Номер 79, страница 175 - гдз по алгебре 11 класс учебник Арефьева, Пирютко

Алгебра, 11 класс Учебник, авторы: Арефьева Ирина Глебовна, Пирютко Ольга Николаевна, издательство Народная асвета, Минск, 2020, бирюзового цвета

Авторы: Арефьева И. Г., Пирютко О. Н.

Тип: Учебник

Издательство: Народная асвета

Год издания: 2020 - 2026

Цвет обложки: бирюзовый, зелёный с графиком

ISBN: 978-985-03-3165-6

Популярные ГДЗ в 11 классе

Упражнения для итогового повторения. Числа и вычисления - номер 79, страница 175.

№79 (с. 175)
Условие. №79 (с. 175)
скриншот условия
Алгебра, 11 класс Учебник, авторы: Арефьева Ирина Глебовна, Пирютко Ольга Николаевна, издательство Народная асвета, Минск, 2020, бирюзового цвета, страница 175, номер 79, Условие

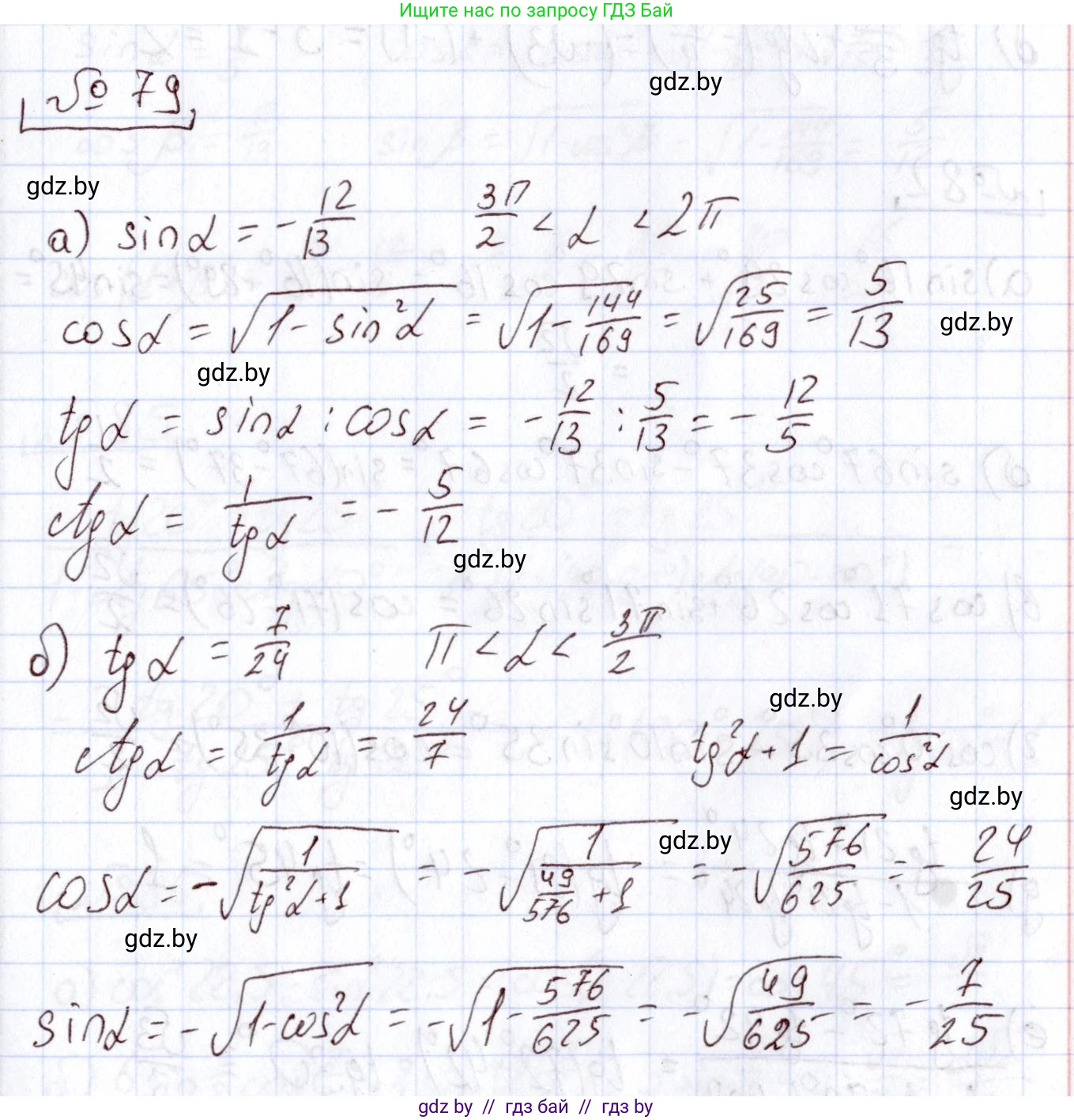
79. Зная значение одной из тригонометрических функций угла и четверть, в которой находится угол, найдите значение трех других тригонометрических функций этого угла:

