Номер 65, страница 174 - гдз по алгебре 11 класс учебник Арефьева, Пирютко

Алгебра, 11 класс Учебник, авторы: Арефьева Ирина Глебовна, Пирютко Ольга Николаевна, издательство Народная асвета, Минск, 2020, бирюзового цвета

Авторы: Арефьева И. Г., Пирютко О. Н.

Тип: Учебник

Издательство: Народная асвета

Год издания: 2020 - 2026

Цвет обложки: бирюзовый, зелёный с графиком

ISBN: 978-985-03-3165-6

Популярные ГДЗ в 11 классе

Упражнения для итогового повторения. Числа и вычисления - номер 65, страница 174.

№65 (с. 174)
Условие. №65 (с. 174)
скриншот условия
Алгебра, 11 класс Учебник, авторы: Арефьева Ирина Глебовна, Пирютко Ольга Николаевна, издательство Народная асвета, Минск, 2020, бирюзового цвета, страница 174, номер 65, Условие

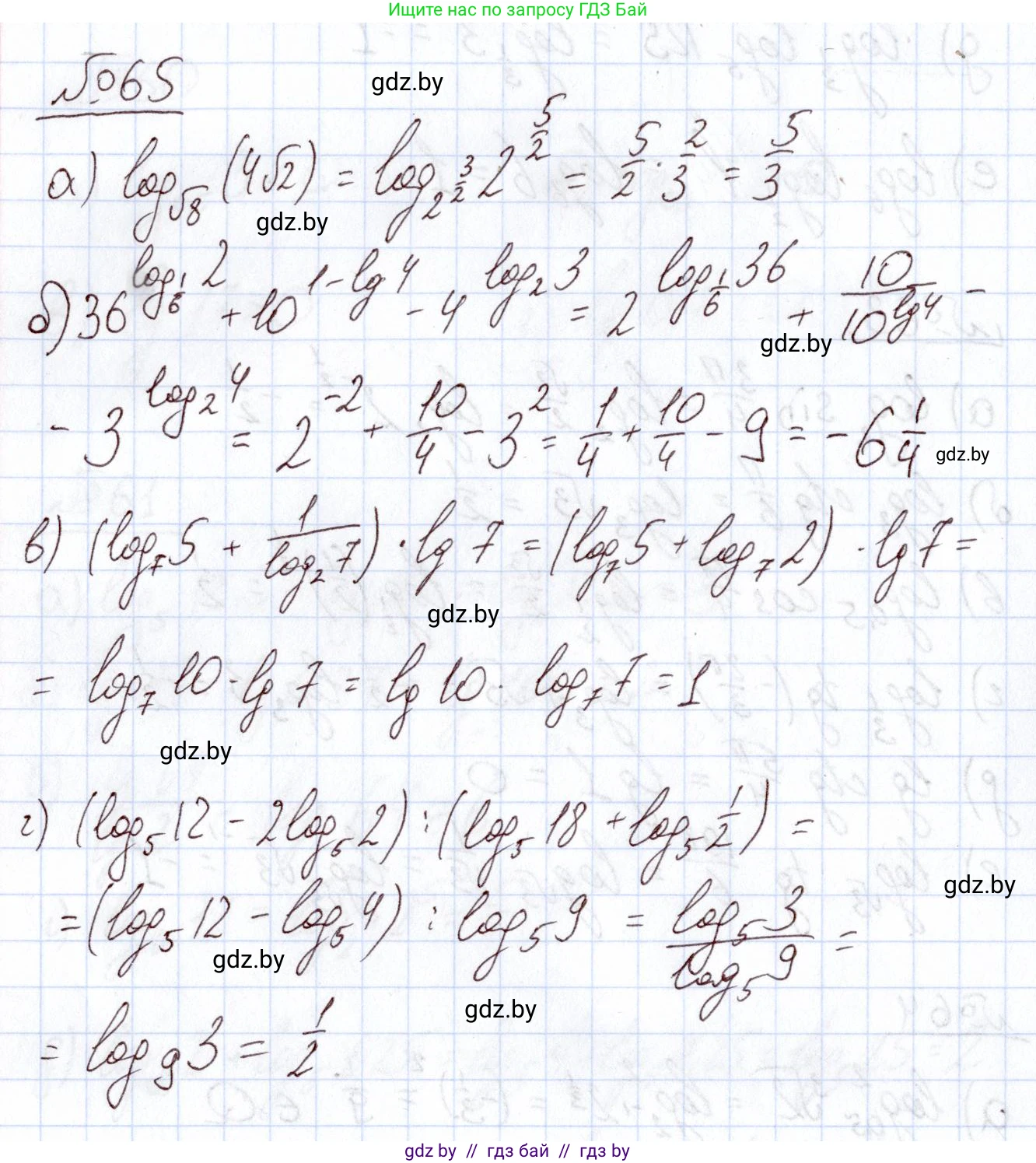
65. Вычислите:

a) $\log_{\sqrt{8}}(4\sqrt{2});$

б) $36^{\log_{\frac{1}{6}} 2} + 10^{1-\lg4} - 4^{\log_2 3};$

в) $(\log_7 5 + \frac{1}{\log_2 7}) \cdot \lg7;$

г) $(\log_5 12 - 2\log_5 2) : (\log_5 18 + \log_5 \frac{1}{2}).$

Решение. №65 (с. 174)
Алгебра, 11 класс Учебник, авторы: Арефьева Ирина Глебовна, Пирютко Ольга Николаевна, издательство Народная асвета, Минск, 2020, бирюзового цвета, страница 174, номер 65, Решение
Решение 2. №65 (с. 174)

