравенств системы:

$$ (2, +\infty) \cap ((-\infty, -1) \cup (2, +\infty)) $$

Областью допустимых значений является интервал $x \in (2, +\infty)$.

2. Решение неравенства

Исходное неравенство:

$$2\log_{0,5}(x - 2) - \log_{0,5}(x^2 - x - 2) \ge 1$$

Используя свойство логарифма $n\log_a b = \log_a(b^n)$, преобразуем первый член:

$$\log_{0,5}((x - 2)^2) - \log_{0,5}(x^2 - x - 2) \ge 1$$

Используя свойство $\log_a b - \log_a c = \log_a(b/c)$, объединим логарифмы:

$$\log_{0,5}\left(\frac{(x - 2)^2}{x^2 - x - 2}\right) \ge 1$$

Представим правую часть неравенства в виде логарифма с основанием 0,5: $1 = \log_{0,5}(0,5)$.

$$\log_{0,5}\left(\frac{(x - 2)^2}{x^2 - x - 2}\right) \ge \log_{0,5}(0,5)$$

Поскольку основание логарифма $0,5$ находится в интервале $(0; 1)$, при переходе от логарифмического неравенства к неравенству для их аргументов знак неравенства меняется на противоположный:

$$\frac{(x - 2)^2}{x^2 - x - 2} \le 0,5$$

Перенесем 0,5 в левую часть и приведем к общему знаменателю:

$$\frac{(x-2)^2}{x^2-x-2} - \frac{1}{2} \le 0$$

$$\frac{2(x-2)^2 - (x^2-x-2)}{2(x^2-x-2)} \le 0$$

Раскроем скобки и упростим числитель:

$$\frac{2(x^2-4x+4) - x^2+x+2}{2(x^2-x-2)} \le 0$$

$$\frac{2x^2-8x+8 - x^2+x+2}{2(x^2-x-2)} \le 0$$

$$\frac{x^2 - 7x + 10}{2(x^2 - x - 2)} \le 0$$

Поскольку множитель 2 в знаменателе положителен, его можно опустить, не меняя знака неравенства:

$$\frac{x^2 - 7x + 10}{x^2 - x - 2} \le 0$$

Разложим числитель и знаменатель на множители. Корни числителя $x^2 - 7x + 10 = 0$ - это $x=2$ и $x=5$. Корни знаменателя $x^2 - x - 2 = 0$ - это $x=-1$ и $x=2$.

$$\frac{(x-2)(x-5)}{(x+1)(x-2)} \le 0$$

Учитывая, что $x \neq 2$ (из ОДЗ), мы можем сократить дробь на $(x-2)$:

$$\frac{x-5}{x+1} \le 0$$

Решим это неравенство методом интервалов. Нули числителя: $x=5$. Нули знаменателя: $x=-1$. Отмечаем эти точки на числовой оси, причём $x=5$ будет закрашенной (неравенство нестрогое), а $x=-1$ - выколотой (знаменатель не может быть равен нулю). Интервалы: $(-\infty, -1)$, $(-1, 5]$, $(5, +\infty)$.

Проверяя знаки на интервалах, находим, что неравенство выполняется для $x \in (-1, 5]$.

3. Поиск окончательного решения и суммы целых корней

Теперь необходимо пересечь полученное решение $x \in (-1, 5]$ с областью допустимых значений $x \in (2, +\infty)$:

$$(-1, 5] \cap (2, +\infty) = (2, 5]$$

Целые числа, входящие в интервал $(2, 5]$, это: 3, 4, 5.

Найдем их сумму:

$$3 + 4 + 5 = 12$$

Эта сумма соответствует варианту ответа г).

Ответ: 12

Помогло решение? Оставьте отзыв в комментариях ниже.

Присоединяйтесь к Телеграм-группе @gdz_by_belarus

Присоединиться

Мы подготовили для вас ответ c подробным объяснением домашего задания по алгебре за 11 класс, для упражнения номер 8 расположенного на странице 259 к учебнику 2020 года издания для учащихся школ и гимназий.

Теперь на нашем сайте ГДЗ.ТОП вы всегда легко и бесплатно найдёте условие с правильным ответом на вопрос «Как решить ДЗ» и «Как сделать» задание по алгебре к упражнению №8 (с. 259), авторов: Арефьева (Ирина Глебовна), Пирютко (Ольга Николаевна), учебного пособия издательства Народная асвета.