а)

$ \sin\alpha = -\frac{12}{13}, \frac{3\pi}{2} < \alpha < 2\pi; $

б)

$ \operatorname{tg}\alpha = \frac{7}{24}, \pi < \alpha < \frac{3\pi}{2}. $

Решение. №79 (с. 175)
Алгебра, 11 класс Учебник, авторы: Арефьева Ирина Глебовна, Пирютко Ольга Николаевна, издательство Народная асвета, Минск, 2020, бирюзового цвета, страница 175, номер 79, Решение
Решение 2. №79 (с. 175)

а)

Дано: $sin\alpha = -\frac{12}{13}$ и $\frac{3\pi}{2} < \alpha < 2\pi$.

Угол $\alpha$ находится в IV (четвертой) четверти. В этой четверти косинус положителен ($cos\alpha > 0$), а тангенс и котангенс отрицательны ($tg\alpha < 0$, $ctg\alpha < 0$).

1. Найдем значение $cos\alpha$, используя основное тригонометрическое тождество: $sin^2\alpha + cos^2\alpha = 1$.

Выразим $cos^2\alpha$:

$cos^2\alpha = 1 - sin^2\alpha = 1 - \left(-\frac{12}{13}\right)^2 = 1 - \frac{144}{169} = \frac{169-144}{169} = \frac{25}{169}$.

Отсюда $cos\alpha = \pm\sqrt{\frac{25}{169}} = \pm\frac{5}{13}$.

Поскольку угол $\alpha$ принадлежит IV четверти, $cos\alpha$ имеет положительное значение. Значит, $cos\alpha = \frac{5}{13}$.

2. Теперь найдем $tg\alpha$ по определению: $tg\alpha = \frac{sin\alpha}{cos\alpha}$.

$tg\alpha = \frac{-12/13}{5/13} = -\frac{12}{13} \cdot \frac{13}{5} = -\frac{12}{5}$.

3. И, наконец, найдем $ctg\alpha$ как величину, обратную тангенсу: $ctg\alpha = \frac{1}{tg\alpha}$.

$ctg\alpha = \frac{1}{-12/5} = -\frac{5}{12}$.

Ответ: $cos\alpha = \frac{5}{13}$, $tg\alpha = -\frac{12}{5}$, $ctg\alpha = -\frac{5}{12}$.

б)

Дано: $tg\alpha = \frac{7}{24}$ и $\pi < \alpha < \frac{3\pi}{2}$.

Угол $\alpha$ находится в III (третьей) четверти. В этой четверти синус и косинус отрицательны ($sin\alpha < 0$, $cos\alpha < 0$), а котангенс положителен ($ctg\alpha > 0$).

1. Найдем $ctg\alpha$, который является обратной функцией к тангенсу: $ctg\alpha = \frac{1}{tg\alpha}$.

$ctg\alpha = \frac{1}{7/24} = \frac{24}{7}$.

2. Найдем $cos\alpha$ с помощью тождества $1 + tg^2\alpha = \frac{1}{cos^2\alpha}$.

$\frac{1}{cos^2\alpha} = 1 + \left(\frac{7}{24}\right)^2 = 1 + \frac{49}{576} = \frac{576+49}{576} = \frac{625}{576}$.

Отсюда $cos^2\alpha = \frac{576}{625}$, и $cos\alpha = \pm\sqrt{\frac{576}{625}} = \pm\frac{24}{25}$.

Так как угол $\alpha$ принадлежит III четверти, $cos\alpha$ имеет отрицательное значение. Значит, $cos\alpha = -\frac{24}{25}$.

3. Найдем $sin\alpha$ из определения тангенса $tg\alpha = \frac{sin\alpha}{cos\alpha}$, откуда $sin\alpha = tg\alpha \cdot cos\alpha$.

$sin\alpha = \frac{7}{24} \cdot \left(-\frac{24}{25}\right) = -\frac{7}{25}$.

Ответ: $sin\alpha = -\frac{7}{25}$, $cos\alpha = -\frac{24}{25}$, $ctg\alpha = \frac{24}{7}$.

Помогло решение? Оставьте отзыв в комментариях ниже.

Присоединяйтесь к Телеграм-группе @gdz_by_belarus

Присоединиться

Мы подготовили для вас ответ c подробным объяснением домашего задания по алгебре за 11 класс, для упражнения номер 79 расположенного на странице 175 к учебнику 2020 года издания для учащихся школ и гимназий.

Теперь на нашем сайте ГДЗ.ТОП вы всегда легко и бесплатно найдёте условие с правильным ответом на вопрос «Как решить ДЗ» и «Как сделать» задание по алгебре к упражнению №79 (с. 175), авторов: Арефьева (Ирина Глебовна), Пирютко (Ольга Николаевна), учебного пособия издательства Народная асвета.