а)Чтобы вычислить $ \log_{\sqrt{8}}(4\sqrt{2}) $, приведем основание и аргумент логарифма к степени с основанием 2.
Основание логарифма: $ \sqrt{8} = \sqrt{2^3} = (2^3)^{1/2} = 2^{3/2} $.
Аргумент логарифма: $ 4\sqrt{2} = 2^2 \cdot 2^{1/2} = 2^{2+1/2} = 2^{5/2} $.
Подставим эти значения в исходное выражение:$ \log_{\sqrt{8}}(4\sqrt{2}) = \log_{2^{3/2}}(2^{5/2}) $.
Используем свойство логарифма $ \log_{a^k}b^m = \frac{m}{k} \log_a b $:$ \log_{2^{3/2}}(2^{5/2}) = \frac{5/2}{3/2} \log_2 2 = \frac{5}{2} \cdot \frac{2}{3} \cdot 1 = \frac{5}{3} $.
Ответ: $ \frac{5}{3} $.

б)Рассмотрим выражение $ 36^{\log_{1/6} 2} + 10^{1-\lg 4} - 4^{\log_2 3} $ и вычислим значение каждого слагаемого по отдельности.
1. Первое слагаемое: $ 36^{\log_{1/6} 2} $. Используя свойства степеней и логарифмов, преобразуем его:
$ 36^{\log_{1/6} 2} = (6^2)^{\log_{6^{-1}} 2} = 6^{2 \cdot (-\log_6 2)} = 6^{-2\log_6 2} = 6^{\log_6 2^{-2}} = 6^{\log_6 (1/4)} $.
По основному логарифмическому тождеству $ a^{\log_a b} = b $, получаем: $ 6^{\log_6 (1/4)} = \frac{1}{4} $.
2. Второе слагаемое: $ 10^{1-\lg 4} $. Используя свойство степени $ a^{m-n} = \frac{a^m}{a^n} $ и учитывая, что $ \lg 4 = \log_{10} 4 $:
$ 10^{1-\lg 4} = \frac{10^1}{10^{\lg 4}} = \frac{10}{4} = \frac{5}{2} $.
3. Третье слагаемое: $ 4^{\log_2 3} $. Преобразуем основание степени: $ 4 = 2^2 $.
$ 4^{\log_2 3} = (2^2)^{\log_2 3} = 2^{2\log_2 3} = 2^{\log_2 3^2} = 2^{\log_2 9} = 9 $.
Теперь сложим полученные значения:$ \frac{1}{4} + \frac{5}{2} - 9 = \frac{1}{4} + \frac{10}{4} - \frac{36}{4} = \frac{1+10-36}{4} = \frac{-25}{4} $.
Ответ: $ -\frac{25}{4} $.

в)Упростим выражение $ (\log_7 5 + \frac{1}{\log_2 7}) \cdot \lg 7 $.
Сначала преобразуем выражение в скобках. Используем формулу $ \frac{1}{\log_b a} = \log_a b $:$ \frac{1}{\log_2 7} = \log_7 2 $.
Подставим это в скобки:$ \log_7 5 + \log_7 2 $.
Используем свойство суммы логарифмов $ \log_a b + \log_a c = \log_a (b \cdot c) $:$ \log_7 5 + \log_7 2 = \log_7 (5 \cdot 2) = \log_7 10 $.
Теперь исходное выражение выглядит так: $ \log_7 10 \cdot \lg 7 $.
Применим формулу перехода к новому основанию $ \log_a b = \frac{\log_c b}{\log_c a} $ для $ \log_7 10 $ с основанием $ c=10 $:$ \log_7 10 = \frac{\lg 10}{\lg 7} = \frac{1}{\lg 7} $.
Подставим в выражение и вычислим:$ \frac{1}{\lg 7} \cdot \lg 7 = 1 $.
Ответ: 1.

г)Рассмотрим выражение $ (\log_5 12 - 2\log_5 2) : (\log_5 18 + \log_5 \frac{1}{2}) $.
Вычислим отдельно делимое и делитель.
1. Делимое: $ \log_5 12 - 2\log_5 2 $. Используем свойство $ n\log_a b = \log_a b^n $:$ 2\log_5 2 = \log_5 2^2 = \log_5 4 $.
Теперь используем свойство разности логарифмов $ \log_a b - \log_a c = \log_a (b/c) $:$ \log_5 12 - \log_5 4 = \log_5 \frac{12}{4} = \log_5 3 $.
2. Делитель: $ \log_5 18 + \log_5 \frac{1}{2} $. Используем свойство суммы логарифмов $ \log_a b + \log_a c = \log_a(b \cdot c) $:$ \log_5 18 + \log_5 \frac{1}{2} = \log_5 (18 \cdot \frac{1}{2}) = \log_5 9 $.
Теперь выполним деление:$ \frac{\log_5 3}{\log_5 9} $.
Преобразуем знаменатель: $ \log_5 9 = \log_5 3^2 = 2\log_5 3 $. Подставим и сократим:$ \frac{\log_5 3}{2\log_5 3} = \frac{1}{2} $.
Ответ: $ \frac{1}{2} $.

Помогло решение? Оставьте отзыв в комментариях ниже.

Присоединяйтесь к Телеграм-группе @gdz_by_belarus

Присоединиться

Мы подготовили для вас ответ c подробным объяснением домашего задания по алгебре за 11 класс, для упражнения номер 65 расположенного на странице 174 к учебнику 2020 года издания для учащихся школ и гимназий.

Теперь на нашем сайте ГДЗ.ТОП вы всегда легко и бесплатно найдёте условие с правильным ответом на вопрос «Как решить ДЗ» и «Как сделать» задание по алгебре к упражнению №65 (с. 174), авторов: Арефьева (Ирина Глебовна), Пирютко (Ольга Николаевна), учебного пособия издательства Народная асвета.